Skip to ContentGo to accessibility pageKeyboard shortcuts menu
OpenStax Logo
Intermediate Algebra 2e

9.3 Solve Quadratic Equations Using the Quadratic Formula

Intermediate Algebra 2e9.3 Solve Quadratic Equations Using the Quadratic Formula
Search for key terms or text.

Learning Objectives

By the end of this section, you will be able to:

  • Solve quadratic equations using the Quadratic Formula
  • Use the discriminant to predict the number and type of solutions of a quadratic equation
  • Identify the most appropriate method to use to solve a quadratic equation

Be Prepared 9.7

Before you get started, take this readiness quiz.

Evaluate b24abb24ab when a=3a=3 and b=−2.b=−2.
If you missed this problem, review Example 1.21.

Be Prepared 9.8

Simplify: 108.108.
If you missed this problem, review Example 8.13.

Be Prepared 9.9

Simplify: 50.50.
If you missed this problem, review Example 8.76.

Solve Quadratic Equations Using the Quadratic Formula

When we solved quadratic equations in the last section by completing the square, we took the same steps every time. By the end of the exercise set, you may have been wondering ‘isn’t there an easier way to do this?’ The answer is ‘yes’. Mathematicians look for patterns when they do things over and over in order to make their work easier. In this section we will derive and use a formula to find the solution of a quadratic equation.

We have already seen how to solve a formula for a specific variable ‘in general’, so that we would do the algebraic steps only once, and then use the new formula to find the value of the specific variable. Now we will go through the steps of completing the square using the general form of a quadratic equation to solve a quadratic equation for x.

We start with the standard form of a quadratic equation and solve it for x by completing the square.

.
Isolate the variable terms on one side. .
Make the coefficient of x2x2 equal to 1, by
dividing by a.
.
Simplify. .
To complete the square, find (12·ba)2(12·ba)2 and add it to both sides of the equation.
(12ba)2=b24a2(12ba)2=b24a2 .
The left side is a perfect square, factor it. .
Find the common denominator of the right
side and write equivalent fractions with
the common denominator.
.
Simplify. .
Combine to one fraction. .
Use the square root property. .
Simplify the radical. .
Add b2ab2a to both sides of the equation. .
Combine the terms on the right side. .
This equation is the Quadratic Formula.

Quadratic Formula

The solutions to a quadratic equation of the form ax2 + bx + c = 0, where a0a0 are given by the formula:

x=b±b24ac2ax=b±b24ac2a

To use the Quadratic Formula, we substitute the values of a, b, and c from the standard form into the expression on the right side of the formula. Then we simplify the expression. The result is the pair of solutions to the quadratic equation.

Notice the formula is an equation. Make sure you use both sides of the equation.

Example 9.21

How to Solve a Quadratic Equation Using the Quadratic Formula

Solve by using the Quadratic Formula: 2x2+9x5=0.2x2+9x5=0.

Try It 9.41

Solve by using the Quadratic Formula: 3y25y+2=03y25y+2=0.

Try It 9.42

Solve by using the Quadratic Formula: 4z2+2z6=04z2+2z6=0.

How To

Solve a quadratic equation using the quadratic formula.

  1. Step 1. Write the quadratic equation in standard form, ax2 + bx + c = 0. Identify the values of a, b, and c.
  2. Step 2. Write the Quadratic Formula. Then substitute in the values of a, b, and c.
  3. Step 3. Simplify.
  4. Step 4. Check the solutions.

If you say the formula as you write it in each problem, you’ll have it memorized in no time! And remember, the Quadratic Formula is an EQUATION. Be sure you start with “x =”.

Example 9.22

Solve by using the Quadratic Formula: x26x=−5.x26x=−5.

Try It 9.43

Solve by using the Quadratic Formula: a22a=15a22a=15.

Try It 9.44

Solve by using the Quadratic Formula: b2+24=−10bb2+24=−10b.

When we solved quadratic equations by using the Square Root Property, we sometimes got answers that had radicals. That can happen, too, when using the Quadratic Formula. If we get a radical as a solution, the final answer must have the radical in its simplified form.

Example 9.23

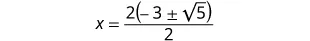
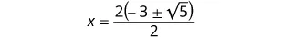
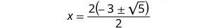
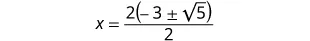
Solve by using the Quadratic Formula: 2x2+10x+11=0.2x2+10x+11=0.

Try It 9.45

Solve by using the Quadratic Formula: 3m2+12m+7=03m2+12m+7=0.

Try It 9.46

Solve by using the Quadratic Formula: 5n2+4n4=05n2+4n4=0.

When we substitute a, b, and c into the Quadratic Formula and the radicand is negative, the quadratic equation will have imaginary or complex solutions. We will see this in the next example.

Example 9.24

Solve by using the Quadratic Formula: 3p2+2p+9=0.3p2+2p+9=0.

Try It 9.47

Solve by using the Quadratic Formula: 4a22a+8=04a22a+8=0.

Try It 9.48

Solve by using the Quadratic Formula: 5b2+2b+4=05b2+2b+4=0.

Remember, to use the Quadratic Formula, the equation must be written in standard form, ax2 + bx + c = 0. Sometimes, we will need to do some algebra to get the equation into standard form before we can use the Quadratic Formula.

Example 9.25

Solve by using the Quadratic Formula: x(x+6)+4=0.x(x+6)+4=0.

Try It 9.49

Solve by using the Quadratic Formula: x(x+2)5=0.x(x+2)5=0.

Try It 9.50

Solve by using the Quadratic Formula: 3y(y2)3=0.3y(y2)3=0.

When we solved linear equations, if an equation had too many fractions we cleared the fractions by multiplying both sides of the equation by the LCD. This gave us an equivalent equation—without fractions— to solve. We can use the same strategy with quadratic equations.

Example 9.26

Solve by using the Quadratic Formula: 12u2+23u=13.12u2+23u=13.

Try It 9.51

Solve by using the Quadratic Formula: 14c213c=11214c213c=112.

Try It 9.52

Solve by using the Quadratic Formula: 19d212d=1319d212d=13.

Think about the equation (x − 3)2 = 0. We know from the Zero Product Property that this equation has only one solution,
x = 3.

We will see in the next example how using the Quadratic Formula to solve an equation whose standard form is a perfect square trinomial equal to 0 gives just one solution. Notice that once the radicand is simplified it becomes 0 , which leads to only one solution.

Example 9.27

Solve by using the Quadratic Formula: 4x220x=−25.4x220x=−25.

Try It 9.53

Solve by using the Quadratic Formula: r2+10r+25=0.r2+10r+25=0.

Try It 9.54

Solve by using the Quadratic Formula: 25t240t=−16.25t240t=−16.

Use the Discriminant to Predict the Number and Type of Solutions of a Quadratic Equation

When we solved the quadratic equations in the previous examples, sometimes we got two real solutions, one real solution, and sometimes two complex solutions. Is there a way to predict the number and type of solutions to a quadratic equation without actually solving the equation?

Yes, the expression under the radical of the Quadratic Formula makes it easy for us to determine the number and type of solutions. This expression is called the discriminant.

Discriminant

In the Quadratic Formula, x equals the quotient of negative b plus or minus the square root of b squared minus 4 times a times c and 2 a, the value under the radical, b squared minus 4 times a times c, is called the discriminant.

Let’s look at the discriminant of the equations in some of the examples and the number and type of solutions to those quadratic equations.

Quadratic Equation
(in standard form)
Discriminant
b24acb24ac
Value of the Discriminant Number and Type of solutions
2x2+9x5=02x2+9x5=0 924·2(−5)121924·2(−5)121 + 2 real
4x220x+25=04x220x+25=0 (−20)24·4·250(−20)24·4·250 0 1 real
3p2+2p+9=03p2+2p+9=0 224·3·9104224·3·9104 2 complex
When the value under the radical in the Quadratic Formula, the discriminant, is positive, the equation has two real solutions. When the value under the radical in the Quadratic Formula, the discriminant, is zero, the equation has one real solution. When the value under the radical in the Quadratic Formula, the discriminant, is negative, the equation has two complex solutions.

Using the Discriminant, b2 − 4ac, to Determine the Number and Type of Solutions of a Quadratic Equation

For a quadratic equation of the form ax2 + bx + c = 0, a0,a0,

  • If b2 − 4ac > 0, the equation has 2 real solutions.
  • if b2 − 4ac = 0, the equation has 1 real solution.
  • if b2 − 4ac < 0, the equation has 2 complex solutions.

Example 9.28

Determine the number of solutions to each quadratic equation.

3x2+7x9=03x2+7x9=0 5n2+n+4=05n2+n+4=0 9y26y+1=0.9y26y+1=0.

Try It 9.55

Determine the numberand type of solutions to each quadratic equation.

8m23m+6=08m23m+6=0 5z2+6z2=05z2+6z2=0 9w2+24w+16=0.9w2+24w+16=0.

Try It 9.56

Determine the number and type of solutions to each quadratic equation.

b2+7b13=0b2+7b13=0 5a26a+10=05a26a+10=0 4r220r+25=0.4r220r+25=0.

Identify the Most Appropriate Method to Use to Solve a Quadratic Equation

We summarize the four methods that we have used to solve quadratic equations below.

Methods for Solving Quadratic Equations

  1. Factoring
  2. Square Root Property
  3. Completing the Square
  4. Quadratic Formula

Given that we have four methods to use to solve a quadratic equation, how do you decide which one to use? Factoring is often the quickest method and so we try it first. If the equation is ax2=kax2=k or a(xh)2=ka(xh)2=k we use the Square Root Property. For any other equation, it is probably best to use the Quadratic Formula. Remember, you can solve any quadratic equation by using the Quadratic Formula, but that is not always the easiest method.

What about the method of Completing the Square? Most people find that method cumbersome and prefer not to use it. We needed to include it in the list of methods because we completed the square in general to derive the Quadratic Formula. You will also use the process of Completing the Square in other areas of algebra.

How To

Identify the most appropriate method to solve a quadratic equation.

  1. Step 1. Try Factoring first. If the quadratic factors easily, this method is very quick.
  2. Step 2. Try the Square Root Property next. If the equation fits the form ax2=kax2=k or a(xh)2=k,a(xh)2=k, it can easily be solved by using the Square Root Property.
  3. Step 3. Use the Quadratic Formula. Any other quadratic equation is best solved by using the Quadratic Formula.

The next example uses this strategy to decide how to solve each quadratic equation.

Example 9.29

Identify the most appropriate method to use to solve each quadratic equation.

5z2=175z2=17 4x212x+9=04x212x+9=0 8u2+6u=11.8u2+6u=11.

Try It 9.57

Identify the most appropriate method to use to solve each quadratic equation.

x2+6x+8=0x2+6x+8=0 (n3)2=16(n3)2=16 5p26p=9.5p26p=9.

Try It 9.58

Identify the most appropriate method to use to solve each quadratic equation.

8a2+3a9=08a2+3a9=0 4b2+4b+1=04b2+4b+1=0 5c2=125.5c2=125.

Media

Access these online resources for additional instruction and practice with using the Quadratic Formula.

Section 9.3 Exercises

Practice Makes Perfect

Solve Quadratic Equations Using the Quadratic Formula

In the following exercises, solve by using the Quadratic Formula.

113.

4 m 2 + m 3 = 0 4 m 2 + m 3 = 0

114.

4 n 2 9 n + 5 = 0 4 n 2 9 n + 5 = 0

115.

2 p 2 7 p + 3 = 0 2 p 2 7 p + 3 = 0

116.

3 q 2 + 8 q 3 = 0 3 q 2 + 8 q 3 = 0

117.

p 2 + 7 p + 12 = 0 p 2 + 7 p + 12 = 0

118.

q 2 + 3 q 18 = 0 q 2 + 3 q 18 = 0

119.

r 2 8 r = 33 r 2 8 r = 33

120.

t 2 + 13 t = −40 t 2 + 13 t = −40

121.

3 u 2 + 7 u 2 = 0 3 u 2 + 7 u 2 = 0

122.

2 p 2 + 8 p + 5 = 0 2 p 2 + 8 p + 5 = 0

123.

2 a 2 6 a + 3 = 0 2 a 2 6 a + 3 = 0

124.

5 b 2 + 2 b 4 = 0 5 b 2 + 2 b 4 = 0

125.

x 2 + 8 x 4 = 0 x 2 + 8 x 4 = 0

126.

y 2 + 4 y 4 = 0 y 2 + 4 y 4 = 0

127.

3 y 2 + 5 y 2 = 0 3 y 2 + 5 y 2 = 0

128.

6 x 2 + 2 x 20 = 0 6 x 2 + 2 x 20 = 0

129.

2 x 2 + 3 x + 3 = 0 2 x 2 + 3 x + 3 = 0

130.

2 x 2 x + 1 = 0 2 x 2 x + 1 = 0

131.

8 x 2 6 x + 2 = 0 8 x 2 6 x + 2 = 0

132.

8 x 2 4 x + 1 = 0 8 x 2 4 x + 1 = 0

133.

( v + 1 ) ( v 5 ) 4 = 0 ( v + 1 ) ( v 5 ) 4 = 0

134.

( x + 1 ) ( x 3 ) = 2 ( x + 1 ) ( x 3 ) = 2

135.

( y + 4 ) ( y 7 ) = 18 ( y + 4 ) ( y 7 ) = 18

136.

( x + 2 ) ( x + 6 ) = 21 ( x + 2 ) ( x + 6 ) = 21

137.

1 3 m 2 + 1 12 m = 1 4 1 3 m 2 + 1 12 m = 1 4

138.

1 3 n 2 + n = 1 2 1 3 n 2 + n = 1 2

139.

3 4 b 2 + 1 2 b = 3 8 3 4 b 2 + 1 2 b = 3 8

140.

1 9 c 2 + 2 3 c = 3 1 9 c 2 + 2 3 c = 3

141.

16 c 2 + 24 c + 9 = 0 16 c 2 + 24 c + 9 = 0

142.

25 d 2 60 d + 36 = 0 25 d 2 60 d + 36 = 0

143.

25 q 2 + 30 q + 9 = 0 25 q 2 + 30 q + 9 = 0

144.

16 y 2 + 8 y + 1 = 0 16 y 2 + 8 y + 1 = 0

Use the Discriminant to Predict the Number of Real Solutions of a Quadratic Equation

In the following exercises, determine the number of real solutions for each quadratic equation.

145.

4x25x+16=04x25x+16=0 36y2+36y+9=036y2+36y+9=0 6m2+3m5=06m2+3m5=0

146.

9v215v+25=09v215v+25=0 100w2+60w+9=0100w2+60w+9=0 5c2+7c10=05c2+7c10=0

147.

r2+12r+36=0r2+12r+36=0 8t211t+5=08t211t+5=0 3v25v1=03v25v1=0

148.

25p2+10p+1=025p2+10p+1=0 7q23q6=07q23q6=0 7y2+2y+8=07y2+2y+8=0

Identify the Most Appropriate Method to Use to Solve a Quadratic Equation

In the following exercises, identify the most appropriate method (Factoring, Square Root, or Quadratic Formula) to use to solve each quadratic equation. Do not solve.

149.


x25x24=0x25x24=0
(y+5)2=12(y+5)2=12
14m2+3m=1114m2+3m=11

150.


(8v+3)2=81(8v+3)2=81
w29w22=0w29w22=0
4n210n=64n210n=6

151.


6a2+14a=206a2+14a=20
(x14)2=516(x14)2=516
y22y=8y22y=8

152.


8b2+15b=48b2+15b=4
59v223v=159v223v=1
(w+43)2=29(w+43)2=29

Writing Exercises

153.

Solve the equation x2+10x=120x2+10x=120

by completing the square

using the Quadratic Formula

Which method do you prefer? Why?

154.

Solve the equation 12y2+23y=2412y2+23y=24

by completing the square

using the Quadratic Formula

Which method do you prefer? Why?

Self Check

After completing the exercises, use this checklist to evaluate your mastery of the objectives of this section.

This table provides a checklist to evaluate mastery of the objectives of this section. Choose how would you respond to the statement “I can solve quadratic equations using the quadratic formula.” “Confidently,” “with some help,” or “No, I don’t get it.” Choose how would you respond to the statement “I can use the discriminant to predict the number of solutions of a quadratic equation.” “Confidently,” “with some help,” or “No, I don’t get it.” Choose how would you respond to the statement “I can identify the most appropriate method to use to solve a quadratic equation.” “Confidently,” “with some help,” or “No, I don’t get it.”

What does this checklist tell you about your mastery of this section? What steps will you take to improve?

Citation/Attribution

This book may not be used in the training of large language models or otherwise be ingested into large language models or generative AI offerings without OpenStax's permission.

Want to cite, share, or modify this book? This book uses the Creative Commons Attribution License and you must attribute OpenStax.

Attribution information
  • If you are redistributing all or part of this book in a print format, then you must include on every physical page the following attribution:

    Access for free at https://openstax.org/books/intermediate-algebra-2e/pages/1-introduction

  • If you are redistributing all or part of this book in a digital format, then you must include on every digital page view the following attribution:

    Access for free at https://openstax.org/books/intermediate-algebra-2e/pages/1-introduction

Citation information

© Jul 8, 2025 OpenStax. Textbook content produced by OpenStax is licensed under a Creative Commons Attribution License . The OpenStax name, OpenStax logo, OpenStax book covers, OpenStax CNX name, and OpenStax CNX logo are not subject to the Creative Commons license and may not be reproduced without the prior and express written consent of Rice University.