Skip to ContentGo to accessibility pageKeyboard shortcuts menu
OpenStax Logo
Intermediate Algebra 2e

7.3 Simplify Complex Rational Expressions

Intermediate Algebra 2e7.3 Simplify Complex Rational Expressions
Search for key terms or text.

Learning Objectives

By the end of this section, you will be able to:

  • Simplify a complex rational expression by writing it as division
  • Simplify a complex rational expression by using the LCD

Be Prepared 7.7

Before you get started, take this readiness quiz.

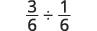
Simplify: 35910.35910.
If you missed this problem, review Example 1.27.

Be Prepared 7.8

Simplify: 11342+4·5.11342+4·5.
If you missed this problem, review Example 1.31.

Be Prepared 7.9

Solve: 12x+14=18.12x+14=18.
If you missed this problem, review Example 2.9.

Simplify a Complex Rational Expression by Writing it as Division

Complex fractions are fractions in which the numerator or denominator contains a fraction. We previously simplified complex fractions like these:

3458x2xy63458x2xy6

In this section, we will simplify complex rational expressions, which are rational expressions with rational expressions in the numerator or denominator.

Complex Rational Expression

A complex rational expression is a rational expression in which the numerator and/or the denominator contains a rational expression.

Here are a few complex rational expressions:

4y38y291x+1yxyyx2x+64x64x2364y38y291x+1yxyyx2x+64x64x236

Remember, we always exclude values that would make any denominator zero.

We will use two methods to simplify complex rational expressions.

We have already seen this complex rational expression earlier in this chapter.

6x27x+24x82x28x+3x25x+66x27x+24x82x28x+3x25x+6

We noted that fraction bars tell us to divide, so rewrote it as the division problem:

(6x27x+24x8)÷(2x28x+3x25x+6).(6x27x+24x8)÷(2x28x+3x25x+6).

Then, we multiplied the first rational expression by the reciprocal of the second, just like we do when we divide two fractions.

This is one method to simplify complex rational expressions. We make sure the complex rational expression is of the form where one fraction is over one fraction. We then write it as if we were dividing two fractions.

Example 7.24

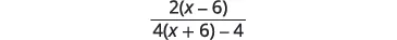
Simplify the complex rational expression by writing it as division: 6x43x216.6x43x216.

Try It 7.47

Simplify the complex rational expression by writing it as division: 2x213x+1.2x213x+1.

Try It 7.48

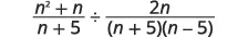
Simplify the complex rational expression by writing it as division: 1x27x+122x4.1x27x+122x4.

Fraction bars act as grouping symbols. So to follow the Order of Operations, we simplify the numerator and denominator as much as possible before we can do the division.

Example 7.25

Simplify the complex rational expression by writing it as division: 13+161213.13+161213.

Try It 7.49

Simplify the complex rational expression by writing it as division: 12+2356+112.12+2356+112.

Try It 7.50

Simplify the complex rational expression by writing it as division: 341318+56.341318+56.

We follow the same procedure when the complex rational expression contains variables.

Example 7.26

How to Simplify a Complex Rational Expression using Division

Simplify the complex rational expression by writing it as division: 1x+1yxyyx.1x+1yxyyx.

Try It 7.51

Simplify the complex rational expression by writing it as division: 1x+1y1x1y.1x+1y1x1y.

Try It 7.52

Simplify the complex rational expression by writing it as division: 1a+1b1a21b21a+1b1a21b2.

We summarize the steps here.

How To

Simplify a complex rational expression by writing it as division.

  1. Step 1. Simplify the numerator and denominator.
  2. Step 2. Rewrite the complex rational expression as a division problem.
  3. Step 3. Divide the expressions.

Example 7.27

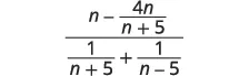
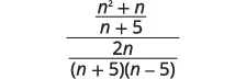
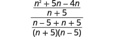
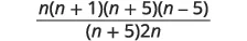
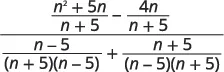
Simplify the complex rational expression by writing it as division: n4nn+51n+5+1n5.n4nn+51n+5+1n5.

Try It 7.53

Simplify the complex rational expression by writing it as division: b3bb+52b+5+1b5.b3bb+52b+5+1b5.

Try It 7.54

Simplify the complex rational expression by writing it as division: 13c+41c+4+c3.13c+41c+4+c3.

Simplify a Complex Rational Expression by Using the LCD

We “cleared” the fractions by multiplying by the LCD when we solved equations with fractions. We can use that strategy here to simplify complex rational expressions. We will multiply the numerator and denominator by the LCD of all the rational expressions.

Let’s look at the complex rational expression we simplified one way in Example 7.25. We will simplify it here by multiplying the numerator and denominator by the LCD. When we multiply by LCDLCDLCDLCD we are multiplying by 1, so the value stays the same.

Example 7.28

Simplify the complex rational expression by using the LCD: 13+161213.13+161213.

Try It 7.55

Simplify the complex rational expression by using the LCD: 12+15110+15.12+15110+15.

Try It 7.56

Simplify the complex rational expression by using the LCD: 14+3812516.14+3812516.

We will use the same example as in Example 7.26. Decide which method works better for you.

Example 7.29

How to Simplify a Complex Rational Expressing using the LCD

Simplify the complex rational expression by using the LCD: 1x+1yxyyx.1x+1yxyyx.

Try It 7.57

Simplify the complex rational expression by using the LCD: 1a+1bab+ba.1a+1bab+ba.

Try It 7.58

Simplify the complex rational expression by using the LCD: 1x21y21x+1y.1x21y21x+1y.

How To

Simplify a complex rational expression by using the LCD.

  1. Step 1. Find the LCD of all fractions in the complex rational expression.
  2. Step 2. Multiply the numerator and denominator by the LCD.
  3. Step 3. Simplify the expression.

Be sure to start by factoring all the denominators so you can find the LCD.

Example 7.30

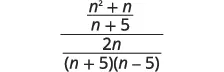
Simplify the complex rational expression by using the LCD: 2x+64x64x236.2x+64x64x236.

Try It 7.59

Simplify the complex rational expression by using the LCD: 3x+25x23x24.3x+25x23x24.

Try It 7.60

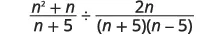
Simplify the complex rational expression by using the LCD: 2x71x+76x+71x249.2x71x+76x+71x249.

Be sure to factor the denominators first. Proceed carefully as the math can get messy!

Example 7.31

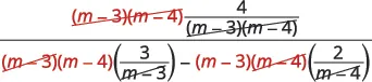
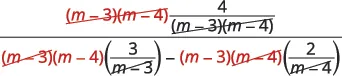
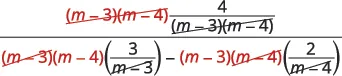
Simplify the complex rational expression by using the LCD: 4m27m+123m32m4.4m27m+123m32m4.

Try It 7.61

Simplify the complex rational expression by using the LCD: 3x2+7x+104x+2+1x+5.3x2+7x+104x+2+1x+5.

Try It 7.62

Simplify the complex rational expression by using the LCD: 4yy+5+2y+63yy2+11y+30.4yy+5+2y+63yy2+11y+30.

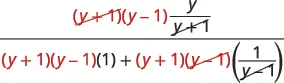
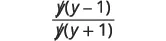
Example 7.32

Simplify the complex rational expression by using the LCD: yy+11+1y1.yy+11+1y1.

Try It 7.63

Simplify the complex rational expression by using the LCD: xx+31+1x+3.xx+31+1x+3.

Try It 7.64

Simplify the complex rational expression by using the LCD: 1+1x13x+1.1+1x13x+1.

Media

Access this online resource for additional instruction and practice with complex fractions.

Section 7.3 Exercises

Practice Makes Perfect

Simplify a Complex Rational Expression by Writing it as Division

In the following exercises, simplify each complex rational expression by writing it as division.

151.

2 a a + 4 4 a 2 a 2 16 2 a a + 4 4 a 2 a 2 16

152.

3 b b 5 b 2 b 2 25 3 b b 5 b 2 b 2 25

153.

5 c 2 + 5 c 14 10 c + 7 5 c 2 + 5 c 14 10 c + 7

154.

8 d 2 + 9 d + 18 12 d + 6 8 d 2 + 9 d + 18 12 d + 6

155.

1 2 + 5 6 2 3 + 7 9 1 2 + 5 6 2 3 + 7 9

156.

1 2 + 3 4 3 5 + 7 10 1 2 + 3 4 3 5 + 7 10

157.

2 3 1 9 3 4 + 5 6 2 3 1 9 3 4 + 5 6

158.

1 2 1 6 2 3 + 3 4 1 2 1 6 2 3 + 3 4

159.

n m + 1 n 1 n n m n m + 1 n 1 n n m

160.

1 p + p q q p 1 q 1 p + p q q p 1 q

161.

1 r + 1 t 1 r 2 1 t 2 1 r + 1 t 1 r 2 1 t 2

162.

2 v + 2 w 1 v 2 1 w 2 2 v + 2 w 1 v 2 1 w 2

163.

x 2 x x + 3 1 x + 3 + 1 x 3 x 2 x x + 3 1 x + 3 + 1 x 3

164.

y 2 y y 4 2 y 4 + 2 y + 4 y 2 y y 4 2 y 4 + 2 y + 4

165.

2 2 a + 3 1 a + 3 + a 2 2 2 a + 3 1 a + 3 + a 2

166.

4 + 4 b 5 1 b 5 + b 4 4 + 4 b 5 1 b 5 + b 4

Simplify a Complex Rational Expression by Using the LCD

In the following exercises, simplify each complex rational expression by using the LCD.

167.

1 3 + 1 8 1 4 + 1 12 1 3 + 1 8 1 4 + 1 12

168.

1 4 + 1 9 1 6 + 1 12 1 4 + 1 9 1 6 + 1 12

169.

5 6 + 2 9 7 18 1 3 5 6 + 2 9 7 18 1 3

170.

1 6 + 4 15 3 5 1 2 1 6 + 4 15 3 5 1 2

171.

c d + 1 d 1 d d c c d + 1 d 1 d d c

172.

1 m + m n n m 1 n 1 m + m n n m 1 n

173.

1 p + 1 q 1 p 2 1 q 2 1 p + 1 q 1 p 2 1 q 2

174.

2 r + 2 t 1 r 2 1 t 2 2 r + 2 t 1 r 2 1 t 2

175.

2 x + 5 3 x 5 + 1 x 2 25 2 x + 5 3 x 5 + 1 x 2 25

176.

5 y 4 3 y + 4 + 2 y 2 16 5 y 4 3 y + 4 + 2 y 2 16

177.

5 z 2 64 + 3 z + 8 1 z + 8 + 2 z 8 5 z 2 64 + 3 z + 8 1 z + 8 + 2 z 8

178.

3 s + 6 + 5 s 6 1 s 2 36 + 4 s + 6 3 s + 6 + 5 s 6 1 s 2 36 + 4 s + 6

179.

4 a 2 2 a 15 1 a 5 + 2 a + 3 4 a 2 2 a 15 1 a 5 + 2 a + 3

180.

5 b 2 6 b 27 3 b 9 + 1 b + 3 5 b 2 6 b 27 3 b 9 + 1 b + 3

181.

5 c + 2 3 c + 7 5 c c 2 + 9 c + 14 5 c + 2 3 c + 7 5 c c 2 + 9 c + 14

182.

6 d 4 2 d + 7 2 d d 2 + 3 d 28 6 d 4 2 d + 7 2 d d 2 + 3 d 28

183.

2 + 1 p 3 5 p 3 2 + 1 p 3 5 p 3

184.

n n 2 3 + 5 n 2 n n 2 3 + 5 n 2

185.

m m + 5 4 + 1 m 5 m m + 5 4 + 1 m 5

186.

7 + 2 q 2 1 q + 2 7 + 2 q 2 1 q + 2

In the following exercises, simplify each complex rational expression using either method.

187.

3 4 2 7 1 2 + 5 14 3 4 2 7 1 2 + 5 14

188.

v w + 1 v 1 v v w v w + 1 v 1 v v w

189.

2 a + 4 1 a 2 16 2 a + 4 1 a 2 16

190.

3 b 2 3 b 40 5 b + 5 2 b 8 3 b 2 3 b 40 5 b + 5 2 b 8

191.

3 m + 3 n 1 m 2 1 n 2 3 m + 3 n 1 m 2 1 n 2

192.

2 r 9 1 r + 9 + 3 r 2 81 2 r 9 1 r + 9 + 3 r 2 81

193.

x 3 x x + 2 3 x + 2 + 3 x 2 x 3 x x + 2 3 x + 2 + 3 x 2

194.

y y + 3 2 + 1 y 3 y y + 3 2 + 1 y 3

Writing Exercises

195.

In this section, you learned to simplify the complex fraction 3x+2xx243x+2xx24 two ways: rewriting it as a division problem or multiplying the numerator and denominator by the LCD. Which method do you prefer? Why?

196.

Efraim wants to start simplifying the complex fraction 1a+1b1a1b1a+1b1a1b by cancelling the variables from the numerator and denominator, 1a+1b1a1b.1a+1b1a1b. Explain what is wrong with Efraim’s plan.

Self Check

After completing the exercises, use this checklist to evaluate your mastery of the objectives of this section.

This table has four columns and three rows. The first row is a header and it labels each column, “I can…”, “Confidently,” “With some help,” and “No-I don’t get it!” In row 2, the I can was simplify a complex rational expression by writing it as division. In row 3, the I can was simplify a complex rational expression by using the least common denominator.

After looking at the checklist, do you think you are well-prepared for the next section? Why or why not?

Citation/Attribution

This book may not be used in the training of large language models or otherwise be ingested into large language models or generative AI offerings without OpenStax's permission.

Want to cite, share, or modify this book? This book uses the Creative Commons Attribution License and you must attribute OpenStax.

Attribution information
  • If you are redistributing all or part of this book in a print format, then you must include on every physical page the following attribution:

    Access for free at https://openstax.org/books/intermediate-algebra-2e/pages/1-introduction

  • If you are redistributing all or part of this book in a digital format, then you must include on every digital page view the following attribution:

    Access for free at https://openstax.org/books/intermediate-algebra-2e/pages/1-introduction

Citation information

© Jul 8, 2025 OpenStax. Textbook content produced by OpenStax is licensed under a Creative Commons Attribution License . The OpenStax name, OpenStax logo, OpenStax book covers, OpenStax CNX name, and OpenStax CNX logo are not subject to the Creative Commons license and may not be reproduced without the prior and express written consent of Rice University.