Skip to ContentGo to accessibility pageKeyboard shortcuts menu
OpenStax Logo
Intermediate Algebra 2e

7.4 Solve Rational Equations

Intermediate Algebra 2e7.4 Solve Rational Equations
Search for key terms or text.

Learning Objectives

By the end of this section, you will be able to:

  • Solve rational equations
  • Use rational functions
  • Solve a rational equation for a specific variable

Be Prepared 7.10

Before you get started, take this readiness quiz.

Solve: 16x+12=13.16x+12=13.
If you missed this problem, review Example 2.9.

Be Prepared 7.11

Solve: n25n36=0.n25n36=0.
If you missed this problem, review Example 6.45.

Be Prepared 7.12

Solve the formula 5x+2y=105x+2y=10 for y.y.
If you missed this problem, review Example 2.31.

After defining the terms ‘expression’ and ‘equation’ earlier, we have used them throughout this book. We have simplified many kinds of expressions and solved many kinds of equations. We have simplified many rational expressions so far in this chapter. Now we will solve a rational equation.

Rational Equation

A rational equation is an equation that contains a rational expression.

You must make sure to know the difference between rational expressions and rational equations. The equation contains an equal sign.

Rational ExpressionRational Equation 18x+12 y+6y236 1n3+1n+4 18x+12=14 y+6y236=y+1 1n3+1n+4=15n2+n12Rational ExpressionRational Equation 18x+12 y+6y236 1n3+1n+4 18x+12=14 y+6y236=y+1 1n3+1n+4=15n2+n12

Solve Rational Equations

We have already solved linear equations that contained fractions. We found the LCD of all the fractions in the equation and then multiplied both sides of the equation by the LCD to “clear” the fractions.

We will use the same strategy to solve rational equations. We will multiply both sides of the equation by the LCD. Then, we will have an equation that does not contain rational expressions and thus is much easier for us to solve. But because the original equation may have a variable in a denominator, we must be careful that we don’t end up with a solution that would make a denominator equal to zero.

So before we begin solving a rational equation, we examine it first to find the values that would make any denominators zero. That way, when we solve a rational equation we will know if there are any algebraic solutions we must discard.

An algebraic solution to a rational equation that would cause any of the rational expressions to be undefined is called an extraneous solution to a rational equation.

Extraneous Solution to a Rational Equation

An extraneous solution to a rational equation is an algebraic solution that would cause any of the expressions in the original equation to be undefined.

We note any possible extraneous solutions, c, by writing xcxc next to the equation.

Example 7.33

How to Solve a Rational Equation

Solve: 1x+13=56.1x+13=56.

Try It 7.65

Solve: 1y+23=15.1y+23=15.

Try It 7.66

Solve: 23+15=1x.23+15=1x.

The steps of this method are shown.

How To

Solve equations with rational expressions.

  1. Step 1. Note any value of the variable that would make any denominator zero.
  2. Step 2. Find the least common denominator of all denominators in the equation.
  3. Step 3. Clear the fractions by multiplying both sides of the equation by the LCD.
  4. Step 4. Solve the resulting equation.
  5. Step 5.
    Check:
    • If any values found in Step 1 are algebraic solutions, discard them.
    • Check any remaining solutions in the original equation.

We always start by noting the values that would cause any denominators to be zero.

Example 7.34

How to Solve a Rational Equation using the Zero Product Property

Solve: 15y=6y2.15y=6y2.

Try It 7.67

Solve: 12x=15x2.12x=15x2.

Try It 7.68

Solve: 14y=12y2.14y=12y2.

In the next example, the last denominators is a difference of squares. Remember to factor it first to find the LCD.

Example 7.35

Solve: 2x+2+4x2=x1x24.2x+2+4x2=x1x24.

Try It 7.69

Solve: 2x+1+1x1=1x21.2x+1+1x1=1x21.

Try It 7.70

Solve: 5y+3+2y3=5y29.5y+3+2y3=5y29.

In the next example, the first denominator is a trinomial. Remember to factor it first to find the LCD.

Example 7.36

Solve: m+11m25m+4=5m43m1.m+11m25m+4=5m43m1.

Try It 7.71

Solve: x+13x27x+10=6x54x2.x+13x27x+10=6x54x2.

Try It 7.72

Solve: y6y2+3y4=2y+4+7y1.y6y2+3y4=2y+4+7y1.

The equation we solved in the previous example had only one algebraic solution, but it was an extraneous solution. That left us with no solution to the equation. In the next example we get two algebraic solutions. Here one or both could be extraneous solutions.

Example 7.37

Solve: yy+6=72y236+4.yy+6=72y236+4.

Try It 7.73

Solve: xx+4=32x216+5.xx+4=32x216+5.

Try It 7.74

Solve: yy+8=128y264+9.yy+8=128y264+9.

In some cases, all the algebraic solutions are extraneous.

Example 7.38

Solve: x2x223x+3=5x22x+912x212.x2x223x+3=5x22x+912x212.

Try It 7.75

Solve: y5y1053y+6=2y219y+5415y260.y5y1053y+6=2y219y+5415y260.

Try It 7.76

Solve: z2z+834z8=3z216z168z2+16z64.z2z+834z8=3z216z168z2+16z64.

Example 7.39

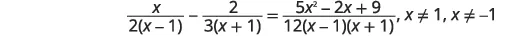
Solve: 43x210x+3+33x2+2x1=2x22x3.43x210x+3+33x2+2x1=2x22x3.

Try It 7.77

Solve: 15x2+x63x2=2x+3.15x2+x63x2=2x+3.

Try It 7.78

Solve: 5x2+2x33x2+x2=1x2+5x+6.5x2+2x33x2+x2=1x2+5x+6.

Use Rational Functions

Working with functions that are defined by rational expressions often lead to rational equations. Again, we use the same techniques to solve them.

Example 7.40

For rational function, f(x)=2x6x28x+15,f(x)=2x6x28x+15, find the domain of the function, solve f(x)=1,f(x)=1, and find the points on the graph at this function value.

Try It 7.79

For rational function, f(x)=8xx27x+12,f(x)=8xx27x+12, find the domain of the function solve f(x)=3f(x)=3 find the points on the graph at this function value.

Try It 7.80

For rational function, f(x)=x1x26x+5,f(x)=x1x26x+5, find the domain of the function solve f(x)=4f(x)=4 find the points on the graph at this function value.

Solve a Rational Equation for a Specific Variable

When we solved linear equations, we learned how to solve a formula for a specific variable. Many formulas used in business, science, economics, and other fields use rational equations to model the relation between two or more variables. We will now see how to solve a rational equation for a specific variable.

When we developed the point-slope formula from our slope formula, we cleared the fractions by multiplying by the LCD.

m=yy1xx1 Multiply both sides of the equation byxx1.m(xx1)=(yy1xx1)(xx1) Simplify.m(xx1)=yy1 Rewrite the equation with theyterms on the left.yy1=m(xx1)m=yy1xx1 Multiply both sides of the equation byxx1.m(xx1)=(yy1xx1)(xx1) Simplify.m(xx1)=yy1 Rewrite the equation with theyterms on the left.yy1=m(xx1)

In the next example, we will use the same technique with the formula for slope that we used to get the point-slope form of an equation of a line through a point in Chapter 3. We will add one more step to solve for y.

Example 7.41

Solve:m=y2x3m=y2x3 for y.y.

Try It 7.81

Solve: m=y5x4m=y5x4for y.y.

Try It 7.82

Solve: m=y1x+5m=y1x+5 for y.y.

Remember to multiply both sides by the LCD in the next example.

Example 7.42

Solve: 1c+1m=11c+1m=1 for c.

Try It 7.83

Solve: 1a+1b=c1a+1b=c for a.

Try It 7.84

Solve: 2x+13=1y2x+13=1y for y.

Media

Access this online resource for additional instruction and practice with equations with rational expressions.

Section 7.4 Exercises

Practice Makes Perfect

Solve Rational Equations

In the following exercises, solve each rational equation.

197.

1 a + 2 5 = 1 2 1 a + 2 5 = 1 2

198.

6 3 2 d = 4 9 6 3 2 d = 4 9

199.

4 5 + 1 4 = 2 v 4 5 + 1 4 = 2 v

200.

3 8 + 2 y = 1 4 3 8 + 2 y = 1 4

201.

1 2 m = 8 m 2 1 2 m = 8 m 2

202.

1 + 4 n = 21 n 2 1 + 4 n = 21 n 2

203.

1 + 9 p = −20 p 2 1 + 9 p = −20 p 2

204.

1 7 q = −6 q 2 1 7 q = −6 q 2

205.

5 3 v 2 = 7 4 v 5 3 v 2 = 7 4 v

206.

8 2 w + 1 = 3 w 8 2 w + 1 = 3 w

207.

3 x + 4 + 7 x 4 = 8 x 2 16 3 x + 4 + 7 x 4 = 8 x 2 16

208.

5 y 9 + 1 y + 9 = 18 y 2 81 5 y 9 + 1 y + 9 = 18 y 2 81

209.

8 z 10 7 z + 10 = 5 z 2 100 8 z 10 7 z + 10 = 5 z 2 100

210.

9 a + 11 6 a 11 = 6 a 2 121 9 a + 11 6 a 11 = 6 a 2 121

211.

−10 q 2 7 q + 4 = 1 −10 q 2 7 q + 4 = 1

212.

2 s + 7 3 s 3 = 1 2 s + 7 3 s 3 = 1

213.

v 10 v 2 5 v + 4 = 3 v 1 6 v 4 v 10 v 2 5 v + 4 = 3 v 1 6 v 4

214.

w + 8 w 2 11 w + 28 = 5 w 7 + 2 w 4 w + 8 w 2 11 w + 28 = 5 w 7 + 2 w 4

215.

x 10 x 2 + 8 x + 12 = 3 x + 2 + 4 x + 6 x 10 x 2 + 8 x + 12 = 3 x + 2 + 4 x + 6

216.

y 5 y 2 4 y 5 = 1 y + 1 + 1 y 5 y 5 y 2 4 y 5 = 1 y + 1 + 1 y 5

217.

b + 3 3 b + b 24 = 1 b b + 3 3 b + b 24 = 1 b

218.

c + 3 12 c + c 36 = 1 4 c c + 3 12 c + c 36 = 1 4 c

219.

d d + 3 = 18 d 2 9 + 4 d d + 3 = 18 d 2 9 + 4

220.

m m + 5 = 50 m 2 25 + 6 m m + 5 = 50 m 2 25 + 6

221.

n n + 2 3 = 8 n 2 4 n n + 2 3 = 8 n 2 4

222.

p p + 7 8 = 98 p 2 49 p p + 7 8 = 98 p 2 49

223.

q 3 q 9 3 4 q + 12 = 7 q 2 + 6 q + 63 24 q 2 216 q 3 q 9 3 4 q + 12 = 7 q 2 + 6 q + 63 24 q 2 216

224.

r 3 r 15 1 4 r + 20 = 3 r 2 + 17 r + 40 12 r 2 300 r 3 r 15 1 4 r + 20 = 3 r 2 + 17 r + 40 12 r 2 300

225.

s 2 s + 6 2 5 s + 5 = 5 s 2 3 s 7 10 s 2 + 40 s + 30 s 2 s + 6 2 5 s + 5 = 5 s 2 3 s 7 10 s 2 + 40 s + 30

226.

t 6 t 12 5 2 t + 10 = t 2 23 t + 70 12 t 2 + 36 t 120 t 6 t 12 5 2 t + 10 = t 2 23 t + 70 12 t 2 + 36 t 120

227.

2 x 2 + 2 x 8 1 x 2 + 9 x + 20 = 4 x 2 + 3 x 10 2 x 2 + 2 x 8 1 x 2 + 9 x + 20 = 4 x 2 + 3 x 10

228.

5 x 2 + 4 x + 3 + 2 x 2 + x 6 = 3 x 2 x 2 5 x 2 + 4 x + 3 + 2 x 2 + x 6 = 3 x 2 x 2

229.

3 x 2 5 x 6 + 3 x 2 7 x + 6 = 6 x 2 1 3 x 2 5 x 6 + 3 x 2 7 x + 6 = 6 x 2 1

230.

2 x 2 + 2 x 3 + 3 x 2 + 4 x + 3 = 6 x 2 1 2 x 2 + 2 x 3 + 3 x 2 + 4 x + 3 = 6 x 2 1

Solve Rational Equations that Involve Functions

231.

For rational function, f(x)=x2x2+6x+8,f(x)=x2x2+6x+8, find the domain of the function solve f(x)=5f(x)=5 find the points on the graph at this function value.

232.

For rational function, f(x)=x+1x22x3,f(x)=x+1x22x3, find the domain of the function solve f(x)=1f(x)=1 find the points on the graph at this function value.

233.

For rational function, f(x)=2xx27x+10,f(x)=2xx27x+10, find the domain of the function solve f(x)=2f(x)=2 find the points on the graph at this function value.

234.

For rational function, f(x)=5xx2+5x+6,f(x)=5xx2+5x+6,
find the domain of the function
solve f(x)=3f(x)=3
the points on the graph at this function value.

Solve a Rational Equation for a Specific Variable

In the following exercises, solve.

235.

Cr=2πCr=2π for r.r.

236.

Ir=PIr=P for r.r.

237.

v+3w1=12v+3w1=12 for w.w.

238.

x+52y=43x+52y=43 for y.y.

239.

a=b+3c2a=b+3c2 for c.c.

240.

m=n2nm=n2n for n.n.

241.

1p+2q=41p+2q=4 for p.p.

242.

3s+1t=23s+1t=2 for s.s.

243.

2v+15=3w2v+15=3w for w.w.

244.

6x+23=1y6x+23=1y for y.y.

245.

m+3n2=45m+3n2=45 for n.n.

246.

r=s3tr=s3t for t.t.

247.

Ec=m2Ec=m2 for c.c.

248.

RT=WRT=W for T.T.

249.

3x5y=143x5y=14 for y.y.

250.

c=2a+b5c=2a+b5 for a.a.

Writing Exercises

251.

Your class mate is having trouble in this section. Write down the steps you would use to explain how to solve a rational equation.

252.

Alek thinks the equation yy+6=72y236+4yy+6=72y236+4 has two solutions, y=−6y=−6 and y=4.y=4. Explain why Alek is wrong.

Self Check

After completing the exercises, use this checklist to evaluate your mastery of the objectives of this section.

This table has four columns and four rows. The first row is a header and it labels each column, “I can…”, “Confidently,” “With some help,” and “No-I don’t get it!” In row 2, the I can was solve rational equations. In row 3, the I can was solve rational equations involving functions. In row 4, the I can was solve rational equations for a specific variable.

On a scale of 110,110, how would you rate your mastery of this section in light of your responses on the checklist? How can you improve this?

Citation/Attribution

This book may not be used in the training of large language models or otherwise be ingested into large language models or generative AI offerings without OpenStax's permission.

Want to cite, share, or modify this book? This book uses the Creative Commons Attribution License and you must attribute OpenStax.

Attribution information
  • If you are redistributing all or part of this book in a print format, then you must include on every physical page the following attribution:

    Access for free at https://openstax.org/books/intermediate-algebra-2e/pages/1-introduction

  • If you are redistributing all or part of this book in a digital format, then you must include on every digital page view the following attribution:

    Access for free at https://openstax.org/books/intermediate-algebra-2e/pages/1-introduction

Citation information

© Jul 8, 2025 OpenStax. Textbook content produced by OpenStax is licensed under a Creative Commons Attribution License . The OpenStax name, OpenStax logo, OpenStax book covers, OpenStax CNX name, and OpenStax CNX logo are not subject to the Creative Commons license and may not be reproduced without the prior and express written consent of Rice University.