Skip to ContentGo to accessibility pageKeyboard shortcuts menu
OpenStax Logo
Elementary Algebra

10.3 Solve Quadratic Equations Using the Quadratic Formula

Elementary Algebra10.3 Solve Quadratic Equations Using the Quadratic Formula
Search for key terms or text.

Learning Objectives

By the end of this section, you will be able to:

  • Solve quadratic equations using the quadratic formula
  • Use the discriminant to predict the number of solutions of a quadratic equation
  • Identify the most appropriate method to use to solve a quadratic equation

Be Prepared 10.3

Before you get started, take this readiness quiz.

  1. Simplify: −20510−20510.
    If you missed this problem, review Example 1.74.
  2. Simplify: 4+1214+121.
    If you missed this problem, review Example 9.29.
  3. Simplify: 128128.
    If you missed this problem, review Example 9.12.

When we solved quadratic equations in the last section by completing the square, we took the same steps every time. By the end of the exercise set, you may have been wondering ‘isn’t there an easier way to do this?’ The answer is ‘yes.’ In this section, we will derive and use a formula to find the solution of a quadratic equation.

We have already seen how to solve a formula for a specific variable ‘in general’ so that we would do the algebraic steps only once and then use the new formula to find the value of the specific variable. Now, we will go through the steps of completing the square in general to solve a quadratic equation for x. It may be helpful to look at one of the examples at the end of the last section where we solved an equation of the form ax2+bx+c=0ax2+bx+c=0 as you read through the algebraic steps below, so you see them with numbers as well as ‘in general.’

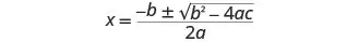
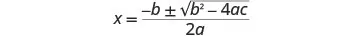
We start with the standard form of a quadratic equationax2+bx+c=0a0and solve it forxby completing the square.Isolate the variable terms on one side.ax2+bx=cMake leading coefficient 1, by dividing by a.ax2a+bax=caSimplify.x2+bax=caTo complete the square, find(12·ba)2and add it to bothsides of the equation.(12ba)2=b24a2x2+bax+b24a2=ca+b24a2The left side is a perfect square, factor it.(x+b2a)2=ca+b24a2Find the common denominator of the right side and writeequivalent fractions with the common denominator.(x+b2a)2=b24a2c·4aa·4aSimplify.(x+b2a)2=b24a24ac4a2Combine to one fraction.(x+b2a)2=b24ac4a2Use the square root property.x+b2a=±b24ac4a2Simplify.x+b2a=±b24ac2aAddb2ato both sides of the equation.x=b2a±b24ac2aCombine the terms on the right side.x=b±b24ac2aWe start with the standard form of a quadratic equationax2+bx+c=0a0and solve it forxby completing the square.Isolate the variable terms on one side.ax2+bx=cMake leading coefficient 1, by dividing by a.ax2a+bax=caSimplify.x2+bax=caTo complete the square, find(12·ba)2and add it to bothsides of the equation.(12ba)2=b24a2x2+bax+b24a2=ca+b24a2The left side is a perfect square, factor it.(x+b2a)2=ca+b24a2Find the common denominator of the right side and writeequivalent fractions with the common denominator.(x+b2a)2=b24a2c·4aa·4aSimplify.(x+b2a)2=b24a24ac4a2Combine to one fraction.(x+b2a)2=b24ac4a2Use the square root property.x+b2a=±b24ac4a2Simplify.x+b2a=±b24ac2aAddb2ato both sides of the equation.x=b2a±b24ac2aCombine the terms on the right side.x=b±b24ac2a

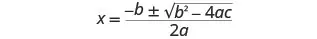
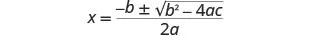
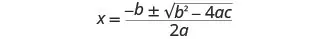
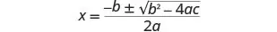
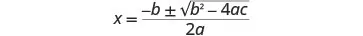
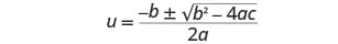
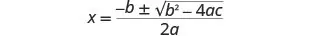
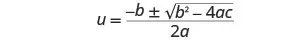
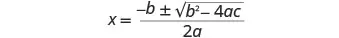
This last equation is the Quadratic Formula.

Quadratic Formula

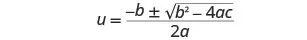
The solutions to a quadratic equation of the form ax2+bx+c=0ax2+bx+c=0, a0a0 are given by the formula:

x=b±b24ac2ax=b±b24ac2a

To use the Quadratic Formula, we substitute the values of a,b,andca,b,andc into the expression on the right side of the formula. Then, we do all the math to simplify the expression. The result gives the solution(s) to the quadratic equation.

Example 10.28

How to Solve a Quadratic Equation Using the Quadratic Formula

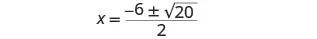
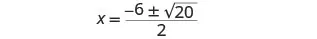
Solve 2x2+9x5=02x2+9x5=0 by using the Quadratic Formula.

Try It 10.55

Solve 3y25y+2=03y25y+2=0 by using the Quadratic Formula.

Try It 10.56

Solve 4z2+2z6=04z2+2z6=0 by using the Quadratic Formula.

How To

Solve a quadratic equation using the Quadratic Formula.

  1. Step 1. Write the Quadratic Formula in standard form. Identify the aa, bb, and cc values.
  2. Step 2. Write the Quadratic Formula. Then substitute in the values of aa, bb, and c.c.
  3. Step 3. Simplify.
  4. Step 4. Check the solutions.

If you say the formula as you write it in each problem, you’ll have it memorized in no time. And remember, the Quadratic Formula is an equation. Be sure you start with ‘x=x=’.

Example 10.29

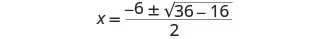
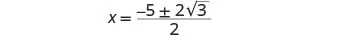
Solve x26x+5=0x26x+5=0 by using the Quadratic Formula.

Try It 10.57

Solve a22a15=0a22a15=0 by using the Quadratic Formula.

Try It 10.58

Solve b2+10b+24=0b2+10b+24=0 by using the Quadratic Formula.

When we solved quadratic equations by using the Square Root Property, we sometimes got answers that had radicals. That can happen, too, when using the Quadratic Formula. If we get a radical as a solution, the final answer must have the radical in its simplified form.

Example 10.30

Solve 4y25y3=04y25y3=0 by using the Quadratic Formula.

Try It 10.59

Solve 2p2+8p+5=02p2+8p+5=0 by using the Quadratic Formula.

Try It 10.60

Solve 5q211q+3=05q211q+3=0 by using the Quadratic Formula.

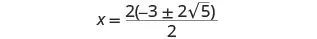
Example 10.31

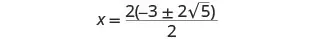
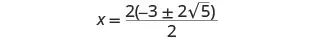
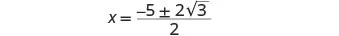
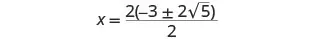
Solve 2x2+10x+11=02x2+10x+11=0 by using the Quadratic Formula.

Try It 10.61

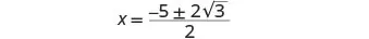
Solve 3m2+12m+7=03m2+12m+7=0 by using the Quadratic Formula.

Try It 10.62

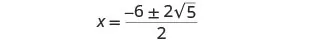
Solve 5n2+4n4=05n2+4n4=0 by using the Quadratic Formula.

We cannot take the square root of a negative number. So, when we substitute aa, bb, and cc into the Quadratic Formula, if the quantity inside the radical is negative, the quadratic equation has no real solution. We will see this in the next example.

Example 10.32

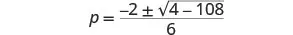
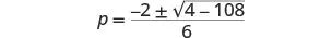
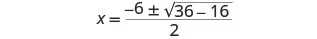
Solve 3p2+2p+9=03p2+2p+9=0 by using the Quadratic Formula.

Try It 10.63

Solve 4a23a+8=04a23a+8=0 by using the Quadratic Formula.

Try It 10.64

Solve 5b2+2b+4=05b2+2b+4=0 by using the Quadratic Formula.

The quadratic equations we have solved so far in this section were all written in standard form, ax2+bx+c=0ax2+bx+c=0. Sometimes, we will need to do some algebra to get the equation into standard form before we can use the Quadratic Formula.

Example 10.33

Solve x(x+6)+4=0x(x+6)+4=0 by using the Quadratic Formula.

Try It 10.65

Solve x(x+2)5=0x(x+2)5=0 by using the Quadratic Formula.

Try It 10.66

Solve y(3y1)2=0y(3y1)2=0 by using the Quadratic Formula.

When we solved linear equations, if an equation had too many fractions we ‘cleared the fractions’ by multiplying both sides of the equation by the LCD. This gave us an equivalent equation—without fractions—to solve. We can use the same strategy with quadratic equations.

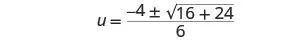
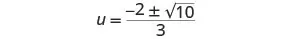
Example 10.34

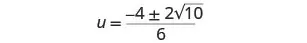
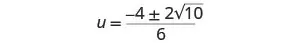
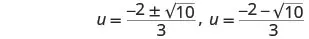
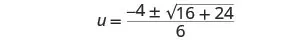
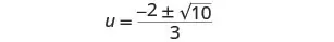
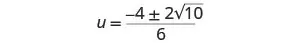
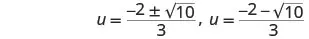
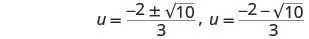
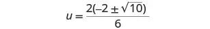
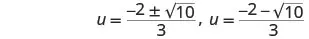
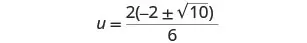
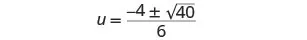
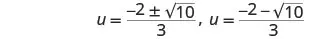
Solve 12u2+23u=1312u2+23u=13 by using the Quadratic Formula.

Try It 10.67

Solve 14c213c=11214c213c=112 by using the Quadratic Formula.

Try It 10.68

Solve 19d212d=1219d212d=12 by using the Quadratic Formula.

Think about the equation (x3)2=0(x3)2=0. We know from the Zero Products Principle that this equation has only one solution: x=3x=3.

We will see in the next example how using the Quadratic Formula to solve an equation with a perfect square also gives just one solution.

Example 10.35

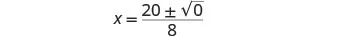
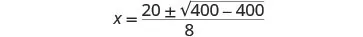
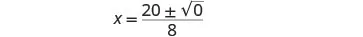
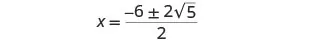
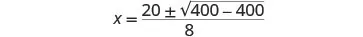
Solve 4x220x=−254x220x=−25 by using the Quadratic Formula.

Try It 10.69

Solve r2+10r+25=0r2+10r+25=0 by using the Quadratic Formula.

Try It 10.70

Solve 25t240t=−1625t240t=−16 by using the Quadratic Formula.

Use the Discriminant to Predict the Number of Solutions of a Quadratic Equation

When we solved the quadratic equations in the previous examples, sometimes we got two solutions, sometimes one solution, sometimes no real solutions. Is there a way to predict the number of solutions to a quadratic equation without actually solving the equation?

Yes, the quantity inside the radical of the Quadratic Formula makes it easy for us to determine the number of solutions. This quantity is called the discriminant.

Discriminant

In the Quadratic Formula x=b±b24ac2ax=b±b24ac2a, the quantity b24acb24ac is called the discriminant.

Let’s look at the discriminant of the equations in Example 10.28, Example 10.32, and Example 10.35, and the number of solutions to those quadratic equations.

Quadratic Equation (in standard form) Discriminant b24acb24ac Sign of the Discriminant Number of real solutions
Example 10.28 2x2+9x5=02x2+9x5=0 924·2(−5)=121924·2(−5)=121 + 2
Example 10.35 4x220x+25=04x220x+25=0 (−20)24·4·25=0(−20)24·4·25=0 0 1
Example 10.32 3p2+2p+9=03p2+2p+9=0 224·3·9=−104224·3·9=−104 0

When the discriminant is positive (x=b±+2a)(x=b±+2a) the quadratic equation has two solutions.

When the discriminant is zero (x=b±02a)(x=b±02a) the quadratic equation has one solution.

When the discriminant is negative (x=b±2a)(x=b±2a) the quadratic equation has no real solutions.

How To

Use the discriminant, b24acb24ac, to determine the number of solutions of a Quadratic Equation.

For a quadratic equation of the form ax2+bx+c=0ax2+bx+c=0, a0a0,

  • if b24ac>0b24ac>0, the equation has two solutions.
  • if b24ac=0b24ac=0, the equation has one solution.
  • if b24ac<0b24ac<0, the equation has no real solutions.

Example 10.36

Determine the number of solutions to each quadratic equation:

2v23v+6=02v23v+6=0 3x2+7x9=03x2+7x9=0 5n2+n+4=05n2+n+4=0 9y26y+1=09y26y+1=0

Try It 10.71

Determine the number of solutions to each quadratic equation:

8m23m+6=08m23m+6=0 5z2+6z2=05z2+6z2=0 9w2+24w+16=09w2+24w+16=0 9u22u+4=09u22u+4=0

Try It 10.72

Determine the number of solutions to each quadratic equation:

b2+7b13=0b2+7b13=0 5a26a+10=05a26a+10=0 4r220r+25=04r220r+25=0 7t211t+3=07t211t+3=0

Identify the Most Appropriate Method to Use to Solve a Quadratic Equation

We have used four methods to solve quadratic equations:

  • Factoring
  • Square Root Property
  • Completing the Square
  • Quadratic Formula

You can solve any quadratic equation by using the Quadratic Formula, but that is not always the easiest method to use.

How To

Identify the most appropriate method to solve a Quadratic Equation.

  1. Step 1. Try Factoring first. If the quadratic factors easily, this method is very quick.
  2. Step 2. Try the Square Root Property next. If the equation fits the form ax2=kax2=k or a(xh)2=ka(xh)2=k, it can easily be solved by using the Square Root Property.
  3. Step 3. Use the Quadratic Formula. Any quadratic equation can be solved by using the Quadratic Formula.

What about the method of completing the square? Most people find that method cumbersome and prefer not to use it. We needed to include it in this chapter because we completed the square in general to derive the Quadratic Formula. You will also use the process of completing the square in other areas of algebra.

Example 10.37

Identify the most appropriate method to use to solve each quadratic equation:

5z2=175z2=17 4x212x+9=04x212x+9=0 8u2+6u=118u2+6u=11

Try It 10.73

Identify the most appropriate method to use to solve each quadratic equation:

x2+6x+8=0x2+6x+8=0 (n3)2=16(n3)2=16 5p26p=95p26p=9

Try It 10.74

Identify the most appropriate method to use to solve each quadratic equation:

8a2+3a9=08a2+3a9=0 4b2+4b+1=04b2+4b+1=0 5c2=1255c2=125

Section 10.3 Exercises

Practice Makes Perfect

Solve Quadratic Equations Using the Quadratic Formula

In the following exercises, solve by using the Quadratic Formula.

99.

4 m 2 + m 3 = 0 4 m 2 + m 3 = 0

100.

4 n 2 9 n + 5 = 0 4 n 2 9 n + 5 = 0

101.

2 p 2 7 p + 3 = 0 2 p 2 7 p + 3 = 0

102.

3 q 2 + 8 q 3 = 0 3 q 2 + 8 q 3 = 0

103.

p 2 + 7 p + 12 = 0 p 2 + 7 p + 12 = 0

104.

q 2 + 3 q 18 = 0 q 2 + 3 q 18 = 0

105.

r 2 8 r 33 = 0 r 2 8 r 33 = 0

106.

t 2 + 13 t + 40 = 0 t 2 + 13 t + 40 = 0

107.

3 u 2 + 7 u 2 = 0 3 u 2 + 7 u 2 = 0

108.

6 z 2 9 z + 1 = 0 6 z 2 9 z + 1 = 0

109.

2 a 2 6 a + 3 = 0 2 a 2 6 a + 3 = 0

110.

5 b 2 + 2 b 4 = 0 5 b 2 + 2 b 4 = 0

111.

2 x 2 + 3 x + 9 = 0 2 x 2 + 3 x + 9 = 0

112.

6 y 2 5 y + 2 = 0 6 y 2 5 y + 2 = 0

113.

v ( v + 5 ) 10 = 0 v ( v + 5 ) 10 = 0

114.

3 w ( w 2 ) 8 = 0 3 w ( w 2 ) 8 = 0

115.

1 3 m 2 + 1 12 m = 1 4 1 3 m 2 + 1 12 m = 1 4

116.

1 3 n 2 + n = 1 2 1 3 n 2 + n = 1 2

117.

16 c 2 + 24 c + 9 = 0 16 c 2 + 24 c + 9 = 0

118.

25 d 2 60 d + 36 = 0 25 d 2 60 d + 36 = 0

119.

5 m 2 + 2 m 7 = 0 5 m 2 + 2 m 7 = 0

120.

8 n 2 3 n + 3 = 0 8 n 2 3 n + 3 = 0

121.

p 2 6 p 27 = 0 p 2 6 p 27 = 0

122.

25 q 2 + 30 q + 9 = 0 25 q 2 + 30 q + 9 = 0

123.

4 r 2 + 3 r 5 = 0 4 r 2 + 3 r 5 = 0

124.

3 t ( t 2 ) = 2 3 t ( t 2 ) = 2

125.

2 a 2 + 12 a + 5 = 0 2 a 2 + 12 a + 5 = 0

126.

4 d 2 7 d + 2 = 0 4 d 2 7 d + 2 = 0

127.

3 4 b 2 + 1 2 b = 3 8 3 4 b 2 + 1 2 b = 3 8

128.

1 9 c 2 + 2 3 c = 3 1 9 c 2 + 2 3 c = 3

129.

2 x 2 + 12 x 3 = 0 2 x 2 + 12 x 3 = 0

130.

16 y 2 + 8 y + 1 = 0 16 y 2 + 8 y + 1 = 0

Use the Discriminant to Predict the Number of Solutions of a Quadratic Equation

In the following exercises, determine the number of solutions to each quadratic equation.

131.


4x25x+16=04x25x+16=0
36y2+36y+9=036y2+36y+9=0
6m2+3m5=06m2+3m5=0
18n27n+3=018n27n+3=0

132.


9v215v+25=09v215v+25=0
100w2+60w+9=0100w2+60w+9=0
5c2+7c10=05c2+7c10=0
15d24d+8=015d24d+8=0

133.


r2+12r+36=0r2+12r+36=0
8t211t+5=08t211t+5=0
4u212u+9=04u212u+9=0
3v25v1=03v25v1=0

134.


25p2+10p+1=025p2+10p+1=0
7q23q6=07q23q6=0
7y2+2y+8=07y2+2y+8=0
25z260z+36=025z260z+36=0

Identify the Most Appropriate Method to Use to Solve a Quadratic Equation

In the following exercises, identify the most appropriate method (Factoring, Square Root, or Quadratic Formula) to use to solve each quadratic equation. Do not solve.

135.


x25x24=0x25x24=0
(y+5)2=12(y+5)2=12
14m2+3m=1114m2+3m=11

136.


(8v+3)2=81(8v+3)2=81
w29w22=0w29w22=0
4n210=64n210=6

137.


6a2+14=206a2+14=20
(x14)2=516(x14)2=516
y22y=8y22y=8

138.


8b2+15b=48b2+15b=4
59v223v=159v223v=1
(w+43)2=29(w+43)2=29

Everyday Math

139.

A flare is fired straight up from a ship at sea. Solve the equation 16(t213t+40)=016(t213t+40)=0 for tt, the number of seconds it will take for the flare to be at an altitude of 640 feet.

140.

An architect is designing a hotel lobby. She wants to have a triangular window looking out to an atrium, with the width of the window 6 feet more than the height. Due to energy restrictions, the area of the window must be 140 square feet. Solve the equation 12h2+3h=14012h2+3h=140 for hh, the height of the window.

Writing Exercises

141.

Solve the equation x2+10x=200x2+10x=200
by completing the square
using the Quadratic Formula
Which method do you prefer? Why?

142.

Solve the equation 12y2+23y=2412y2+23y=24
by completing the square
using the Quadratic Formula
Which method do you prefer? Why?

Self Check

After completing the exercises, use this checklist to evaluate your mastery of the objectives of this section.

This table has four rows and four columns. The first row is a header row and it labels each column. The first column is labeled "I can …", the second "Confidently", the third “With some help” and the last "No–I don’t get it". In the “I can…” column the next row reads “solve quadratic equations using the quadratic formula.” The next row reads “use the discriminant to predict the number of solutions of a quadratic equation.” and the last row reads “identify the most appropriate method to use to solve a quadratic equation.” The remaining columns are blank.

What does this checklist tell you about your mastery of this section? What steps will you take to improve?

Citation/Attribution

This book may not be used in the training of large language models or otherwise be ingested into large language models or generative AI offerings without OpenStax's permission.

Want to cite, share, or modify this book? This book uses the Creative Commons Attribution License and you must attribute OpenStax.

Attribution information
  • If you are redistributing all or part of this book in a print format, then you must include on every physical page the following attribution:

    Access for free at https://openstax.org/books/elementary-algebra/pages/1-introduction

  • If you are redistributing all or part of this book in a digital format, then you must include on every digital page view the following attribution:

    Access for free at https://openstax.org/books/elementary-algebra/pages/1-introduction

Citation information

© Feb 9, 2022 OpenStax. Textbook content produced by OpenStax is licensed under a Creative Commons Attribution License . The OpenStax name, OpenStax logo, OpenStax book covers, OpenStax CNX name, and OpenStax CNX logo are not subject to the Creative Commons license and may not be reproduced without the prior and express written consent of Rice University.