Omitir e ir al contenidoIr a la página de accesibilidadMenú de atajos de teclado
Logo de OpenStax
Física universitaria volumen 3

7.5 El oscilador armónico cuántico

Física universitaria volumen 37.5 El oscilador armónico cuántico
Buscar términos clave o texto.

Objetivos de aprendizaje

Al final de esta sección podrá:

  • Describir el modelo del oscilador armónico cuántico
  • Identificar las diferencias entre los modelos clásico y cuántico del oscilador armónico.
  • Explicar situaciones físicas en las que coinciden los modelos clásico y cuántico.

Las oscilaciones están presentes en toda la naturaleza, en cosas como las ondas electromagnéticas, las moléculas que vibran y el suave vaivén de la rama de un árbol. En los capítulos anteriores utilizamos la mecánica de Newton para estudiar las oscilaciones macroscópicas, como un bloque sobre un resorte y un péndulo simple. En este capítulo, comenzaremos a estudiar los sistemas oscilantes utilizando la mecánica cuántica. Comenzaremos revisando el oscilador armónico clásico.

El oscilador armónico clásico

Un oscilador armónico simple es una partícula o sistema que experimenta un movimiento armónico en torno a una posición de equilibrio, como un objeto con masa que vibra sobre un resorte. En esta sección, consideramos las oscilaciones en una sola dimensión. Supongamos que una masa se mueve de un lado a otro a lo largo de una

dirección x alrededor de la posición de equilibrio, x=0x=0. En la mecánica clásica, la partícula se mueve en respuesta a una fuerza lineal restauradora dada por Fx=kx,Fx=kx, donde la x es el desplazamiento de la partícula desde su posición de equilibrio. El movimiento tiene lugar entre dos puntos de inflexión, x=±Ax=±A, donde A denota la amplitud del movimiento. La posición del objeto varía periódicamente en el tiempo con una frecuencia angular ω=k/m,ω=k/m, que depende de la masa m del oscilador y de la constante de fuerza k de la fuerza neta, y puede escribirse como

x(t)=Acos(ωt+ϕ).x(t)=Acos(ωt+ϕ).
7.52

La energía total E de un oscilador es la suma de su energía cinética K=mu2/2K=mu2/2 y la energía potencial elástica de la fuerza U(x)=kx2/2,U(x)=kx2/2,

E=12mu2+12kx2.E=12mu2+12kx2.
7.53

En los puntos de inflexión x=±Ax=±A, la velocidad del oscilador es de cero; por lo tanto, en estos puntos la energía de oscilación está únicamente en forma de energía potencial E=kA2/2E=kA2/2. El gráfico de la energía potencial U(x) del oscilador en función de su posición x es una parábola (Figura 7.13). La función de energía potencial es una función cuadrática de la x, medida con respecto a la posición de equilibrio. En el mismo gráfico, también trazamos la energía total E del oscilador, como una línea horizontal que intercepta la parábola en x=±Ax=±A. Entonces la energía cinética K se representa como la distancia vertical entre la línea de energía total y la parábola de energía potencial.

Se muestra una gráfica del potencial U de x y la energía E. El eje vertical es la energía y el eje horizontal es x. La energía E es positiva y constante. El potencial U de x es la función de la mitad de k por x al cuadrado, una parábola cóncava hacia arriba cuyo valor es cero en x=0. La región por debajo de la curva U de x está sombreada. U de x es igual a E en x igual a menos A y x igual a más A.
Figura 7.13 El pozo de energía potencial de un oscilador armónico clásico: El movimiento está confinado entre los puntos de inflexión en x=Ax=A y en x=+Ax=+A. La energía de las oscilaciones es E=kA2/2.E=kA2/2.

En este gráfico, el movimiento de un oscilador clásico está confinado a la región donde su energía cinética es no negativa, que es lo que dice la Ecuación 7.53 de relación de energía. Físicamente, significa que un oscilador clásico nunca puede encontrarse más allá de sus puntos de inflexión, y su energía solo depende de lo lejos que estén los puntos de inflexión de su posición de equilibrio. La energía de un oscilador clásico cambia de forma continua. La energía más baja que puede tener un oscilador clásico es cero, lo que corresponde a una situación en la que un objeto está en reposo en su posición de equilibrio. El estado de energía cero de un oscilador clásico significa simplemente que no hay oscilaciones ni movimiento alguno (una partícula clásica sentada en el fondo del pozo de potencial en la Figura 7.13). Cuando un objeto oscila, por muy grande o pequeña que sea su energía, pasa el mayor tiempo cerca de los puntos de inflexión, porque es ahí donde frena e invierte su dirección de movimiento. Por lo tanto, la probabilidad de encontrar un oscilador clásico entre los puntos de giro es mayor cerca de los puntos de inflexión y menor en la posición de equilibrio. (Observe que esto no es una declaración de preferencia del objeto por ir a una energía más baja. Es una declaración sobre la rapidez con la que el objeto se mueve a través de varias regiones).

El oscilador armónico cuántico

Un problema de esta formulación clásica es que no es general. No podemos utilizarla, por ejemplo, para describir las vibraciones de las moléculas diatómicas, donde los efectos cuánticos son importantes. Un primer paso hacia una formulación cuántica es utilizar la expresión clásica k=mω2k=mω2 para limitar la mención de una constante de "resorte" entre los átomos. De este modo, la función de energía potencial puede escribirse en una forma más general,

U(x)=12mω2x2.U(x)=12mω2x2.
7.54

Combinando esta expresión con la ecuación de Schrӧdinger independiente del tiempo se obtiene

2md2ψ(x)dx2+12mω2x2ψ(x)=Eψ(x).2md2ψ(x)dx2+12mω2x2ψ(x)=Eψ(x).
7.55

Para resolver la Ecuación 7.55(es decir, para encontrar las energías permitidas E y sus funciones de onda correspondientes ψ(x)ψ(x)) necesitamos que las funciones de onda sean simétricas respecto a x=0x=0 (el fondo del pozo potencial) y normalizables. Estas condiciones garantizan que la densidad de probabilidad |ψ(x)|2|ψ(x)|2 deba ser finita cuando se integre en todo el rango de x desde hasta ++. Cómo resolver la Ecuación 7.55 es tema de un curso más avanzado de mecánica cuántica; aquí simplemente citamos los resultados. Las energías permitidas son

En=(n+12)ω=2n+12ω,n=0,1,2,3,...En=(n+12)ω=2n+12ω,n=0,1,2,3,...
7.56

Las funciones de onda que corresponden a estas energías (los estados estacionarios o de energía definida) son

ψn(x)=Nneβ2x2/2Hn(βx),n=0,1,2,3,...ψn(x)=Nneβ2x2/2Hn(βx),n=0,1,2,3,...
7.57

donde β=mω/β=mω/, NnNn es la constante de normalización, y Hn(y)Hn(y) es un polinomio de grado n llamado Polinomio de Hermite. Los cuatro primeros polinomios de Hermite son

H0(y)=1H1(y)=2yH2(y)=4y22H3(y)=8y312y.H0(y)=1H1(y)=2yH2(y)=4y22H3(y)=8y312y.

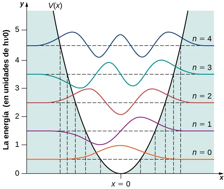
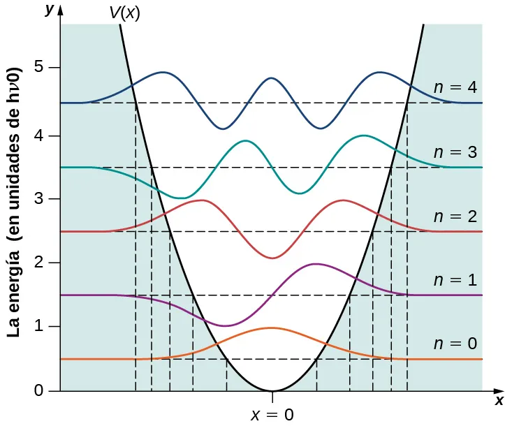
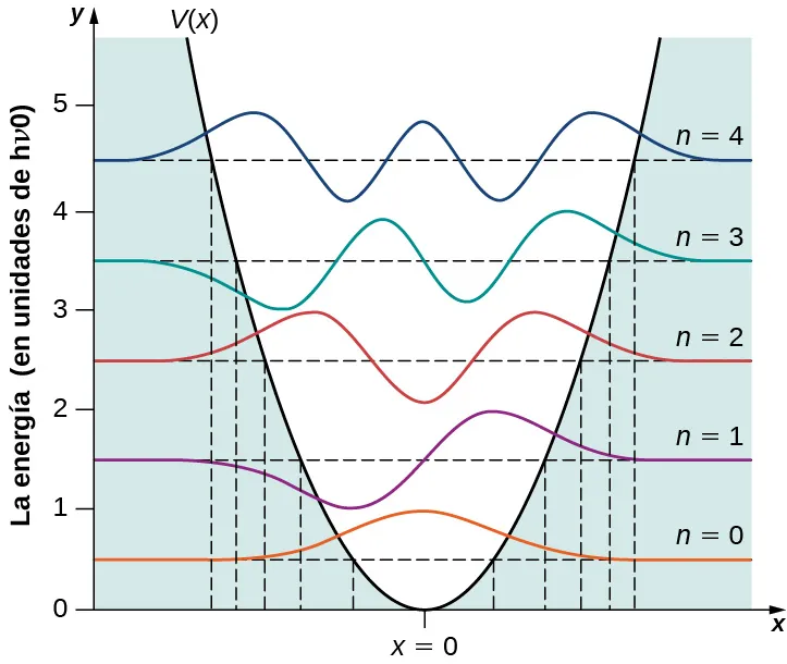
Algunos ejemplos de funciones de onda figuran en la Figura 7.14. A medida que aumenta el valor del número principal, las soluciones alternan entre funciones pares e impares alrededor de x=0x=0.

Se muestra el potencial armónico V de x y las funciones de onda para los estados cuánticos n=0 hasta n=4 del potencial. Cada función de onda está desplazada verticalmente por su energía, medida en unidades de h nu sub cero. La escala vertical de energía va de 0 a 5. El potencial V de x es una parábola que se abre hacia arriba, centrada e igual a cero en x = 0. La región por debajo de la curva, fuera del potencial, está sombreada. Los niveles de energía se indican con líneas horizontales discontinuas y están espaciados regularmente según la energía de 0,5, 1,2, 2,5, 3,5 y 4,5 h nu sub 0. El estado n=0 es par. Es simétrico, positivo y tiene un pico en x=0. El estado n = 1 es impar. Es negativo para la x menor que cero, positivo para la x mayor que cero y cero en el origen. Tiene un mínimo negativo y un mínimo positivo. El estado n=2 es par. Es simétrico, con un mínimo negativo en la x=0 y dos máximos positivos, uno en la x positiva y otro en la x negativa. El estado n = 3 es impar. Es cero en el origen. Tiene, de izquierda a derecha, un mínimo negativo y un máximo positivo a la izquierda del origen, y luego un máximo positivo y un mínimo negativo a la derecha del origen. El estado n=4 es par. Tiene un máximo en el origen, un mínimo negativo a cada lado y un máximo positivo fuera de los mínimos. Todos los estados son claramente diferentes a cero en la región sombreada y van asintóticamente a cero a medida que la x va a más y menos infinito. Los mínimos y máximos están todos dentro del potencial, en la región no sombreada. Las líneas discontinuas verticales muestran los valores de la x donde el potencial es igual a la energía del estado, es decir, donde las líneas discontinuas horizontales cruzan la curva V de x.
Figura 7.14 Las cinco primeras funciones de onda del oscilador armónico cuántico. Los límites clásicos del movimiento del oscilador se indican con líneas verticales, correspondientes a los puntos de inflexión clásicos en x=±Ax=±A de una partícula clásica con la misma energía que la de un oscilador cuántico en el estado indicado en la figura.

Ejemplo 7.10

Región clásica de las oscilaciones armónicas

Encuentre la amplitud A de las oscilaciones para un oscilador clásico con energía igual a la energía de un oscilador cuántico en el estado cuántico n.

Estrategia

Para determinar la amplitud A, fijamos la energía clásica E=kx2/2=mω2A2/2E=kx2/2=mω2A2/2 igual a EnEn dado por la Ecuación 7.56.

Solución

Obtenemos
En=mω2An2/2An=2mω2En=2mω22n+12ω=(2n+1)mω.En=mω2An2/2An=2mω2En=2mω22n+12ω=(2n+1)mω.

Importancia

A medida que aumenta el número cuántico n, aumenta la energía del oscilador y, por tanto, la amplitud de oscilación (para una frecuencia angular natural fija). Para un n grande, la amplitud es aproximadamente proporcional a la raíz cuadrada del número cuántico.

En esta solución aparecen varias características interesantes. A diferencia de un oscilador clásico, las energías medidas de un oscilador cuántico solo pueden tener valores energéticos dados por la Ecuación 7.56. Además, a diferencia del caso de una partícula cuántica en una caja, los niveles de energía permitidos están espaciados de manera uniforme,

ΔE=En+1En=2(n+1)+12ω2n+12ω=ω=hf.ΔE=En+1En=2(n+1)+12ω2n+12ω=ω=hf.
7.58

Cuando una partícula ligada a un sistema de este tipo hace una transición de un estado de mayor energía a un estado de menor energía, el cuanto de menor energía transportado por el fotón emitido es necesariamente hf. Del mismo modo, cuando la partícula hace una transición de un estado de menor energía a un estado de mayor energía, el cuanto de menor energía que puede ser absorbido por la partícula es el hf. Un oscilador cuántico solo puede absorber o emitir energía en múltiplos de este cuanto de energía más pequeño. Esto coincide con la hipótesis de Planck para los intercambios de energía entre la radiación y las paredes de la cavidad en el problema de la radiación de cuerpo negro.

Ejemplo 7.11

Energías vibracionales de la molécula de cloruro de hidrógeno

La molécula diatómica de HCl está formada por un átomo de cloro y otro de hidrógeno. Dado que el átomo de cloro es 35 veces más masivo que el átomo de hidrógeno, las vibraciones de la molécula de HCl pueden aproximarse bastante bien suponiendo que el átomo de Cl está inmóvil y que el átomo de H realiza oscilaciones armónicas debido a una fuerza molecular elástica modelada por la ley de Hooke. El espectro vibratorio infrarrojo medido en el cloruro de hidrógeno tiene la línea de menor frecuencia centrada en f=8,88×1013Hzf=8,88×1013Hz. ¿Cuál es el espacio entre las energías vibracionales de esta molécula? ¿Cuál es la constante de fuerza k del enlace atómico en la molécula de HCl?

Estrategia

La línea de menor frecuencia corresponde a la emisión de fotones de menor frecuencia. Estos fotones se emiten cuando la molécula realiza una transición entre dos niveles de energía vibracional adyacentes. Suponiendo que los niveles de energía están igualmente espaciados, utilizamos la Ecuación 7.58 para estimar el espaciado. La molécula se aproxima bien tratando el átomo de Cl como infinitamente pesado y el átomo de H como la masa m que realiza las oscilaciones. Tratando este sistema molecular como un oscilador clásico, la constante de fuerza se encuentra a partir de la relación clásica k=mω2k=mω2.

Solución

La separación de energía es
ΔE=hf=(4,14×1015eV·s)(8,88×1013Hz)=0,368eV.ΔE=hf=(4,14×1015eV·s)(8,88×1013Hz)=0,368eV.

La constante de fuerza es

k=mω2=m(2πf)2=(1,67×1027kg)(2π×8,88×1013Hz)2=520N/m.k=mω2=m(2πf)2=(1,67×1027kg)(2π×8,88×1013Hz)2=520N/m.

Importancia

La fuerza entre los átomos de una molécula de HCl es sorprendentemente fuerte. La energía típica liberada en las transiciones energéticas entre niveles vibracionales se encuentra en el rango infrarrojo. Como veremos más adelante, las transiciones entre los niveles de energía vibracional de una molécula diatómica suelen acompañar a las transiciones entre niveles de energía rotacional.

Compruebe Lo Aprendido 7.8

La frecuencia vibratoria de la molécula diatómica de yoduro de hidrógeno HI es 6,69×1013Hz6,69×1013Hz. (a) ¿Cuál es la constante de fuerza del enlace molecular entre los átomos de hidrógeno y de yodo? (b) ¿Cuál es la energía del fotón emitido cuando esta molécula hace una transición entre niveles de energía vibracionales adyacentes?

El oscilador cuántico difiere del oscilador clásico en tres aspectos:

En primer lugar, el estado fundamental de un oscilador cuántico es E0=ω/2,E0=ω/2, diferente a cero. En la visión clásica, la energía más baja es cero. La inexistencia de un estado de energía cero es común a todos los sistemas mecánicos cuánticos debido a las fluctuaciones omnipresentes que son consecuencia del principio de incertidumbre de Heisenberg. Si una partícula cuántica estuviera inmóvil en el fondo del pozo de potencial, tanto su momento como su posición tendrían que ser simultáneamente exactos, lo que violaría el principio de incertidumbre de Heisenberg. Por lo tanto, el estado de menor energía debe estar caracterizado por incertidumbres en el momento y en la posición, por lo que el estado fundamental de una partícula cuántica debe estar por encima del fondo del pozo de potencial.

En segundo lugar, una partícula en un potencial de oscilador armónico cuántico puede encontrarse con probabilidad diferente a cero fuera del intervalo Ax+AAx+A. En una formulación clásica del problema, la partícula no tendría ninguna energía para estar en esta región. La probabilidad de encontrar una partícula cuántica en estado fundamental en la región prohibida de manera clásica es de aproximadamente el 16 %.

En tercer lugar, las distribuciones de densidad de probabilidad |ψn(x)|2|ψn(x)|2 para un oscilador cuántico en el estado fundamental de baja energía, ψ0(x)ψ0(x), es mayor en el centro del pozo (x=0)(x=0). Para que la partícula se encuentre con mayor probabilidad en el centro del pozo, esperamos que pase el mayor tiempo allí mientras oscila. Esto se opone al comportamiento de un oscilador clásico, en el que la partícula pasa la mayor parte del tiempo moviéndose con velocidades relativamente pequeñas cerca de los puntos de inflexión.

Compruebe Lo Aprendido 7.9

Encuentre el valor esperado de la posición de una partícula en el estado fundamental de un oscilador armónico utilizando la simetría.

Las distribuciones de densidad de probabilidad cuántica cambian de carácter en los estados excitados, pareciéndose más a la distribución clásica cuando el número cuántico es mayor. Observamos este cambio efectivamente en el primer estado excitado de un oscilador cuántico porque la distribución |ψ1(x)|2|ψ1(x)|2 alcanza su punto máximo alrededor de los puntos de inflexión y desaparece en la posición de equilibrio, como se ve en la Figura 7.13. De acuerdo con el principio de correspondencia de Bohr, en el límite de números cuánticos altos, la descripción cuántica de un oscilador armónico converge a la descripción clásica, como se ilustra en la Figura 7.15. La distribución de densidad de probabilidad clásica correspondiente a la energía cuántica del estado n=12n=12 es una aproximación razonablemente buena de la distribución de probabilidad cuántica para un oscilador cuántico en este estado excitado. Esta concordancia es cada vez mejor para los estados altamente excitados.

La amplitud de la distribución de la densidad de probabilidad al cuadrado de Psi sub 12 para el oscilador armónico cuántico se traza como una función de x como una curva sólida. La curva tiene 13 picos con 12 ceros entre ellos y va asintóticamente a cero en el más y menos infinito. La amplitud de los picos es menor en el centro y aumenta con al distanciarse del origen. Todos los picos se encuentran entre la x=-A y la x=+A. La curva discontinua que muestra la distribución de la densidad de probabilidad de un oscilador clásico con la misma energía es una curva suave de apertura hacia arriba.
Figura 7.15 La distribución de densidad de probabilidad para encontrar el oscilador armónico cuántico en su estado cuántico n=12n=12. La curva discontinua muestra la distribución de densidad de probabilidad de un oscilador clásico con la misma energía.
Cita/Atribución

Este libro no puede ser utilizado en la formación de grandes modelos de lenguaje ni incorporado de otra manera en grandes modelos de lenguaje u ofertas de IA generativa sin el permiso de OpenStax.

¿Desea citar, compartir o modificar este libro? Este libro utiliza la Creative Commons Attribution License y debe atribuir a OpenStax.

Información de atribución
  • Si redistribuye todo o parte de este libro en formato impreso, debe incluir en cada página física la siguiente atribución:
    Acceso gratis en https://openstax.org/books/f%C3%ADsica-universitaria-volumen-3/pages/1-introduccion
  • Si redistribuye todo o parte de este libro en formato digital, debe incluir en cada vista de la página digital la siguiente atribución:
    Acceso gratuito en https://openstax.org/books/f%C3%ADsica-universitaria-volumen-3/pages/1-introduccion
Información sobre citas

© 13 abr. 2022 OpenStax. El contenido de los libros de texto que produce OpenStax tiene una licencia de Creative Commons Attribution License . El nombre de OpenStax, el logotipo de OpenStax, las portadas de libros de OpenStax, el nombre de OpenStax CNX y el logotipo de OpenStax CNX no están sujetos a la licencia de Creative Commons y no se pueden reproducir sin el previo y expreso consentimiento por escrito de Rice University.