Skip to ContentGo to accessibility pageKeyboard shortcuts menu
OpenStax Logo
Intermediate Algebra 2e

7.5 Solve Applications with Rational Equations

Intermediate Algebra 2e7.5 Solve Applications with Rational Equations
Search for key terms or text.

Learning Objectives

By the end of this section, you will be able to:

  • Solve proportions
  • Solve similar figure applications
  • Solve uniform motion applications
  • Solve work applications
  • Solve direct variation problems
  • Solve inverse variation problems

Be Prepared 7.13

Before you get started, take this readiness quiz.

Solve: 2(n1)4=−10.2(n1)4=−10.
If you missed this problem, review Example 2.13.

Be Prepared 7.14

An express train and a charter bus leave Chicago to travel to Champaign. The express train can make the trip in two hours and the bus takes five hours for the trip. The speed of the express train is 42 miles per hour faster than the speed of the bus. Find the speed of the bus.
If you missed this problem, review Example 2.43.

Be Prepared 7.15

Solve 13x+14x=56.13x+14x=56.
If you missed this problem, review Example 2.9.

Solve Proportions

When two rational expressions are equal, the equation relating them is called a proportion.

Proportion

A proportion is an equation of the form ab=cd,ab=cd, where b0,d0.b0,d0.

The proportion is read “a is to b as c is to d.

The equation 12=4812=48 is a proportion because the two fractions are equal. The proportion 12=4812=48 is read “1 is to 2 as 4 is to 8.”

Since a proportion is an equation with rational expressions, we will solve proportions the same way we solved rational equations. We’ll multiply both sides of the equation by the LCD to clear the fractions and then solve the resulting equation.

Example 7.43

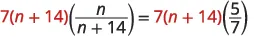
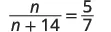
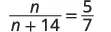
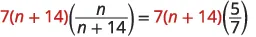
Solve: nn+14=57.nn+14=57.

Try It 7.85

Solve the proportion: yy+55=38.yy+55=38.

Try It 7.86

Solve the proportion: zz84=15.zz84=15.

Notice in the last example that when we cleared the fractions by multiplying by the LCD, the result is the same as if we had cross-multiplied.

The equation n divided by the quantity n plus 14 is equal to 5 divided by 7 can be solved by multiplying each side by the least common denominator, 7 times the quantity n plus 14. Multiplying by the least common denominator is a way to clear the fractions. The result is 7 n is equal to 5 times the quantity n plus 14. The equation n divided by the quantity n plus 14 is equal to 5 divided by 7 can also be solved using cross multiplication. Multiply n and 7. Multiply the quantity n plus 14 and 5. The result is also 7 n is equal to 5 times the quantity n plus 14. Cross multiplication also clears fractions.

For any proportion, ab=cd,ab=cd, we get the same result when we clear the fractions by multiplying by the LCD as when we cross-multiply.

Multiply each side of a proportion a divided by b is equal to c divided by d by the least common denominator, b d, to clear the fractions. The result is a d is equal to b c. Cross multiply to clear the fractions in the proportion a divided by b is equal to c divided by d. The cross products are a times d and b times c. The result is also a d is equal to b c.

To solve applications with proportions, we will follow our usual strategy for solving applications But when we set up the proportion, we must make sure to have the units correct—the units in the numerators must match each other and the units in the denominators must also match each other.

Example 7.44

When pediatricians prescribe acetaminophen to children, they prescribe 5 milliliters (ml) of acetaminophen for every 25 pounds of the child’s weight. If Zoe weighs 80 pounds, how many milliliters of acetaminophen will her doctor prescribe?

Try It 7.87

Pediatricians prescribe 5 milliliters (ml) of acetaminophen for every 25 pounds of a child’s weight. How many milliliters of acetaminophen will the doctor prescribe for Emilia, who weighs 60 pounds?

Try It 7.88

For every 1 kilogram (kg) of a child’s weight, pediatricians prescribe 15 milligrams (mg) of a fever reducer. If Isabella weighs 12 kg, how many milligrams of the fever reducer will the pediatrician prescribe?

Solve similar figure applications

When you shrink or enlarge a photo on a phone or tablet, figure out a distance on a map, or use a pattern to build a bookcase or sew a dress, you are working with similar figures. If two figures have exactly the same shape, but different sizes, they are said to be similar. One is a scale model of the other. All their corresponding angles have the same measures and their corresponding sides have the same ratio.

Similar Figures

Two figures are similar if the measures of their corresponding angles are equal and their corresponding sides have the same ratio.

For example, the two triangles in Figure 7.2 are similar. Each side of ΔABCΔABC is four times the length of the corresponding side of ΔXYZ.ΔXYZ.

The first figure is triangle A B C with side A B 12 units long, side B C 16 units long, and side A C 20 units long. The second figure is triangle X Y Z with side X Y 3 units long, side Y X 4 units long, and side X Z is 5 units long. The measure of angle A is equal to the measure of angle X. The measure of angle B is equal to the measure of angle Y. The measure of angle C is equal to the measure of angle Z. 16 divided by 4 is equal to 20 divided 5 is equal to 12 divided by 3.
Figure 7.2

This is summed up in the Property of Similar Triangles.

Property of Similar Triangles

If ΔABCΔABC is similar to ΔXYZ,ΔXYZ, then their corresponding angle measure are equal and their corresponding sides have the same ratio.

The first figure is triangle A B C with side A B c units long, side B C a units long, and side A C b units long. The second figure is triangle X Y Z with side X Y x units long, side Y Z x units long, and side X Z y units long. The measure of angle A is equal to the measure of angle X. The measure of angle B is equal to the measure of angle Y. The measure of angle C is equal to the measure of angle Z. a divided by x is equal to b divided by y is equal to c divided by z.

To solve applications with similar figures we will follow the Problem-Solving Strategy for Geometry Applications we used earlier.

Example 7.45

On a map, San Francisco, Las Vegas, and Los Angeles form a triangle. The distance between the cities is measured in inches. The figure on the left below represents the triangle formed by the cities on the map. If the actual distance from Los Angeles to Las Vegas is 270 miles, find the distance from Los Angeles to San Francisco.

The first figure is a triangle labeled “Distances on map.” The triangle is formed by San Francisco, Las Vegas, and Los Angeles. The distance between San Francisco and Las Vegas is 2.1 inches. The distance between Las Vegas and Los Angeles is 1 inch. The distance between Los Angeles and San Francisco is 1.3 inches. The second figure is a triangle labeled “Actual Distances.” The triangle is formed by San Francisco, Las Vegas, and Los Angeles. The distance between Las Vegas and Los Angeles is 270 miles. The distance between Los Angeles and San Francisco is labeled x.

On the map, Seattle, Portland, and Boise form a triangle. The distance between the cities is measured in inches. The figure on the left below represents the triangle formed by the cities on the map. The actual distance from Seattle to Boise is 400 miles.

The figure is a triangle formed by Portland, Seattle, and Boise. The distance between Portland and Seattle is 1.5 inches. The distance between Seattle and Boise is 4 inches. The distance between Boise and Portland is 3.5 inches.

Try It 7.89

Find the actual distance from Seattle to Portland.

Try It 7.90

Find the actual distance from Portland to Boise.

We can use similar figures to find heights that we cannot directly measure.

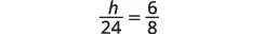
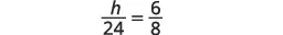
Example 7.46

Tyler is 6 feet tall. Late one afternoon, his shadow was 8 feet long. At the same time, the shadow of a tree was 24 feet long. Find the height of the tree.

Try It 7.91

A telephone pole casts a shadow that is 50 feet long. Nearby, an 8 foot tall traffic sign casts a shadow that is 10 feet long. How tall is the telephone pole?

Try It 7.92

A pine tree casts a shadow of 80 feet next to a 30 foot tall building which casts a 40 feet shadow. How tall is the pine tree?

Solve Uniform Motion Applications

We have solved uniform motion problems using the formula D=rtD=rt in previous chapters. We used a table like the one below to organize the information and lead us to the equation.

This chart has two columns and three rows. The first row is a header row and the second column is labeled “Rate times Time is equal to Distance.” There is nothing in the rest of the chart.

The formula D=rtD=rt assumes we know r and t and use them to find D. If we know D and r and need to find t, we would solve the equation for t and get the formula t=Dr.t=Dr.

We have also explained how flying with or against the wind affects the speed of a plane. We will revisit that idea in the next example.

Example 7.47

An airplane can fly 200 miles into a 30 mph headwind in the same amount of time it takes to fly 300 miles with a 30 mph tailwind. What is the speed of the airplane?

Try It 7.93

Link has an electric bike which runs at a constant speed. That speed will be reduced by the amount of any headwind and increased by the amount of any tailwind. Link can ride his bike 20 miles into a 3 mph headwind in the same amount of time he can ride 30 miles with a 3 mph tailwind. What is Link’s biking speed?

Try It 7.94

On a river that flows at 7 miles per hour, Danica can take a motorboat 5 miles upstream, in the same amount of time she can take her motorboat 12 miles downstream. How fast is Danica's boat in a lake?

In the next example, we will know the total time resulting from travelling different distances at different speeds.

Example 7.48

Jazmine trained for 3 hours on Saturday. She ran 8 miles and then biked 24 miles. Her biking speed is 4 mph faster than her running speed. What is her running speed?

Try It 7.95

Dennis went cross-country skiing for 6 hours on Saturday. He skied 20 mile uphill and then 20 miles back downhill, returning to his starting point. His uphill speed was 5 mph slower than his downhill speed. What was Dennis’ speed going uphill and his speed going downhill?

Try It 7.96

Joon drove 4 hours to his home, driving 208 miles on the interstate and 40 miles on country roads. If he drove 15 mph faster on the interstate than on the country roads, what was his rate on the country roads?

Once again, we will use the uniform motion formula solved for the variable t.t.

Example 7.49

Hamilton rode his bike downhill 12 miles on the river trail from his house to the ocean and then rode uphill to return home. His uphill speed was 8 miles per hour slower than his downhill speed. It took him 2 hours longer to get home than it took him to get to the ocean. Find Hamilton’s downhill speed.

Try It 7.97

Kayla rode her bike 75 miles home from college one weekend and then rode the bus back to college. It took her 2 hours less to ride back to college on the bus than it took her to ride home on her bike, and the average speed of the bus was 10 miles per hour faster than Kayla’s biking speed. Find Kayla’s biking speed.

Try It 7.98

Victoria jogs 12 miles to the park along a flat trail and then returns by jogging on an 20 mile hilly trail. She jogs 1 mile per hour slower on the hilly trail than on the flat trail, and her return trip takes her two hours longer. Find her rate of jogging on the flat trail.

Solve Work Applications

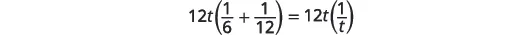
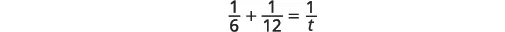
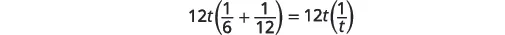
The weekly gossip magazine has a big story about the Princess’ baby and the editor wants the magazine to be printed as soon as possible. She has asked the printer to run an extra printing press to get the printing done more quickly. Press #1 takes 6 hours to do the job and Press #2 takes 12 hours to do the job. How long will it take the printer to get the magazine printed with both presses running together?

This is a typical ‘work’ application. There are three quantities involved here—the time it would take each of the two presses to do the job alone and the time it would take for them to do the job together.

If Press #1 can complete the job in 6 hours, in one hour it would complete 1616 of the job.

If Press #2 can complete the job in 12 hours, in one hour it would complete 112112 of the job.

We will let t be the number of hours it would take the presses to print the magazines with both presses running together. So in 1 hour working together they have completed 1t1t of the job.

We can model this with the word equation and then translate to a rational equation. To find the time it would take the presses to complete the job if they worked together, we solve for t.t.

A chart will help us organize the information. We are looking for how many hours it would take to complete the job with both presses running together.

Let t = the number of hours needed to
complete the job together.
Enter the hours per job for Press #1,
Press #2, and when they work together.

If a job on Press #1 takes 6 hours, then in 1 hour 1616 of the job is completed.

Similarly find the part of the job completed/hours for Press #2 and when thet both together.

Write a word sentence.
.
The part completed by Press #1 plus the part completed by Press #2 equals the amount completed together.
Translate into an equation. .
Solve. .
Mutiply by the LCD, 12t .
Simplify. .
When both presses are running it
takes 4 hours to do the job.

Keep in mind, it should take less time for two presses to complete a job working together than for either press to do it alone.

Example 7.50

Suppose Pete can paint a room in 10 hours. If he works at a steady pace, in 1 hour he would paint 110110 of the room. If Alicia would take 8 hours to paint the same room, then in 1 hour she would paint 1818 of the room. How long would it take Pete and Alicia to paint the room if they worked together (and didn’t interfere with each other’s progress)?

Try It 7.99

One gardener can mow a golf course in 4 hours, while another gardener can mow the same golf course in 6 hours. How long would it take if the two gardeners worked together to mow the golf course?

Try It 7.100

Daria can weed the garden in 7 hours, while her mother can do it in 3. How long will it take the two of them working together?

Example 7.51

Ra’shon can clean the house in 7 hours. When his sister helps him it takes 3 hours. How long does it take his sister when she cleans the house alone?

Try It 7.101

Alice can paint a room in 6 hours. If Kristina helps her it takes them 4 hours to paint the room. How long would it take Kristina to paint the room by herself?

Try It 7.102

Tracy can lay a slab of concrete in 3 hours, with Jordan’s help they can do it in 2 hours. If Jordan works alone, how long will it take?

Solve Direct Variation Problems

When two quantities are related by a proportion, we say they are proportional to each other. Another way to express this relation is to talk about the variation of the two quantities. We will discuss direct variation and inverse variation in this section.

Lindsay gets paid $15 per hour at her job. If we let s be her salary and h be the number of hours she has worked, we could model this situation with the equation

s=15hs=15h

Lindsay’s salary is the product of a constant, 15, and the number of hours she works. We say that Lindsay’s salary varies directly with the number of hours she works. Two variables vary directly if one is the product of a constant and the other.

Direct Variation

For any two variables x and y, y varies directly with x if

y=kx,wherek0y=kx,wherek0

The constant k is called the constant of variation.

In applications using direct variation, generally we will know values of one pair of the variables and will be asked to find the equation that relates x and y. Then we can use that equation to find values of y for other values of x.

We’ll list the steps here.

How To

Solve direct variation problems.

  1. Step 1. Write the formula for direct variation.
  2. Step 2. Substitute the given values for the variables.
  3. Step 3. Solve for the constant of variation.
  4. Step 4. Write the equation that relates x and y using the constant of variation.

Now we’ll solve an application of direct variation.

Example 7.52

When Raoul runs on the treadmill at the gym, the number of calories, c, he burns varies directly with the number of minutes, m, he uses the treadmill. He burned 315 calories when he used the treadmill for 18 minutes.

Write the equation that relates c and m. How many calories would he burn if he ran on the treadmill for 25 minutes?

Try It 7.103

The number of calories, c, burned varies directly with the amount of time, t, spent exercising. Arnold burned 312 calories in 65 minutes exercising.

Write the equation that relates c and t. How many calories would he burn if he exercises for 90 minutes?

Try It 7.104

The distance a moving body travels, d, varies directly with time, t, it moves. A train travels 100 miles in 2 hours

Write the equation that relates d and t. How many miles would it travel in 5 hours?

Solve Inverse Variation Problems

Many applications involve two variable that vary inversely. As one variable increases, the other decreases. The equation that relates them is y=kx.y=kx.

Inverse Variation

For any two variables x and y, y varies inversely with x if

y=kx,wherek0y=kx,wherek0

The constant k is called the constant of variation.

The word ‘inverse’ in inverse variation refers to the multiplicative inverse. The multiplicative inverse of x is 1x.1x.

We solve inverse variation problems in the same way we solved direct variation problems. Only the general form of the equation has changed. We will copy the procedure box here and just change ‘direct’ to ‘inverse’.

How To

Solve inverse variation problems.

  1. Step 1. Write the formula for inverse variation.
  2. Step 2. Substitute the given values for the variables.
  3. Step 3. Solve for the constant of variation.
  4. Step 4. Write the equation that relates x and y using the constant of variation.

Example 7.53

The frequency of a guitar string varies inversely with its length. A 26 in.-long string has a frequency of 440 vibrations per second.

Write the equation of variation. How many vibrations per second will there be if the string’s length is reduced to 20 inches by putting a finger on a fret?

Try It 7.105

The number of hours it takes for ice to melt varies inversely with the air temperature. Suppose a block of ice melts in 2 hours when the temperature is 65 degrees Celsius.

Write the equation of variation. How many hours would it take for the same block of ice to melt if the temperature was 78 degrees?

Try It 7.106

Xander’s new business found that the daily demand for its product was inversely proportional to the price, p.p. When the price is $5, the demand is 700 units.

Write the equation of variation. What is the demand if the price is raised to $7?

Media

Access this online resource for additional instruction and practice with applications of rational expressions

Section 7.5 Exercises

Practice Makes Perfect

Solve Proportions

In the following exercises, solve each proportion.

253.

x 56 = 7 8 x 56 = 7 8

254.

56 72 = y 9 56 72 = y 9

255.

98 154 = −7 p 98 154 = −7 p

256.

72 156 = −6 q 72 156 = −6 q

257.

a a + 12 = 4 7 a a + 12 = 4 7

258.

b b 16 = 11 9 b b 16 = 11 9

259.

m + 90 25 = m + 30 15 m + 90 25 = m + 30 15

260.

n + 10 4 = 40 n 6 n + 10 4 = 40 n 6

261.

2 p + 4 8 = p + 18 6 2 p + 4 8 = p + 18 6

262.

q 2 2 = 2 q 7 18 q 2 2 = 2 q 7 18

In the following exercises, solve.

263.

Kevin wants to keep his heart rate at 160 beats per minute while training. During his workout he counts 27 beats in 10 seconds.

How many beats per minute is this? Has Kevin met his target heart rate?

264.

Jesse’s car gets 30 miles per gallon of gas.

If Las Vegas is 285 miles away, how many gallons of gas are needed to get there and then home? If gas is $3.09 per gallon, what is the total cost of the gas for the trip?

265.

Pediatricians prescribe 5 milliliters (ml) of acetaminophen for every 25 pounds of a child’s weight. How many milliliters of acetaminophen will the doctor prescribe for Jocelyn, who weighs 45 pounds?

266.

A veterinarian prescribed Sunny, a 65-pound dog, an antibacterial medicine in case an infection emerges after her teeth were cleaned. If the dosage is 5 mg for every pound, how much medicine was Sunny given?

267.

A new energy drink advertises 106 calories for 8 ounces. How many calories are in 12 ounces of the drink?

268.

One 12-ounce can of soda has 150 calories. If Josiah drinks the big 32-ounce size from the local mini-mart, how many calories does he get?

269.

Kyra is traveling to Canada and will change $250 US dollars into Canadian dollars. At the current exchange rate, $1 US is equal to $1.3 Canadian. How many Canadian dollars will she get for her trip?

270.

Maurice is traveling to Mexico and needs to exchange $450 into Mexican pesos. If each dollar is worth 12.29 pesos, how many pesos will he get for his trip?

271.

Ronald needs a morning breakfast drink that will give him at least 390 calories. Orange juice has 130 calories in one cup. How many cups does he need to drink to reach his calorie goal?

272.

Sonya drinks a 32-ounce energy drink containing 80 calories per 12 ounce. How many calories did she drink?

273.

Phil wants to fertilize his lawn. Each bag of fertilizer covers about 4,000 square feet of lawn. Phil’s lawn is approximately 13,500 square feet. How many bags of fertilizer will he have to buy?

274.

An oatmeal cookie recipe calls for 1212 cup of butter to make 4 dozen cookies. Hilda needs to make 10 dozen cookies for the bake sale. How many cups of butter will she need?

Solve Similar Figure Applications

In the following exercises, the triangles are similar. Find the length of the indicated side.

275.


The first figure is triangle A B C with side A B 15 units long, side B C 9 units long, and side A C b units long. The second figure is triangle X Y Z with side X Y 10 units long, side Y Z x units long, and side X Z 8 units long.

side x side b

276.


The first figure is triangle DEF with side D E 5 halves units long, side E F d units long, and side D F 1 unit long. The second figure is triangle N P Q with side N P q units long, side P Q 11 halves units long, and side N Q 9 units long.

side d side q

In the following exercises, use the map shown. On the map, New York City, Chicago, and Memphis form a triangle. The actual distance from New York to Chicago is 800 miles.

The figure is a triangle formed by Memphis, Chicago, and New York. The distance between Memphis and Chicago is 5.4 inches. The distance between Chicago and New York is 8 inches. The distance between New York and Memphis is 9.5 inches.
277.

Find the actual distance from New York to Memphis.

278.

Find the actual distance from Chicago to Memphis.

In the following exercises, use the map shown. On the map, Atlanta, Miami, and New Orleans form a triangle. The actual distance from Atlanta to New Orleans is 420 miles.

The figure is a triangle formed by New Orleans, Atlanta, and Miami. The distance between New Orleans and Atlanta is 2.1 inches. The distance between Atlanta and Miami is 3 inches. The distance between Miami and New Orleans is 3.4 inches.
279.

Find the actual distance from New Orleans to Miami.

280.

Find the actual distance from Atlanta to Miami.

In the following exercises, answer each question.

281.

A 2-foot-tall dog casts a 3-foot shadow at the same time a cat casts a one foot shadow. How tall is the cat ?

282.

Larry and Tom were standing next to each other in the backyard when Tom challenged Larry to guess how tall he was. Larry knew his own height is 6.5 feet and when they measured their shadows, Larry’s shadow was 8 feet and Tom’s was 7.75 feet long. What is Tom’s height?

283.

The tower portion of a windmill is 212 feet tall. A six foot tall person standing next to the tower casts a seven-foot shadow. How long is the windmill’s shadow?

284.

The height of the Statue of Liberty is 305 feet. Nikia, who is standing next to the statue, casts a 6-foot shadow and she is 5 feet tall. How long should the shadow of the statue be?

Solve Uniform Motion Applications

In the following exercises, solve the application problem provided.

285.

Mary takes a sightseeing tour on a helicopter that can fly 450 miles against a 35-mph headwind in the same amount of time it can travel 702 miles with a 35-mph tailwind. Find the speed of the helicopter.

286.

A private jet can fly 1,210 miles against a 25-mph headwind in the same amount of time it can fly 1694 miles with a 25-mph tailwind. Find the speed of the jet.

287.

A boat travels 140 miles downstream in the same time as it travels 92 miles upstream. The speed of the current is 6mph. What is the speed of the boat?

288.

Darrin can skateboard 2 miles against a 4-mph wind in the same amount of time he skateboards 6 miles with a 4-mph wind. Find the speed Darrin skateboards with no wind.

289.

Jane spent 2 hours exploring a mountain with a dirt bike. First, she rode 40 miles uphill. After she reached the peak she rode for 12 miles along the summit. While going uphill, she went 5 mph slower than when she was on the summit. What was her rate along the summit?

290.

Laney wanted to lose some weight so she planned a day of exercising. She spent a total of 2 hours riding her bike and jogging. She biked for 12 miles and jogged for 6 miles. Her rate for jogging was 10 mph less than biking rate. What was her rate when jogging?

291.

Byron wanted to try out different water craft. He went 62 miles downstream in a motor boat and 27 miles downstream on a jet ski. His speed on the jet ski was 10 mph faster than in the motor boat. Bill spent a total of 4 hours on the water. What was his rate of speed in the motor boat?

292.

Nancy took a 3-hour drive. She went 50 miles before she got caught in a storm. Then she drove 68 miles at 9 mph less than she had driven when the weather was good. What was her speed driving in the storm?

293.

Chester rode his bike uphill 24 miles and then back downhill at 2 mph faster than his uphill. If it took him 2 hours longer to ride uphill than downhill, what was his uphill rate?

294.

Matthew jogged to his friend’s house 12 miles away and then got a ride back home. It took him 2 hours longer to jog there than ride back. His jogging rate was 25 mph slower than the rate when he was riding. What was his jogging rate?

295.

Hudson travels 1080 miles in a jet and then 240 miles by car to get to a business meeting. The jet goes 300 mph faster than the rate of the car, and the car ride takes 1 hour longer than the jet. What is the speed of the car?

296.

Nathan walked on an asphalt pathway for 12 miles. He walked the 12 miles back to his car on a gravel road through the forest. On the asphalt he walked 2 miles per hour faster than on the gravel. The walk on the gravel took one hour longer than the walk on the asphalt. How fast did he walk on the gravel.

297.

John can fly his airplane 2800 miles with a wind speed of 50 mph in the same time he can travel 2400 miles against the wind. If the speed of the wind is 50 mph, find the speed of his airplane.

298.

Jim’s speedboat can travel 20 miles upstream against a 3-mph current in the same amount of time it travels 22 miles downstream with a 3-mph current speed . Find the speed of the Jim’s boat.

299.

Hazel needs to get to her granddaughter’s house by taking an airplane and a rental car. She travels 900 miles by plane and 250 miles by car. The plane travels 250 mph faster than the car. If she drives the rental car for 2 hours more than she rode the plane, find the speed of the car.

300.

Stu trained for 3 hours yesterday. He ran 14 miles and then biked 40 miles. His biking speed is 6 mph faster than his running speed. What is his running speed?

301.

When driving the 9-hour trip home, Sharon drove 390 miles on the interstate and 150 miles on country roads. Her speed on the interstate was 15 more than on country roads. What was her speed on country roads?

302.

Two sisters like to compete on their bike rides. Tamara can go 4 mph faster than her sister, Samantha. If it takes Samantha 1 hours longer than Tamara to go 80 miles, how fast can Samantha ride her bike?

303.

Dana enjoys taking her dog for a walk, but sometimes her dog gets away, and she has to run after him. Dana walked her dog for 7 miles but then had to run for 1 mile, spending a total time of 2.5 hours with her dog. Her running speed was 3 mph faster than her walking speed. Find her walking speed.

304.

Ken and Joe leave their apartment to go to a football game 45 miles away. Ken drives his car 30 mph faster Joe can ride his bike. If it takes Joe 2 hours longer than Ken to get to the game, what is Joe’s speed?

Solve Work Applications

305.

Mike, an experienced bricklayer, can build a wall in 3 hours, while his son, who is learning, can do the job in 6 hours. How long does it take for them to build a wall together?

306.

It takes Sam 4 hours to rake the front lawn while his brother, Dave, can rake the lawn in 2 hours. How long will it take them to rake the lawn working together?

307.

Mia can clean her apartment in 6 hours while her roommate can clean the apartment in 5 hours. If they work together, how long would it take them to clean the apartment?

308.

Brian can lay a slab of concrete in 6 hours, while Greg can do it in 4 hours. If Brian and Greg work together, how long will it take?

309.

Josephine can correct her students test papers in 5 hours, but if her teacher’s assistant helps, it would take them 3 hours. How long would it take the assistant to do it alone?

310.

Washing his dad’s car alone, eight year old Levi takes 2.5 hours. If his dad helps him, then it takes 1 hour. How long does it take Levi’s dad to wash the car by himself?

311.

At the end of the day Dodie can clean her hair salon in 15 minutes. Ann, who works with her, can clean the salon in 30 minutes. How long would it take them to clean the shop if they work together?

312.

Ronald can shovel the driveway in 4 hours, but if his brother Donald helps it would take 2 hours. How long would it take Donald to shovel the driveway alone?

Solve Direct Variation Problems

In the following exercises, solve.

313.

If yy varies directly as xx and y=14,y=14, when x=3.x=3. find the equation that relates xx and y.y.

314.

If aa varies directly as bb and a=16,a=16, when b=4.b=4. find the equation that relates aa and b.b.

315.

If pp varies directly as qq and p=9.6,p=9.6, when q=3.q=3. find the equation that relates pp and q.q.

316.

If vv varies directly as ww and v=8,v=8, when w=12.w=12. find the equation that relates vv and w.w.

317.

The price, P,P, that Eric pays for gas varies directly with the number of gallons, g,g, he buys. It costs him $50 to buy 20 gallons of gas.

Write the equation that relates PP and g.g. How much would 33 gallons cost Eric?

318.

Joseph is traveling on a road trip. The distance, d,d, he travels before stopping for lunch varies directly with the speed, v,v, he travels. He can travel 120 miles at a speed of 60 mph.

Write the equation that relates dd and v.v. How far would he travel before stopping for lunch at a rate of 65 mph?

319.

The mass of a liquid varies directly with its volume. A liquid with mass 16 kilograms has a volume of 2 liters.

Write the equation that relates the mass to the volume. What is the volume of this liquid if its mass is 128 kilograms?

320.

The length that a spring stretches varies directly with a weight placed at the end of the spring. When Sarah placed a 10-pound watermelon on a hanging scale, the spring stretched 5 inches.

Write the equation that relates the length of the spring to the weight. What weight of watermelon would stretch the spring 6 inches?

321.

The maximum load a beam will support varies directly with the square of the diagonal of the beam’s cross-section. A beam with diagonal 6 inch will support a maximum load of 108 pounds.

Write the equation that relates the load to the diagonal of the cross-section. What load will a beam with a 10-inch diagonal support?

322.

The area of a circle varies directly as the square of the radius. A circular pizza with a radius of 6 inches has an area of 113.04 square inches.

Write the equation that relates the area to the radius. What is the area of a personal pizza with a radius 4 inches?

Solve Inverse Variation Problems

In the following exercises, solve.

323.

If yy varies inversely with xx and y=5y=5 when x=4,x=4, find the equation that relates xx and y.y.

324.

If pp varies inversely with qq and p=2p=2 when q=1q=1, find the equation that relates pp and q.q.

325.

If vv varies inversely with ww and v=6v=6 when w=12,w=12, find the equation that relates vv and w.w.

326.

If aa varies inversely with bb and a=12a=12 when b=13,b=13, find the equation that relates aa and b.b.

In the following exercises, write an inverse variation equation to solve the following problems.

327.

The fuel consumption (mpg) of a car varies inversely with its weight. A Toyota Corolla weighs 2800 pounds getting 33 mpg on the highway.

Write the equation that relates the mpg to the car’s weight. What would the fuel consumption be for a Toyota Sequoia that weighs 5500 pounds?

328.

A car’s value varies inversely with its age. Jackie bought a 10-year-old car for $2,400.

Write the equation that relates the car’s value to its age. What will be the value of Jackie’s car when it is 15 years old?

329.

The time required to empty a tank varies inversely as the rate of pumping. It took Ada 5 hours to pump her flooded basement using a pump that was rated at 200 gpm (gallons per minute).

Write the equation that relates the number of hours to the pump rate. How long would it take Ada to pump her basement if she used a pump rated at 400 gpm?

330.

On a string instrument, the length of a string varies inversely as the frequency of its vibrations. An 11-inch string on a violin has a frequency of 400 cycles per second.

Write the equation that relates the string length to its frequency. What is the frequency of a 10 inch string?

331.

Paul, a dentist, determined that the number of cavities that develops in his patient’s mouth each year varies inversely to the number of minutes spent brushing each night. His patient, Lori, had four cavities when brushing her teeth 30 seconds (0.5 minutes) each night.

Write the equation that relates the number of cavities to the time spent brushing. How many cavities would Paul expect Lori to have if she had brushed her teeth for 2 minutes each night?

332.

Boyle’s law states that if the temperature of a gas stays constant, then the pressure varies inversely to the volume of the gas. Braydon, a scuba diver, has a tank that holds air under a pressure of 220 psi.

Write the equation that relates pressure to volume. If the pressure increases to 330 psi, how much air can Braydon’s tank hold?

333.

The cost of a ride service varies directly with the distance traveled. It costs $35 for a ride from the city center to the airport, 14 miles away.

Write the equation that relates the cost, c, with the number of miles, m.m. What would it cost to travel 22 miles with this service?

334.

The number of hours it takes Jack to drive from Boston to Bangor is inversely proportional to his average driving speed. When he drives at an average speed of 40 miles per hour, it takes him 6 hours for the trip.

Write the equation that relates the number of hours, h,h, with the speed, s.s. How long would the trip take if his average speed was 75 miles per hour?

Writing Exercises

335.

Marisol solves the proportion 144a=94144a=94 by ‘cross multiplying,’ so her first step looks like 4·144=9·a.4·144=9·a. Explain how this differs from the method of solution shown in Example 7.44.

336.

Paula and Yuki are roommates. It takes Paula 3 hours to clean their apartment. It takes Yuki 4 hours to clean the apartment. The equation 13+14=1t13+14=1t can be used to find t, the number of hours it would take both of them, working together, to clean their apartment. Explain how this equation models the situation.

337.

In your own words, explain the difference between direct variation and inverse variation.

338.

Make up an example from your life experience of inverse variation.

Self Check

After completing the exercises, use this checklist to evaluate your mastery of the objectives of this section.

This table has four columns and seven rows. The first row is a header and it labels each column, “I can…”, “Confidently,” “With some help,” and “No-I don’t get it!” In row 2, the I can was solve proportions. In row 3, the I can was solve similar figure applications. In row 4, the I can was solve uniform motion applications. In row 5, the I can was solve work applications. In row 6, the I can was solve direct variation problems. In row 7, the I can was solve inverse variation problems.

After looking at the checklist, do you think you are well-prepared for the next section? Why or why not?

Citation/Attribution

This book may not be used in the training of large language models or otherwise be ingested into large language models or generative AI offerings without OpenStax's permission.

Want to cite, share, or modify this book? This book uses the Creative Commons Attribution License and you must attribute OpenStax.

Attribution information
  • If you are redistributing all or part of this book in a print format, then you must include on every physical page the following attribution:

    Access for free at https://openstax.org/books/intermediate-algebra-2e/pages/1-introduction

  • If you are redistributing all or part of this book in a digital format, then you must include on every digital page view the following attribution:

    Access for free at https://openstax.org/books/intermediate-algebra-2e/pages/1-introduction

Citation information

© Jul 8, 2025 OpenStax. Textbook content produced by OpenStax is licensed under a Creative Commons Attribution License . The OpenStax name, OpenStax logo, OpenStax book covers, OpenStax CNX name, and OpenStax CNX logo are not subject to the Creative Commons license and may not be reproduced without the prior and express written consent of Rice University.