Skip to ContentGo to accessibility pageKeyboard shortcuts menu
OpenStax Logo
Intermediate Algebra

5.4 Dividing Polynomials

Intermediate Algebra5.4 Dividing Polynomials
Search for key terms or text.

Learning Objectives

By the end of this section, you will be able to:
  • Dividing monomials
  • Dividing a polynomial by a monomial
  • Dividing polynomials using long division
  • Dividing polynomials using synthetic division
  • Dividing polynomial functions
  • Use the remainder and factor theorems

Be Prepared 5.4

Before you get started, take this readiness quiz.

  1. Add: 3d+xd.3d+xd.
    If you missed this problem, review Example 1.28.
  2. Simplify: 30xy35xy.30xy35xy.
    If you missed this problem, review Example 1.25.
  3. Combine like terms: 8a2+12a+1+3a25a+4.8a2+12a+1+3a25a+4.
    If you missed this problem, review Example 1.7.

Dividing Monomials

We are now familiar with all the properties of exponents and used them to multiply polynomials. Next, we’ll use these properties to divide monomials and polynomials.

Example 5.36

Find the quotient: 54a2b3÷(−6ab5).54a2b3÷(−6ab5).

Try It 5.71

Find the quotient: −72a7b3÷(8a12b4).−72a7b3÷(8a12b4).

Try It 5.72

Find the quotient: −63c8d3÷(7c12d2).−63c8d3÷(7c12d2).

Once you become familiar with the process and have practiced it step by step several times, you may be able to simplify a fraction in one step.

Example 5.37

Find the quotient: 14x7y1221x11y6.14x7y1221x11y6.

Try It 5.73

Find the quotient: 28x5y1449x9y12.28x5y1449x9y12.

Try It 5.74

Find the quotient: 30m5n1148m10n14.30m5n1148m10n14.

Divide a Polynomial by a Monomial

Now that we know how to divide a monomial by a monomial, the next procedure is to divide a polynomial of two or more terms by a monomial.

The method we’ll use to divide a polynomial by a monomial is based on the properties of fraction addition. So we’ll start with an example to review fraction addition. The sum y5+25y5+25 simplifies to y+25.y+25.

Now we will do this in reverse to split a single fraction into separate fractions. For example, y+25y+25 can be written y5+25.y5+25.

This is the “reverse” of fraction addition and it states that if a, b, and c are numbers where c0,c0, then a+bc=ac+bc.a+bc=ac+bc. We will use this to divide polynomials by monomials.

Division of a Polynomial by a Monomial

To divide a polynomial by a monomial, divide each term of the polynomial by the monomial.

Example 5.38

Find the quotient: (18x3y36xy2)÷(−3xy).(18x3y36xy2)÷(−3xy).

Try It 5.75

Find the quotient: (32a2b16ab2)÷(−8ab).(32a2b16ab2)÷(−8ab).

Try It 5.76

Find the quotient: (−48a8b436a6b5)÷(−6a3b3).(−48a8b436a6b5)÷(−6a3b3).

Divide Polynomials Using Long Division

Divide a polynomial by a binomial, we follow a procedure very similar to long division of numbers. So let’s look carefully the steps we take when we divide a 3-digit number, 875, by a 2-digit number, 25.

This figure shows the long division of 875 divided by 25. 875 is labeled dividend and 25 is labeled divisor. The result of 35 is labeled quotient. The 3 in 35 is determined from the number of times we can divide 25 into 87. Multiplying 25 and 3 results in 75. 75 is subtracted from 87 to get 12. The 5 from 875 is dropped down to make 12 into 125. The 5 in 35 is determined from the number of times was can divide 25 into 125. Since 25 goes into 125 evenly there is no remainder. The result of subtracting 125 from 125 is 0 which is labeled remainder.

We check division by multiplying the quotient by the divisor.

If we did the division correctly, the product should equal the dividend.

35·2587535·25875

Now we will divide a trinomial by a binomial. As you read through the example, notice how similar the steps are to the numerical example above.

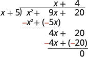
Example 5.39

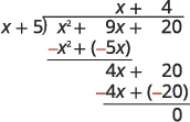
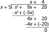
Find the quotient: (x2+9x+20)÷(x+5).(x2+9x+20)÷(x+5).

Try It 5.77

Find the quotient: (y2+10y+21)÷(y+3).(y2+10y+21)÷(y+3).

Try It 5.78

Find the quotient: (m2+9m+20)÷(m+4).(m2+9m+20)÷(m+4).

When we divided 875 by 25, we had no remainder. But sometimes division of numbers does leave a remainder. The same is true when we divide polynomials. In the next example, we’ll have a division that leaves a remainder. We write the remainder as a fraction with the divisor as the denominator.

Look back at the dividends in previous examples. The terms were written in descending order of degrees, and there were no missing degrees. The dividend in this example will be x4x2+5x6.x4x2+5x6. It is missing an x3x3 term. We will add in 0x30x3 as a placeholder.

Example 5.40

Find the quotient: (x4x2+5x6)÷(x+2).(x4x2+5x6)÷(x+2).

Try It 5.79

Find the quotient: (x47x2+7x+6)÷(x+3).(x47x2+7x+6)÷(x+3).

Try It 5.80

Find the quotient: (x411x27x6)÷(x+3).(x411x27x6)÷(x+3).

In the next example, we will divide by 2a+3.2a+3. As we divide, we will have to consider the constants as well as the variables.

Example 5.41

Find the quotient: (8a3+27)÷(2a+3).(8a3+27)÷(2a+3).

Try It 5.81

Find the quotient: (x364)÷(x4).(x364)÷(x4).

Try It 5.82

Find the quotient: (125x38)÷(5x2).(125x38)÷(5x2).

Divide Polynomials using Synthetic Division

As we have mentioned before, mathematicians like to find patterns to make their work easier. Since long division can be tedious, let’s look back at the long division we did in Example 5.39 and look for some patterns. We will use this as a basis for what is called synthetic division. The same problem in the synthetic division format is shown next.

The figure shows the long division of 1 x squared plus 9 x plus 20 divided by x plus 5 right next to the same problem done with synthetic division. In the long division problem, the coefficients of the dividend are 1 and 9 and 20 and the zero of the divisor is negative 5. In the synthetic division problem, we just write the numbers negative 5 1 9 20 with a line separating the negative 5. In the long division problem, the subtracted terms are 5 x and 20. In the synthetic division problem the second line is the numbers negative 5 and negative 20. The remainder of the problem is 0 and the quotient is x plus 4. The synthetic division puts these coefficients as the last line 1 4 0.

Synthetic division basically just removes unnecessary repeated variables and numbers. Here all the xx and x2x2 are removed. as well as the x2x2 and −4x−4x as they are opposite the term above.

The first row of the synthetic division is the coefficients of the dividend. The −5−5 is the opposite of the 5 in the divisor.

The second row of the synthetic division are the numbers shown in red in the division problem.

The third row of the synthetic division are the numbers shown in blue in the division problem.

Notice the quotient and remainder are shown in the third row.

Synthetic division only works when the divisor is of the formxc.Synthetic division only works when the divisor is of the formxc.

The following example will explain the process.

Example 5.42

Use synthetic division to find the quotient and remainder when 2x3+3x2+x+82x3+3x2+x+8 is divided by x+2.x+2.

Try It 5.83

Use synthetic division to find the quotient and remainder when 3x3+10x2+6x23x3+10x2+6x2 is divided by x+2.x+2.

Try It 5.84

Use synthetic division to find the quotient and remainder when 4x3+5x25x+34x3+5x25x+3 is divided by x+2.x+2.

In the next example, we will do all the steps together.

Example 5.43

Use synthetic division to find the quotient and remainder when x416x2+3x+12x416x2+3x+12 is divided by x+4.x+4.

Try It 5.85

Use synthetic division to find the quotient and remainder when x416x2+5x+20x416x2+5x+20 is divided by x+4.x+4.

Try It 5.86

Use synthetic division to find the quotient and remainder when x49x2+2x+6x49x2+2x+6 is divided by x+3.x+3.

Divide Polynomial Functions

Just as polynomials can be divided, polynomial functions can also be divided.

Division of Polynomial Functions

For functions f(x)f(x) and g(x),g(x), where g(x)0,g(x)0,

(fg)(x)=f(x)g(x)(fg)(x)=f(x)g(x)

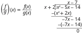
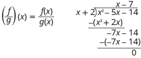
Example 5.44

For functions f(x)=x25x14f(x)=x25x14 and g(x)=x+2,g(x)=x+2, find: (fg)(x)(fg)(x) (fg)(−4).(fg)(−4).

Try It 5.87

For functions f(x)=x25x24f(x)=x25x24 and g(x)=x+3,g(x)=x+3, find (fg)(x)(fg)(x) (fg)(−3).(fg)(−3).

Try It 5.88

For functions f(x)=x25x36f(x)=x25x36 and g(x)=x+4,g(x)=x+4, find (fg)(x)(fg)(x) (fg)(−5).(fg)(−5).

Use the Remainder and Factor Theorem

Let’s look at the division problems we have just worked that ended up with a remainder. They are summarized in the chart below. If we take the dividend from each division problem and use it to define a function, we get the functions shown in the chart. When the divisor is written as xc,xc, the value of the function at c,f(c),c,f(c), is the same as the remainder from the division problem.

Dividend Divisor xcxc Remainder Function f(c)f(c)
x4x2+5x6x4x2+5x6 x(−2)x(−2) −4−4 f(x)=x4x2+5x6f(x)=x4x2+5x6 −4−4
3x32x210x+83x32x210x+8 x2x2 4 f(x)=3x32x210x+8f(x)=3x32x210x+8 4
x416x2+3x+15x416x2+3x+15 x(−4)x(−4) 3 f(x)=x416x2+3x+15f(x)=x416x2+3x+15 3
Table 5.1

To see this more generally, we realize we can check a division problem by multiplying the quotient times the divisor and add the remainder. In function notation we could say, to get the dividend f(x),f(x), we multiply the quotient, q(x)q(x) times the divisor, xc,xc, and add the remainder, r.

.
If we evaluate this at c,c, we get: .
.
.

This leads us to the Remainder Theorem.

Remainder Theorem

If the polynomial function f(x)f(x) is divided by xc,xc, then the remainder is f(c).f(c).

Example 5.45

Use the Remainder Theorem to find the remainder when f(x)=x3+3x+19f(x)=x3+3x+19 is divided by x+2.x+2.

Try It 5.89

Use the Remainder Theorem to find the remainder when f(x)=x3+4x+15f(x)=x3+4x+15 is divided by x+2.x+2.

Try It 5.90

Use the Remainder Theorem to find the remainder when f(x)=x37x+12f(x)=x37x+12 is divided by x+3.x+3.

When we divided 8a3+278a3+27 by 2a+32a+3 in Example 5.41 the result was 4a26a+9.4a26a+9. To check our work, we multiply 4a26a+94a26a+9 by 2a+32a+3 to get 8a3+278a3+27.

(4a26a+9)(2a+3)=8a3+27(4a26a+9)(2a+3)=8a3+27

Written this way, we can see that 4a26a+94a26a+9 and 2a+32a+3 are factors of 8a3+27.8a3+27. When we did the division, the remainder was zero.

Whenever a divisor, xc,xc, divides a polynomial function, f(x),f(x), and resulting in a remainder of zero, we say xcxc is a factor of f(x).f(x).

The reverse is also true. If xcxc is a factor of f(x)f(x) then xcxc will divide the polynomial function resulting in a remainder of zero.

We will state this in the Factor Theorem.

Factor Theorem

For any polynomial function f(x),f(x),

  • if xcxc is a factor of f(x),f(x), then f(c)=0f(c)=0
  • if f(c)=0,f(c)=0, then xcxc is a factor of f(x)f(x)

Example 5.46

Use the Remainder Theorem to determine if x4x4 is a factor of f(x)=x364.f(x)=x364.

Try It 5.91

Use the Factor Theorem to determine if x5x5 is a factor of f(x)=x3125.f(x)=x3125.

Try It 5.92

Use the Factor Theorem to determine if x6x6 is a factor of f(x)=x3216.f(x)=x3216.

Media

Access these online resources for additional instruction and practice with dividing polynomials.

Section 5.4 Exercises

Practice Makes Perfect

Divide Monomials

In the following exercises, divide the monomials.

288.

15 r 4 s 9 ÷ ( 15 r 4 s 9 ) 15 r 4 s 9 ÷ ( 15 r 4 s 9 )

289.

20 m 8 n 4 ÷ ( 30 m 5 n 9 ) 20 m 8 n 4 ÷ ( 30 m 5 n 9 )

290.

18 a 4 b 8 −27 a 9 b 5 18 a 4 b 8 −27 a 9 b 5

291.

45 x 5 y 9 −60 x 8 y 6 45 x 5 y 9 −60 x 8 y 6

292.

( 10 m 5 n 4 ) ( 5 m 3 n 6 ) 25 m 7 n 5 ( 10 m 5 n 4 ) ( 5 m 3 n 6 ) 25 m 7 n 5

293.

( −18 p 4 q 7 ) ( −6 p 3 q 8 ) −36 p 12 q 10 ( −18 p 4 q 7 ) ( −6 p 3 q 8 ) −36 p 12 q 10

294.

( 6 a 4 b 3 ) ( 4 a b 5 ) ( 12 a 2 b ) ( a 3 b ) ( 6 a 4 b 3 ) ( 4 a b 5 ) ( 12 a 2 b ) ( a 3 b )

295.

( 4 u 2 v 5 ) ( 15 u 3 v ) ( 12 u 3 v ) ( u 4 v ) ( 4 u 2 v 5 ) ( 15 u 3 v ) ( 12 u 3 v ) ( u 4 v )

Divide a Polynomial by a Monomial

In the following exercises, divide each polynomial by the monomial.

296.

( 9 n 4 + 6 n 3 ) ÷ 3 n ( 9 n 4 + 6 n 3 ) ÷ 3 n

297.

( 8 x 3 + 6 x 2 ) ÷ 2 x ( 8 x 3 + 6 x 2 ) ÷ 2 x

298.

( 63 m 4 42 m 3 ) ÷ ( −7 m 2 ) ( 63 m 4 42 m 3 ) ÷ ( −7 m 2 )

299.

( 48 y 4 24 y 3 ) ÷ ( −8 y 2 ) ( 48 y 4 24 y 3 ) ÷ ( −8 y 2 )

300.

66 x 3 y 2 110 x 2 y 3 44 x 4 y 3 11 x 2 y 2 66 x 3 y 2 110 x 2 y 3 44 x 4 y 3 11 x 2 y 2

301.

72 r 5 s 2 + 132 r 4 s 3 96 r 3 s 5 12 r 2 s 2 72 r 5 s 2 + 132 r 4 s 3 96 r 3 s 5 12 r 2 s 2

302.

10 x 2 + 5 x 4 −5 x 10 x 2 + 5 x 4 −5 x

303.

20 y 2 + 12 y 1 −4 y 20 y 2 + 12 y 1 −4 y

Divide Polynomials using Long Division

In the following exercises, divide each polynomial by the binomial.

304.

( y 2 + 7 y + 12 ) ÷ ( y + 3 ) ( y 2 + 7 y + 12 ) ÷ ( y + 3 )

305.

( a 2 2 a 35 ) ÷ ( a + 5 ) ( a 2 2 a 35 ) ÷ ( a + 5 )

306.

( 6 m 2 19 m 20 ) ÷ ( m 4 ) ( 6 m 2 19 m 20 ) ÷ ( m 4 )

307.

( 4 x 2 17 x 15 ) ÷ ( x 5 ) ( 4 x 2 17 x 15 ) ÷ ( x 5 )

308.

( q 2 + 2 q + 20 ) ÷ ( q + 6 ) ( q 2 + 2 q + 20 ) ÷ ( q + 6 )

309.

( p 2 + 11 p + 16 ) ÷ ( p + 8 ) ( p 2 + 11 p + 16 ) ÷ ( p + 8 )

310.

( 3 b 3 + b 2 + 4 ) ÷ ( b + 1 ) ( 3 b 3 + b 2 + 4 ) ÷ ( b + 1 )

311.

( 2 n 3 10 n + 28 ) ÷ ( n + 3 ) ( 2 n 3 10 n + 28 ) ÷ ( n + 3 )

312.

( z 3 + 1 ) ÷ ( z + 1 ) ( z 3 + 1 ) ÷ ( z + 1 )

313.

( m 3 + 1000 ) ÷ ( m + 10 ) ( m 3 + 1000 ) ÷ ( m + 10 )

314.

( 64 x 3 27 ) ÷ ( 4 x 3 ) ( 64 x 3 27 ) ÷ ( 4 x 3 )

315.

( 125 y 3 64 ) ÷ ( 5 y 4 ) ( 125 y 3 64 ) ÷ ( 5 y 4 )

Divide Polynomials using Synthetic Division

In the following exercises, use synthetic Division to find the quotient and remainder.

316.

x36x2+5x+14x36x2+5x+14 is divided by x+1x+1

317.

x33x24x+12x33x24x+12 is divided by x+2x+2

318.

2x311x2+11x+122x311x2+11x+12 is divided by x3x3

319.

2x311x2+16x122x311x2+16x12 is divided by x4x4

320.

x4-5x2+2+13x+3x4-5x2+2+13x+3 is divided by x+3x+3

321.

x4+x2+6x10x4+x2+6x10 is divided by x+2x+2

322.

2x49x3+5x23x62x49x3+5x23x6 is divided by x4x4

323.

3x411x3+2x2+10x+63x411x3+2x2+10x+6 is divided by x3x3

Divide Polynomial Functions

In the following exercises, divide.

324.

For functions f(x)=x213x+36f(x)=x213x+36 and g(x)=x4,g(x)=x4, find (fg)(x)(fg)(x) (fg)(−1)(fg)(−1)

325.

For functions f(x)=x215x+54f(x)=x215x+54 and g(x)=x9,g(x)=x9, find (fg)(x)(fg)(x) (fg)(−5)(fg)(−5)

326.

For functions f(x)=x3+x27x+2f(x)=x3+x27x+2 and g(x)=x2,g(x)=x2, find (fg)(x)(fg)(x) (fg)(2)(fg)(2)

327.

For functions f(x)=x3+2x219x+12f(x)=x3+2x219x+12 and g(x)=x3,g(x)=x3, find (fg)(x)(fg)(x) (fg)(0)(fg)(0)

328.

For functions f(x)=x25x+2f(x)=x25x+2 and g(x)=x23x1,g(x)=x23x1, find (f·g)(x)(f·g)(x) (f·g)(−1)(f·g)(−1)

329.

For functions f(x)=x2+4x3f(x)=x2+4x3 and g(x)=x2+2x+4,g(x)=x2+2x+4, find (f·g)(x)(f·g)(x) (f·g)(1)(f·g)(1)

Use the Remainder and Factor Theorem

In the following exercises, use the Remainder Theorem to find the remainder.

330.

f(x)=x38x+7f(x)=x38x+7 is divided by x+3x+3

331.

f(x)=x34x9f(x)=x34x9 is divided by x+2x+2

332.

f(x)=2x36x24f(x)=2x36x24 divided by x3x3

333.

f(x)=7x25x8f(x)=7x25x8 divided by x1x1

In the following exercises, use the Factor Theorem to determine if xcxc is a factor of the polynomial function.

334.

Determine whether x+3x+3 a factor of x3+8x2+21x+18x3+8x2+21x+18

335.

Determine whether x+4x+4 a factor of x3+x214x+8x3+x214x+8

336.

Determine whether x2x2 a factor of x37x2+7x6x37x2+7x6

337.

Determine whether x3x3 a factor of x37x2+11x+3x37x2+11x+3

Writing Exercises

338.

James divides 48y+648y+6 by 6 this way: 48y+66=48y.48y+66=48y. What is wrong with his reasoning?

339.

Divide 10x2+x122x10x2+x122x and explain with words how you get each term of the quotient.

340.

Explain when you can use synthetic division.

341.

In your own words, write the steps for synthetic division for x2+5x+6x2+5x+6 divided by x2.x2.

Self Check

After completing the exercises, use this checklist to evaluate your mastery of the objectives of this section

The figure shows a table with seven rows and four columns. The first row is a header row and it labels each column. The first column header is “I can…”, the second is "confidently", the third is “with some help”, “no minus I don’t get it!”. Under the first column are the phrases “divide monomials”, “divide a polynomial by using a monomial”, “divide polynomials using long division”, “divide polynomials using synthetic division”, “divide polynomial functions”, and “use the Remainder and Factor Theorem”. Under the second, third, fourth columns are blank spaces where the learner can check what level of mastery they have achieved.

On a scale of 1-10, how would you rate your mastery of this section in light of your responses on the checklist? How can you improve this?

Citation/Attribution

This book may not be used in the training of large language models or otherwise be ingested into large language models or generative AI offerings without OpenStax's permission.

Want to cite, share, or modify this book? This book uses the Creative Commons Attribution License and you must attribute OpenStax.

Attribution information
  • If you are redistributing all or part of this book in a print format, then you must include on every physical page the following attribution:

    Access for free at https://openstax.org/books/intermediate-algebra/pages/1-introduction

  • If you are redistributing all or part of this book in a digital format, then you must include on every digital page view the following attribution:

    Access for free at https://openstax.org/books/intermediate-algebra/pages/1-introduction

Citation information

© Feb 9, 2022 OpenStax. Textbook content produced by OpenStax is licensed under a Creative Commons Attribution License . The OpenStax name, OpenStax logo, OpenStax book covers, OpenStax CNX name, and OpenStax CNX logo are not subject to the Creative Commons license and may not be reproduced without the prior and express written consent of Rice University.