Skip to ContentGo to accessibility pageKeyboard shortcuts menu
OpenStax Logo
Intermediate Algebra 2e

8.8 Use the Complex Number System

Intermediate Algebra 2e8.8 Use the Complex Number System
Search for key terms or text.

Learning Objectives

By the end of this section, you will be able to:

  • Evaluate the square root of a negative number
  • Add and subtract complex numbers
  • Multiply complex numbers
  • Divide complex numbers
  • Simplify powers of ii

Be Prepared 8.22

Before you get started, take this readiness quiz.

Given the numbers −4,7,0.5,73,3,81,−4,7,0.5,73,3,81, list the rational numbers, irrational numbers, real numbers.
If you missed this problem, review Example 1.42.

Be Prepared 8.23

Multiply: (x3)(2x+5).(x3)(2x+5).
If you missed this problem, review Example 5.28.

Be Prepared 8.24

Rationalize the denominator:553.553.
If you missed this problem, review Example 5.32.

Evaluate the Square Root of a Negative Number

Whenever we have a situation where we have a square root of a negative number we say there is no real number that equals that square root. For example, to simplify −1,−1, we are looking for a real number x so that x2 = –1. Since all real numbers squared are positive numbers, there is no real number that equals –1 when squared.

Mathematicians have often expanded their numbers systems as needed. They added 0 to the counting numbers to get the whole numbers. When they needed negative balances, they added negative numbers to get the integers. When they needed the idea of parts of a whole they added fractions and got the rational numbers. Adding the irrational numbers allowed numbers like 5.5. All of these together gave us the real numbers and so far in your study of mathematics, that has been sufficient.

But now we will expand the real numbers to include the square roots of negative numbers. We start by defining the imaginary unit ii as the number whose square is –1.

Imaginary Unit

The imaginary unit i is the number whose square is –1.

i2=−1ori=−1i2=−1ori=−1

We will use the imaginary unit to simplify the square roots of negative numbers.

Square Root of a Negative Number

If b is a positive real number, then

b=bib=bi

We will use this definition in the next example. Be careful that it is clear that the i is not under the radical. Sometimes you will see this written as b=ibb=ib to emphasize the i is not under the radical. But the b=bib=bi is considered standard form.

Example 8.76

Write each expression in terms of i and simplify if possible:

−25−25 −7−7 −12.−12.

Try It 8.151

Write each expression in terms of i and simplify if possible:

−81−81 −5−5 −18.−18.

Try It 8.152

Write each expression in terms of i and simplify if possible:

−36−36 −3−3 −27.−27.

Now that we are familiar with the imaginary number i, we can expand our concept of the number system to include imaginary numbers. The complex number system includes the real numbers and the imaginary numbers. A complex number is of the form a + bi, where a, b are real numbers. We call a the real part and b the imaginary part.

Complex Number

A complex number is of the form a + bi, where a and b are real numbers.

The image shows the expression a plus b i. The number a is labeled “real part” and the number b i is labeled “imaginary part”.

A complex number is in standard form when written as a+bi,a+bi, where a and b are real numbers.

If b=0,b=0, then a+bia+bi becomes a+0·i=a,a+0·i=a, and is a real number.

If b0,b0, then a+bia+bi is an imaginary number.

If a=0,a=0, then a+bia+bi becomes 0+bi=bi,0+bi=bi, and is called a pure imaginary number.

We summarize this here.

a+bia+bi
b=0b=0 a+0·iaa+0·ia Real number
b0b0 a+bia+bi Imaginary number
a=0a=0 0+bibi0+bibi Pure imaginary number

The standard form of a complex number is a+bi,a+bi, so this explains why the preferred form is b=bib=bi when b>0.b>0.

The diagram helps us visualize the complex number system. It is made up of both the real numbers and the imaginary numbers.

The table has four rows and three columns. The first row is a header and the second column entry a plus b i. In the second row is b equals zero, a plus 0 i, and “Real number”. The third row contains b is not equal to 0, a plus b i, and “Imaginary number”. The fourth row contains a = 0, 0 plus b i, and “Pure imaginary number”.

Add or Subtract Complex Numbers

We are now ready to perform the operations of addition, subtraction, multiplication and division on the complex numbers—just as we did with the real numbers.

Adding and subtracting complex numbers is much like adding or subtracting like terms. We add or subtract the real parts and then add or subtract the imaginary parts. Our final result should be in standard form.

Example 8.77

Add: −12+−27.−12+−27.

Try It 8.153

Add: −8+−32.−8+−32.

Try It 8.154

Add: −27+−48.−27+−48.

Remember to add both the real parts and the imaginary parts in this next example.

Example 8.78

Simplify: (43i)+(5+6i)(43i)+(5+6i) (25i)(52i).(25i)(52i).

Try It 8.155

Simplify: (2+7i)+(42i)(2+7i)+(42i) (84i)(2i).(84i)(2i).

Try It 8.156

Simplify: (32i)+(−54i)(32i)+(−54i) (4+3i)(26i).(4+3i)(26i).

Multiply Complex Numbers

Multiplying complex numbers is also much like multiplying expressions with coefficients and variables. There is only one special case we need to consider. We will look at that after we practice in the next two examples.

Example 8.79

Multiply: 2i(75i).2i(75i).

Try It 8.157

Multiply: 4i(53i).4i(53i).

Try It 8.158

Multiply: −3i(2+4i).−3i(2+4i).

In the next example, we multiply the binomials using the Distributive Property or FOIL.

Example 8.80

Multiply: (3+2i)(43i).(3+2i)(43i).

Try It 8.159

Multiply: (53i)(−12i).(53i)(−12i).

Try It 8.160

Multiply: (−43i)(2+i).(−43i)(2+i).

In the next example, we could use FOIL or the Product of Binomial Squares Pattern.

Example 8.81

Multiply: (3+2i)2(3+2i)2

Try It 8.161

Multiply using the Binomial Squares pattern: (−25i)2.(−25i)2.

Try It 8.162

Multiply using the Binomial Squares pattern: (−5+4i)2.(−5+4i)2.

Since the square root of a negative number is not a real number, when we have the square roots of two negative numbers, we cannot use the Product Property for Radicals. In order to multiply square roots of negative numbers we should first write them as complex numbers, using b=bi.b=bi. This is one place students tend to make errors, so be careful when you see multiplying with a negative square root.

Example 8.82

Multiply: −36·−4.−36·−4.

Try It 8.163

Multiply: −49·−4.−49·−4.

Try It 8.164

Multiply: −36·−81.−36·−81.

In the next example, each binomial has a square root of a negative number. Before multiplying, each square root of a negative number must be written as a complex number.

Example 8.83

Multiply: (3−12)(5+−27).(3−12)(5+−27).

Try It 8.165

Multiply: (4−12)(3−48).(4−12)(3−48).

Try It 8.166

Multiply: (−2+−8)(3−18).(−2+−8)(3−18).

We first looked at conjugate pairs when we studied polynomials. We said that a pair of binomials that each have the same first term and the same last term, but one is a sum and one is a difference is called a conjugate pair and is of the form (ab),(a+b).(ab),(a+b).

A complex conjugate pair is very similar. For a complex number of the form a+bi,a+bi, its conjugate is abi.abi. Notice they have the same first term and the same last term, but one is a sum and one is a difference.

Complex Conjugate Pair

A complex conjugate pair is of the form a+bi,a+bi,abi.abi.

We will multiply a complex conjugate pair in the next example.

Example 8.84

Multiply: (32i)(3+2i).(32i)(3+2i).

Try It 8.167

Multiply: (43i)·(4+3i).(43i)·(4+3i).

Try It 8.168

Multiply: (−2+5i)·(−25i).(−2+5i)·(−25i).

From our study of polynomials, we know the product of conjugates is always of the form (ab)(a+b)=a2b2.(ab)(a+b)=a2b2. The result is called a difference of squares. We can multiply a complex conjugate pair using this pattern.

The last example we used FOIL. Now we will use the Product of Conjugates Pattern.

The quantity a minus b in parentheses times the quantity a plus b in parentheses is written above the expression showing the product of 3 minus 2 i in parentheses and 3 plus 2 i in parentheses. In the next line a squared minus b squared is written above the expression 3 squared minus the quantity 2 i in parentheses squared. Simplifying we get 9 minus 4 i squared. This is equal to 9 minus 4 times negative 1. The final result is 13.

Notice this is the same result we found in Example 8.84.

When we multiply complex conjugates, the product of the last terms will always have an i2i2 which simplifies to −1.−1.

(abi)(a+bi)a2(bi)2a2b2i2a2b2(−1)a2+b2(abi)(a+bi)a2(bi)2a2b2i2a2b2(−1)a2+b2

This leads us to the Product of Complex Conjugates Pattern: (abi)(a+bi)=a2+b2(abi)(a+bi)=a2+b2

Product of Complex Conjugates

If a and b are real numbers, then

(abi)(a+bi)=a2+b2(abi)(a+bi)=a2+b2

Example 8.85

Multiply using the Product of Complex Conjugates Pattern: (82i)(8+2i).(82i)(8+2i).

Try It 8.169

Multiply using the Product of Complex Conjugates Pattern: (310i)(3+10i).(310i)(3+10i).

Try It 8.170

Multiply using the Product of Complex Conjugates Pattern: (−5+4i)(−54i).(−5+4i)(−54i).

Divide Complex Numbers

Dividing complex numbers is much like rationalizing a denominator. We want our result to be in standard form with no imaginary numbers in the denominator.

Example 8.86

How to Divide Complex Numbers

Divide: 4+3i34i.4+3i34i.

Try It 8.171

Divide: 2+5i52i.2+5i52i.

Try It 8.172

Divide: 1+6i6i.1+6i6i.

We summarize the steps here.

How To

How to divide complex numbers.

  1. Step 1. Write both the numerator and denominator in standard form.
  2. Step 2. Multiply the numerator and denominator by the complex conjugate of the denominator.
  3. Step 3. Simplify and write the result in standard form.

Example 8.87

Divide, writing the answer in standard form: −35+2i.−35+2i.

Try It 8.173

Divide, writing the answer in standard form: 414i.414i.

Try It 8.174

Divide, writing the answer in standard form: −2−1+2i.−2−1+2i.

Be careful as you find the conjugate of the denominator.

Example 8.88

Divide: 5+3i4i.5+3i4i.

Try It 8.175

Divide: 3+3i2i.3+3i2i.

Try It 8.176

Divide: 2+4i5i.2+4i5i.

Simplify Powers of i

The powers of ii make an interesting pattern that will help us simplify higher powers of i. Let’s evaluate the powers of ii to see the pattern.

i1i2i3i4i1i2·ii2·i21·i(−1)(−1) i1 i5i6i7i8 i4·ii4·i2i4·i3i4·i4 1·i1·i21·i31·1 ii2i31 1ii1i2i3i4i1i2·ii2·i21·i(−1)(−1) i1 i5i6i7i8 i4·ii4·i2i4·i3i4·i4 1·i1·i21·i31·1 ii2i31 1i

We summarize this now.

i1=ii5=i i2=−1i6=−1 i3=ii7=i i4=1i8=1i1=ii5=i i2=−1i6=−1 i3=ii7=i i4=1i8=1

If we continued, the pattern would keep repeating in blocks of four. We can use this pattern to help us simplify powers of i. Since i4 = 1, we rewrite each power, in, as a product using i4 to a power and another power of i.

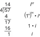
We rewrite it in the form in=(i4)q·ir,in=(i4)q·ir, where the exponent, q, is the quotient of n divided by 4 and the exponent, r, is the remainder from this division. For example, to simplify i57, we divide 57 by 4 and we get 14 with a remainder of 1. In other words, 57=4·14+1.57=4·14+1. So we write i57=(14)14·i1i57=(14)14·i1 and then simplify from there.

.

Example 8.89

Simplify: i86.i86.

Try It 8.177

Simplify: i75.i75.

Try It 8.178

Simplify: i92.i92.

Media

Access these online resources for additional instruction and practice with the complex number system.

Section 8.8 Exercises

Practice Makes Perfect

Evaluate the Square Root of a Negative Number

In the following exercises, write each expression in terms of i and simplify if possible.

409.

−16−16 −11−11
−8−8

410.

−121−121 −1−1 −20−20

411.

−100−100 −13−13 −45−45

412.

−49−49 −15−15 −75−75

Add or Subtract Complex Numbers In the following exercises, add or subtract.

413.

−75 + −48 −75 + −48

414.

−12 + −75 −12 + −75

415.

−50 + −18 −50 + −18

416.

−72 + −8 −72 + −8

417.

( 1 + 3 i ) + ( 7 + 4 i ) ( 1 + 3 i ) + ( 7 + 4 i )

418.

( 6 + 2 i ) + ( 3 4 i ) ( 6 + 2 i ) + ( 3 4 i )

419.

( 8 i ) + ( 6 + 3 i ) ( 8 i ) + ( 6 + 3 i )

420.

( 7 4 i ) + ( −2 6 i ) ( 7 4 i ) + ( −2 6 i )

421.

( 1 4 i ) ( 3 6 i ) ( 1 4 i ) ( 3 6 i )

422.

( 8 4 i ) ( 3 + 7 i ) ( 8 4 i ) ( 3 + 7 i )

423.

( 6 + i ) ( −2 4 i ) ( 6 + i ) ( −2 4 i )

424.

( −2 + 5 i ) ( −5 + 6 i ) ( −2 + 5 i ) ( −5 + 6 i )

425.

( 5 −36 ) + ( 2 −49 ) ( 5 −36 ) + ( 2 −49 )

426.

( −3 + −64 ) + ( 5 −16 ) ( −3 + −64 ) + ( 5 −16 )

427.

( −7 −50 ) ( −32 −18 ) ( −7 −50 ) ( −32 −18 )

428.

( −5 + −27 ) ( −4 −48 ) ( −5 + −27 ) ( −4 −48 )

Multiply Complex Numbers

In the following exercises, multiply.

429.

4 i ( 5 3 i ) 4 i ( 5 3 i )

430.

2 i ( −3 + 4 i ) 2 i ( −3 + 4 i )

431.

−6 i ( −3 2 i ) −6 i ( −3 2 i )

432.

i ( 6 + 5 i ) i ( 6 + 5 i )

433.

( 4 + 3 i ) ( −5 + 6 i ) ( 4 + 3 i ) ( −5 + 6 i )

434.

( −2 5 i ) ( −4 + 3 i ) ( −2 5 i ) ( −4 + 3 i )

435.

( −3 + 3 i ) ( −2 7 i ) ( −3 + 3 i ) ( −2 7 i )

436.

( −6 2 i ) ( −3 5 i ) ( −6 2 i ) ( −3 5 i )

In the following exercises, multiply using the Product of Binomial Squares Pattern.

437.

( 3 + 4 i ) 2 ( 3 + 4 i ) 2

438.

( −1 + 5 i ) 2 ( −1 + 5 i ) 2

439.

( −2 3 i ) 2 ( −2 3 i ) 2

440.

( −6 5 i ) 2 ( −6 5 i ) 2

In the following exercises, multiply.

441.

−25 · −36 −25 · −36

442.

−4 · −16 −4 · −16

443.

−9 · −100 −9 · −100

444.

−64 · −9 −64 · −9

445.

( −2 −27 ) ( 4 −48 ) ( −2 −27 ) ( 4 −48 )

446.

( 5 −12 ) ( −3 + −75 ) ( 5 −12 ) ( −3 + −75 )

447.

( 2 + −8 ) ( −4 + −18 ) ( 2 + −8 ) ( −4 + −18 )

448.

( 5 + −18 ) ( −2 −50 ) ( 5 + −18 ) ( −2 −50 )

449.

( 2 i ) ( 2 + i ) ( 2 i ) ( 2 + i )

450.

( 4 5 i ) ( 4 + 5 i ) ( 4 5 i ) ( 4 + 5 i )

451.

( 7 2 i ) ( 7 + 2 i ) ( 7 2 i ) ( 7 + 2 i )

452.

( −3 8 i ) ( −3 + 8 i ) ( −3 8 i ) ( −3 + 8 i )

In the following exercises, multiply using the Product of Complex Conjugates Pattern.

453.

( 7 i ) ( 7 + i ) ( 7 i ) ( 7 + i )

454.

( 6 5 i ) ( 6 + 5 i ) ( 6 5 i ) ( 6 + 5 i )

455.

( 9 2 i ) ( 9 + 2 i ) ( 9 2 i ) ( 9 + 2 i )

456.

( −3 4 i ) ( −3 + 4 i ) ( −3 4 i ) ( −3 + 4 i )

Divide Complex Numbers

In the following exercises, divide.

457.

3 + 4 i 4 3 i 3 + 4 i 4 3 i

458.

5 2 i 2 + 5 i 5 2 i 2 + 5 i

459.

2 + i 3 4 i 2 + i 3 4 i

460.

3 2 i 6 + i 3 2 i 6 + i

461.

3 2 3 i 3 2 3 i

462.

2 4 5 i 2 4 5 i

463.

−4 3 2 i −4 3 2 i

464.

−1 3 + 2 i −1 3 + 2 i

465.

1 + 4 i 3 i 1 + 4 i 3 i

466.

4 + 3 i 7 i 4 + 3 i 7 i

467.

−2 3 i 4 i −2 3 i 4 i

468.

−3 5 i 2 i −3 5 i 2 i

Simplify Powers of i

In the following exercises, simplify.

469.

i 41 i 41

470.

i 39 i 39

471.

i 66 i 66

472.

i 48 i 48

473.

i 128 i 128

474.

i 162 i 162

475.

i 137 i 137

476.

i 255 i 255

Writing Exercises

477.

Explain the relationship between real numbers and complex numbers.

478.

Aniket multiplied as follows and he got the wrong answer. What is wrong with his reasoning?

−7 · −7 49 7 −7 · −7 49 7

479.

Why is −64=8i−64=8i but −643=−4.−643=−4.

480.

Explain how dividing complex numbers is similar to rationalizing a denominator.

Self Check

After completing the exercises, use this checklist to evaluate your mastery of the objectives of this section.

The table has 4 columns and 4 rows. The first row is a header row with the headers “I can…”, “Confidently”, “With some help.”, and “No – I don’t get it!”. The first column contains the phrases “evaluate the square root of a negative number”, “add or subtract complex numbers”, “multiply complex numbers”, “divide complex numbers”, and “simplify powers of i”. The other columns are left blank so the learner can indicate their level of understanding.

On a scale of 110,110, how would you rate your mastery of this section in light of your responses on the checklist? How can you improve this?

Citation/Attribution

This book may not be used in the training of large language models or otherwise be ingested into large language models or generative AI offerings without OpenStax's permission.

Want to cite, share, or modify this book? This book uses the Creative Commons Attribution License and you must attribute OpenStax.

Attribution information
  • If you are redistributing all or part of this book in a print format, then you must include on every physical page the following attribution:

    Access for free at https://openstax.org/books/intermediate-algebra-2e/pages/1-introduction

  • If you are redistributing all or part of this book in a digital format, then you must include on every digital page view the following attribution:

    Access for free at https://openstax.org/books/intermediate-algebra-2e/pages/1-introduction

Citation information

© Jul 8, 2025 OpenStax. Textbook content produced by OpenStax is licensed under a Creative Commons Attribution License . The OpenStax name, OpenStax logo, OpenStax book covers, OpenStax CNX name, and OpenStax CNX logo are not subject to the Creative Commons license and may not be reproduced without the prior and express written consent of Rice University.