Przejdź do treściPrzejdź do informacji o dostępnościMenu skrótów klawiszowych
Logo OpenStax
Fizyka dla szkół wyższych. Tom 3

7.5 Kwantowy oscylator harmoniczny

Fizyka dla szkół wyższych. Tom 37.5 Kwantowy oscylator harmoniczny
Wyszukaj kluczowe pojęcia lub tekst.

Cel dydaktyczny

W tym podrozdziale nauczysz się:
  • opisywać model kwantowego oscylatora kwantowego;
  • określać różnice między klasycznym a kwantowym oscylatorem harmonicznym;
  • wyjaśniać zagadnienia fizyczne, które są wspólne dla oscylatora klasycznego i kwantowego.

Przykłady oscylatorów możemy znaleźć z łatwością w naturze, będą to choćby fale elektromagnetyczne, drgające cząstki i lekko kołysząca się na wietrze gałąź. W poprzednich rozdziałach wykorzystywaliśmy mechanikę newtonowską do opisu makroskopowych oscylacji, jak klocek na sprężynie czy proste wahadło. W tym rozdziale zajmiemy się oscylacjami z punktu widzenia mechaniki kwantowej, a zaczniemy od przypomnienia klasycznego oscylatora harmonicznego.

Klasyczny oscylator harmoniczny

Prostym oscylatorem harmonicznym nazwiemy cząstkę lub układ, oscylujące harmonicznie wokół punktu równowagi, jak ciało na sprężynie. W tym podrozdziale będziemy się zajmować jedynie jednowymiarowymi oscylacjami. Rozważmy więc ciało oscylujące wokół pewnego punktu równowagi x = 0 x = 0 x=0 . W mechanice klasycznej na cząstkę działa siła sprężystości dana wzorem F x = k x F x = k x F_x = -kx , gdzie x x x jest przemieszczeniem cząstki względem punktu równowagi. Ruch odbywa się między dwoma maksymalnymi wychyleniami x = ± A x = ± A x = \text{} \pm A , gdzie A A A oznacza amplitudę drgań. Położenie ciała zmienia się okresowo w czasie z prędkością kątową ω = k m ω = k m \omega = \sqrt{k / m} , która zależy od masy m m m oscylatora i stałej sprężystości k k k . Zależność opisującą przemieszczenie możemy zapisać jako

x t = A cos ω t + ϕ . x t = A cos ω t + ϕ . x\apply(t) = A \cos (\omega t + \phi) \text{.}
7.72

Całkowita energia E E E oscylatora jest sumą jego energii kinetycznej E k = m v 2 2 E k = m v 2 2 E_{\text{k}} = mv^2 / 2 i energii potencjalnej V x = k x 2 2 V x = k x 2 2 E_{\text{p}}\apply(x) = kx^2 /2

E = 1 2 m v 2 + 1 2 k x 2 . E = 1 2 m v 2 + 1 2 k x 2 . E = \frac{1}{2} mv^2 + \frac{1}{2} kx^2 \text{.}
7.73

W punktach maksymalnego wychylenia x = ± A x = ± A x = \text{} \pm A prędkość oscylatora spada do zera, a więc energia oscylatora jest wtedy równa energii potencjalnej: E = k A 2 2 E = k A 2 2 E = kA^2 / 2 . Graficzną reprezentacją energii potencjalnej w funkcji położenia jest parabola (Ilustracja 7.14). Energia potencjalna jest funkcją kwadratową zależną od x x x , mierzoną w odniesieniu do punktu równowagi, w którym przyjmuje wartość równą zero. Na tym samym rysunku przerywaną linią zaznaczony jest przebieg całkowitej energii oscylatora. Możemy łatwo wydedukować, że energia kinetyczna będzie różnicą energii całkowitej i potencjalnej.

Pokazany jest wykres potencjału U od x i energii E. Oś pionowa jest energią, a oś pozioma to x. Energia E jest dodatnia i stała. Potencjał U od x jest funkcją jedna druga k razy x kwadrat, a wklęsła parabola, ma wartość zero w x=0. Obszar poniżej potencjału U of x krzywej jest zacieniowany. Potencjał U od x jest równy E od x równe minus A i x równe plus A.
Ilustracja 7.14 Studnia potencjału klasycznego oscylatora harmonicznego. Ruch oscylatora jest ograniczony do punktów przecięcia wykresów energii całkowitej i potencjalnej x = A x = A x=-A i x = + A x = + A x=+A . Energia oscylacji wynosi E = k A 2 2 E = k A 2 2 E = kA^2 /2 .

Ruch klasycznego oscylatora harmonicznego jest ograniczony do przedziału, w którym energia kinetyczna przyjmuje wartości dodatnie. Oznacza to, że oscylator harmoniczny nigdy nie wychyli się dalej niż wynosi jego amplituda, od której zależy też jego maksymalna energia. Najmniejsza możliwa energia klasycznego oscylatora harmonicznego wynosi zero i odpowiada sytuacji, gdy ciało spoczywa w punkcie równowagi. Gdy ciało oscyluje, niezależnie od tego, czy są to duże, czy małe oscylacje, najdłużej znajduje się w punktach maksymalnego wychylenia, gdzie jego prędkość spada do zera, a następnie zmienia zwrot. Prawdopodobieństwo znalezienia ciała w tych punktach jest więc największe, a najmniejsze w punkcie równowagi, gdzie ciało ma największą prędkość (zauważmy, że to stwierdzenie nie odnosi się do minimalizacji energii, a do prędkości samego ciała).

Kwantowy oscylator harmoniczny

Model klasycznego oscylatora, choć prosty, nie jest uniwersalny. Nie możemy go wykorzystać np. do opisania drgań cząstek dwuatomowych, gdzie efekty kwantowe mają duże znaczenie. Pierwszym krokiem do formalizmu kwantowego jest wykorzystanie klasycznego wyrażenia k = m ω 2 k = m ω 2 k=m\omega^2 , aby uniknąć sformułowania stałej sprężystości między atomami. Dzięki temu energia potencjalna może zostać zapisana jako

V x = 1 2 m ω 2 x 2 . V x = 1 2 m ω 2 x 2 . E_{\text{p}}\apply(x) = \frac{1}{2} m \omega^2 x^2 \text{.}
7.74

Łącząc to wyrażenie z zależnym od czasu równaniem Schrödingera, otrzymujemy

2 m d 2 ψ x d x 2 + 1 2 m ω 2 x 2 ψ x = E ψ x . 2 m d 2 ψ x d x 2 + 1 2 m ω 2 x 2 ψ x = E ψ x . - \frac{\hbar}{2m} \cdot \frac{\d ^2 \psi\apply(x)}{\d x^2} + \frac{1}{2} m \omega^2 x^2 \psi\apply(x) = E \psi\apply(x) \text{.}
7.75

Do rozwiązania tego równania, a więc do znalezienia dozwolonych poziomów energetycznych E E E i odpowiadających im funkcji falowych ψ x ψ x \psi \apply(x) , wymagamy symetrii funkcji falowych wokół x = 0 x = 0 x=0 (dno studni potencjału) oraz aby były one możliwe do znormalizowania. Te warunki zapewniają skończoność gęstości prawdopodobieństwa ψ x 2 ψ x 2 \abs{\psi\apply(x)}^2 po scałkowaniu na przedziale od -\infty do + + + \infty . Rozwiązanie tego równania wykracza poza program niniejszego podręcznika, przejdziemy więc od razu do gotowych rozwiązań

E n = n + 1 2 ω = 2 n + 1 2 ω n = 0 1 2 3 E n = n + 1 2 ω = 2 n + 1 2 ω n = 0 1 2 3 E_n = (n + \frac{1}{2}) \hbar \omega = \frac{2n+1}{2} \hbar \omega \text{, } n=0,1,2,3,\dots
7.76

Funkcje falowe odpowiadające tym energiom (stany stacjonarne lub stany o określonej energii) wynoszą

ψ n x = N n e β 2 x 2 2 H n β x n = 0 1 2 3 , ψ n x = N n e β 2 x 2 2 H n β x n = 0 1 2 3 , \psi_n \apply(x) = N_n e^{-\beta^2 x^2 /2} H_n \apply(\beta x) \text{, } n=0,1,2,3,\dots \text{,}
7.77

gdzie β = m ω β = m ω \beta=\sqrt{m\omega/\hbar} , N n N n N_n jest stałą normalizacji, a H n y H n y H_n\apply(y) to wielomian stopnia n n n ; wielomiany te nazywane są też wielomianami Hermite’a. Pierwsze wielomiany Hermite’a mają postać

H 0 y = 1 , H 1 y = 2 y , H 2 y = 4 y 2 2 , H 3 y = 8 y 3 12 y . H 0 y = 1 , H 1 y = 2 y , H 2 y = 4 y 2 2 , H 3 y = 8 y 3 12 y . H 0 y = 1 , H 1 y = 2 y , H 2 y = 4 y 2 2 , H 3 y = 8 y 3 12 y . \begin{align} H_0\apply(y) &= 1 \text{,}\\ H_1\apply(y) &= 2y \text{,}\\ H_2\apply(y) &= 4y^2 -2 \text{,}\\ H_3\apply(y) &= 8y^3 - 12 y \text{.} \end{align}

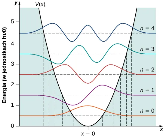
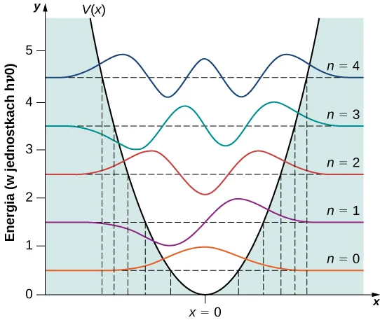
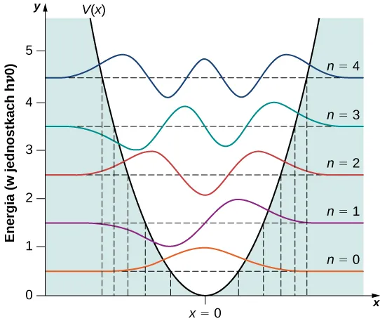
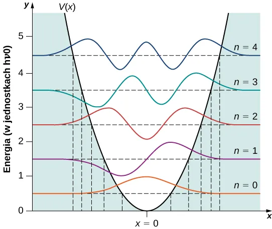
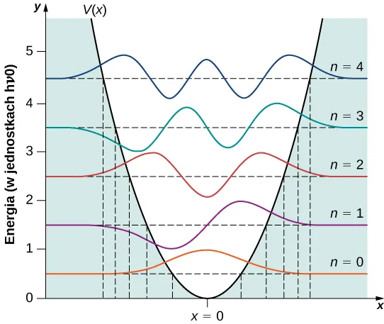
Kilka przykładowych funkcji zostało zamieszczonych na Ilustracji 7.15. Wraz ze wzrostem głównej liczby kwantowej rozwiązania oscylują między parzystymi i nieparzystymi funkcjami wokół x = 0 x = 0 x=0 .

Pokazane są harmoniczne potencjały V od x and funkcje falowe dla n=0 aż do n=4 stanu kwantowego potencjału. Każda funkcja falowa jest rozmieszczona pionowo ze swą pionową energią, wynikami pomiarów w jednostkach h nu sub zero. Pionowa skala energii biegnie od zera do 5. Potencjał V od x is otwartą ku górze parabolą, ze środkiem w punkcie równym zero na x = 0. Obszar leżący poniżej krzywej, poza potencjałem jest zacieniowany. Poziomy energetyczne są oznaczone poziomo linią dashed lines i są regularnie przedzielone energiami o zakresach 0.5, 1.2, 2.5, 3.5 and 4.5 h nu sub 0. Jest także zaznaczony stan dla n=0. Jest symetryczny, dodatni, ze szczytem w x=0. Dodany jest stan n = 1. Jest ujemny dla x mniej niż zero, dodatni dla x większych niż zero, oraz w początku układu. Posiada jedno ujemne minimum i jedno dodatnie minimum. W stanie n=2 wykres jest symetryczny z, ujemnym minimum w x=0 dwóch dodatnich maksimach, jednym dodatnim x i drugim na ujemnym. W stanie n = 3 wykres jest zero w środku układu. Posiada od lewej do prawej ujemne minimum di dodatnie maksimum a lewo od środka układu, następnie dodatnie maksimum i ujemne minimum na prawo od środka układu. W stanie n=4 wykres ma maksimum w środku układu, ujemne minimum po drugiej stronie i dodatnie maksimum poza minimami. Wszystkie stany są wyraźnie niezerowe w obszarze zacieniowanym i zdążają asymptotycznie do zera jak x zdąża do plus i minus nieskończoności. Minima i maksima znajdują się wszystkie wewnątrz potencjału w obszarze niezacieniowanym. Pionowa linia kreskowana pokazuje wartości x, gdzie potencjał jest równy energii stanu, to jest gdzie przerywana linia pozioma przecina się z krzywą V od x .
Ilustracja 7.15 Pierwsze pięć funkcji falowych kwantowego oscylatora harmonicznego. Klasyczne ograniczenia ruchu oscylatora oznaczone są pionowymi liniami odpowiadającymi maksymalnym wychyleniom klasycznego oscylatora x = ± A x = ± A x = \text{} \pm A o takiej samej energii jak kwantowy oscylator o stanie oznaczonym na rysunku.

Przykład 7.10

Klasyczny przedział oscylacji harmonicznych

Obliczmy amplitudę A A A oscylacji klasycznego oscylatora harmonicznego o energii równej energii kwantowego oscylatora o liczbie kwantowej n n n .

Strategia rozwiązania

Aby obliczyć amplitudę, musimy przyrównać energię klasyczną E = k x 2 2 = m ω 2 A 2 2 E = k x 2 2 = m ω 2 A 2 2 E = kx^2 / 2 = m \omega^2 A^2 / 2 do energii kwantowej E n E n E_n .

Rozwiązanie

Otrzymujemy
E n = m ω 2 A n 2 2 A n = 2 m ω 2 E n = 2 m ω 2 2 n + 1 2 ω = 2 n + 1 m ω . E n = m ω 2 A n 2 2 A n = 2 m ω 2 E n = 2 m ω 2 2 n + 1 2 ω = 2 n + 1 m ω . E_n = m \omega^2 A_n^2 / 2 \implies A_n = \sqrt{\frac{2}{m \omega^2}E_n} = \sqrt{\frac{2}{m\omega^2} \cdot \frac{2n+1}{2} \hbar \omega} = \sqrt{(2n+1) \frac{\hbar}{m \omega}} \text{.}

Znaczenie

Wraz ze wzrostem liczby kwantowej energia oscylatora, a co za tym idzie także amplituda oscylacji rosną o pewną wartość. Dla dużych n n n amplituda staje się w przybliżeniu proporcjonalna do pierwiastka kwadratowego z liczby kwantowej.

Z tego przykładu możemy wyciągnąć kilka ciekawych wniosków. W przeciwieństwie do klasycznego oscylatora zmierzone wartości energii oscylatora kwantowego mogą przyjmować jedynie określone wartości (Równanie 7.76). Co więcej, w przeciwieństwie do przypadku cząstki kwantowej w pudełku poziomy energetyczne są jednakowo od siebie oddalone

Δ E = E n + 1 E n = 2 n + 1 + 1 2 ω 2 n + 1 2 ω = ω = h ν . Δ E = E n + 1 E n = 2 n + 1 + 1 2 ω 2 n + 1 2 ω = ω = h ν . \prefop{\Delta}E = E_{n+1} - E_n = \frac{2(n+1) +1}{2} \hbar \omega - \frac{2n+1}{2} \hbar \omega = \hbar\omega = h\nu \text{.}
7.78

Gdy cząstka będąca częścią takiego układu przejdzie z wyższego poziomu energetycznego na niższy, najmniejsza porcja energii emitowanego fotonu wynosi h ν h ν h\nu . Podobnie gdy cząstka przechodzi z niższego na wyższy poziom energii, najmniejsza możliwa energia, jaką może ona zaabsorbować, jest równa h ν h ν h\nu . Kwantowy oscylator harmoniczny może absorbować i emitować jedynie wielokrotności tego kwantu energii. Jest to zgodne z przewidywaniami Plancka w związku z problemem promieniowania ciała doskonale czarnego.

Przykład 7.11

Energia drgań cząstki chlorowodoru

Dwuatomowa cząsteczka HCl składa się z jednego atomu chloru i jednego atomu wodoru. Ponieważ atom chloru jest 35 razy cięższy od atomu wodoru, drgania cząsteczki HCl można przybliżyć za pomocą modelu, w którym atom Cl jest nieruchomy, a atom H drga wokół niego. Oscylacje te spowodowane są istnieniem oddziaływania międzyatomowego, które podlega prawu Hooka. Na widmie drgań chlorowodoru w podczerwieni linia charakterystyczna o najmniejszej częstotliwości występuje dla ν = 8,88 10 13 Hz ν = 8,88 10 13 Hz \nu = \SI{8,88e13}{\hertz} . Jakie są odległości pomiędzy poziomami energetycznymi drgań tej cząsteczki? Jaka jest stała sprężystości k k k tego układu?

Strategia rozwiązania

Linia charakterystyczna o najmniejszej częstotliwości odpowiada emisji fotonu o najniższej częstotliwości. Fotony te są emitowane, gdy molekuła przechodzi między sąsiednimi poziomami energetycznymi drgań. Zakładając, że poziomy energetyczne są równomiernie rozłożone, możemy wykorzystać Równanie 7.78 do obliczenia odległości między nimi. Przyjmujemy, że atom chloru jest nieskończenie ciężki, a atom wodoru o masie m m m oscyluje wokół niego. Traktując ten układ jak klasyczny oscylator, otrzymamy stałą sprężystości ze wzoru k = m ω 2 k = m ω 2 k = m \omega^2 .

Rozwiązanie

Odległość między poziomami energetycznymi wynosi
Δ E = h ν = 4,14 10 -15 eV s 8,88 10 13 Hz = 0,368 eV . Δ E = h ν = 4,14 10 -15 eV s 8,88 10 13 Hz = 0,368 eV . \prefop{\Delta} E = h\nu = \SI{4,14e-15}{\electronvolt\second} \cdot \SI{8,88e13}{\hertz} = \SI{0,368}{\electronvolt} \text{.}

Stała sprężystości jest równa

k=mω2=m2πν2=1,6710-27kg2π8,881013Hz2=520Nm.k=mω2=m2πν2=1,6710-27kg2π8,881013Hz2=520Nm. k = m \omega^2 = m (2\pi \nu)^2 = \SI{1,67e-27}{\kilo\gram} \cdot (2\pi \cdot \SI{8,88e13}{\hertz} )^2 = \SI{520}{\newton\per\metre} \text{.}

Znaczenie

Oddziaływanie międzyatomowe w cząstce HCl jest niezwykle silne. Wartości energii fotonów uwalnianych podczas przejścia między poziomami odpowiadają energii promieniowania podczerwonego. Jak zobaczymy w dalszej części rozdziału, przejścia między poziomami drgań cząstki dwuatomowej często towarzyszą przejściom rotacyjnym.

Sprawdź, czy rozumiesz 7.8

Częstotliwość drgań dwuatomowej cząstki jodowodoru HI wynosi 6,69 10 13 Hz 6,69 10 13 Hz \SI{6,69e13}{\hertz} .

  1. Jaka jest stała sprężystości siły wiążącej atomy jodu i wodoru?
  2. Jaka jest najmniejsza możliwa częstotliwość emitowanego przez tę cząstkę fotonu?

Kwantowy oscylator różni się od klasycznego pod trzema względami:

Po pierwsze, stan podstawowy kwantowego oscylatora wynosi E 0 = ω 2 E 0 = ω 2 E_0 = \hbar \omega /2 (w jednym wymiarze, podczas gdy w dwóch i trzech wymiarach wynosi odpowiednio ω ω \hbar \omega i 3 ω 2 3 ω 2 3\hbar \omega / 2 ), a nie zero, jak w przypadku najniższej możliwej energii układu klasycznego. Energia sprężystości oscylatora dwu- i trójwymiarowego wynosi 1 2 k x 2 + y 2 1 2 k x 2 + y 2 1/2 \cdot k(x^2 + y^2) i 1 2 k x 2 + y 2 + z 2 1 2 k x 2 + y 2 + z 2 1/2 \cdot k(x^2 + y^2+z^2) . Podobnie energie kinetyczne wynoszą odpowiednio 1 2 m v x 2 + v y 2 1 2 m v x 2 + v y 2 1/2 \cdot m (v_x^2 +v_y^2) oraz 1 2 m v x 2 + v y 2 + v z 2 1 2 m v x 2 + v y 2 + v z 2 1/2 \cdot m (v_x^2 +v_y^2+v_z^2) .

Po drugie, cząstka w potencjale kwantowego oscylatora harmonicznego może być znaleziona z niezerowym prawdopodobieństwem poza przedziałem A x A A x A -A \leq x \leq A . W klasycznym przypadku jest to niemożliwe energetycznie. Prawdopodobieństwo znalezienia cząstki kwantowej w stanie podstawowym, znajdującej się w przedziale wzbronionym, wynosi około 16 % 16 % \SI{16}{\percent} .

Po trzecie, rozkład gęstości prawdopodobieństwa kwantowego oscylatora w stanie podstawowym jest największy pośrodku studni ( x = 0 x = 0 x=0 ). Oznacza to, że cząstka spędza najwięcej czasu pośrodku studni, co daje odwrotną sytuację niż w przypadku klasycznego oscylatora, dla którego największe prawdopodobieństwo znalezienia cząstki istnieje w punktach maksymalnego wychylenia.

Sprawdź, czy rozumiesz 7.9

Oblicz wartość oczekiwaną położenia cząstki w stanie podstawowym oscylatora harmonicznego, wykorzystując symetrię.

Charakter rozkładów gęstości prawdopodobieństwa w układach kwantowych zmienia się dla stanów wzbudzonych, upodabniając się do rozkładów klasycznych wraz ze wzrostem liczby kwantowej. Zmiana ta jest widoczna już dla pierwszego stanu wzbudzonego kwantowego oscylatora, ponieważ jego rozkład rośnie w pobliżu punktów granicznych, a zanika w położeniu równowagi, jak widać na Ilustracji 7.14. Zgodnie z zasadą korespondencji Bohra, przy warunku dużych liczb kwantowych, kwantowy opis oscylatora harmonicznego zgadza się z klasycznym modelem, co zostało przedstawione na Ilustracji 7.16. Klasyczny rozkład gęstości prawdopodobieństwa odpowiadający energii układu o liczbie kwantowej n = 12 n = 12 n=12 jest dobrym przybliżeniem kwantowego rozkładu gęstości prawdopodobieństwa oscylatora kwantowego w stanie wzbudzonym. Im bardziej wzbudzone stany, tym większa zgodność rozkładów.

Pokazany jest wykres rozkładu gęstości prawdopodobieństwa wyrażonego rozmieszczeniem amplitudy kwadratu Psi sub 12 dla kwantowego oscylatora harmonicznego jako funkcja x i jako krzywa podstawowa. Krzywa posiada 13 pików z 12 zer między nimi, która zdąża asymptotycznie od zera do plus i minus nieskończoności. Amplituda pików jest najniższa w środkowej fazie wzrostu i rośnie wraz odległością od początku układu. Wszystkie piki znajdują się pomiędzy x=-A i x=+A. Zaznaczona linią przerywaną krzywa, która pokazuje rozkład gęstości prawdopodobieństwa w klasycznym oscylatorze z tą samą energią, jest krzywą łagodnie otwartą ku górze.
Ilustracja 7.16 Rozkład gęstości prawdopodobieństwa znalezienia kwantowego oscylatora harmonicznego w stanie odpowiadającym n = 12 n = 12 n=12 . Linia przerywana odpowiada rozkładowi gęstości prawdopodobieństwa klasycznego oscylatora harmonicznego o tej samej energii.
Cytowanie i udostępnianie

Ten podręcznik nie może być wykorzystywany do trenowania sztucznej inteligencji ani do przetwarzania przez systemy sztucznej inteligencji bez zgody OpenStax lub OpenStax Poland.

Chcesz zacytować, udostępnić albo zmodyfikować treść tej książki? Została ona wydana na licencji Uznanie autorstwa (CC BY) , która wymaga od Ciebie uznania autorstwa OpenStax.

Cytowanie i udostępnienia
  • Jeśli rozpowszechniasz tę książkę w formie drukowanej, umieść na każdej jej kartce informację:
    Treści dostępne za darmo na https://openstax.org/books/fizyka-dla-szk%C3%B3%C5%82-wy%C5%BCszych-tom-3/pages/1-wstep
  • Jeśli rozpowszechniasz całą książkę lub jej fragment w formacie cyfrowym, na każdym widoku strony umieść informację:
    Treści dostępne za darmo na https://openstax.org/books/fizyka-dla-szk%C3%B3%C5%82-wy%C5%BCszych-tom-3/pages/1-wstep
Cytowanie

© 21 wrz 2022 OpenStax. Treść książki została wytworzona przez OpenStax na licencji Uznanie autorstwa (CC BY) . Nazwa OpenStax, logo OpenStax, okładki OpenStax, nazwa OpenStax CNX oraz OpenStax CNX logo nie podlegają licencji Creative Commons i wykorzystanie ich jest dozwolone wyłącznie na mocy uprzedniego pisemnego upoważnienia przez Rice University.