Skip to ContentGo to accessibility pageKeyboard shortcuts menu
OpenStax Logo
Elementary Algebra

10.2 Solve Quadratic Equations by Completing the Square

Elementary Algebra10.2 Solve Quadratic Equations by Completing the Square
Search for key terms or text.

Learning Objectives

By the end of this section, you will be able to:

  • Complete the square of a binomial expression
  • Solve quadratic equations of the form x2+bx+c=0x2+bx+c=0 by completing the square
  • Solve quadratic equations of the form ax2+bx+c=0ax2+bx+c=0 by completing the square

Be Prepared 10.2

Before you get started, take this readiness quiz. If you miss a problem, go back to the section listed and review the material.

  1. Simplify (x+12)2(x+12)2.
    If you missed this problem, review Example 6.47.
  2. Factor y218y+81y218y+81.
    If you missed this problem, review Example 7.42.
  3. Factor 5n2+40n+805n2+40n+80.
    If you missed this problem, review Example 7.46.

So far, we have solved quadratic equations by factoring and using the Square Root Property. In this section, we will solve quadratic equations by a process called ‘completing the square.’

Complete The Square of a Binomial Expression

In the last section, we were able to use the Square Root Property to solve the equation (y7)2=12(y7)2=12 because the left side was a perfect square.

(y7)2=12y7=±12y7=±23y=7±23(y7)2=12y7=±12y7=±23y=7±23

We also solved an equation in which the left side was a perfect square trinomial, but we had to rewrite it the form (xk)2(xk)2 in order to use the square root property.

x210x+25=18(x5)2=18x210x+25=18(x5)2=18

What happens if the variable is not part of a perfect square? Can we use algebra to make a perfect square?

Let’s study the binomial square pattern we have used many times. We will look at two examples.

(x+9)2(x+9)(x+9)x2+9x+9x+81x2+18x+81(y7)2(y7)(y7)y27y7y+49y214y+49(x+9)2(x+9)(x+9)x2+9x+9x+81x2+18x+81(y7)2(y7)(y7)y27y7y+49y214y+49

Binomial Squares Pattern

If a,ba,b are real numbers,

(a+b)2=a2+2ab+b2(a+b)2=a2+2ab+b2
(ab)2=a22ab+b2(ab)2=a22ab+b2

We can use this pattern to “make” a perfect square.

We will start with the expression x2+6xx2+6x. Since there is a plus sign between the two terms, we will use the (a+b)2(a+b)2 pattern.

a2+2ab+b2=(a+b)2a2+2ab+b2=(a+b)2

Notice that the first term of x2+6xx2+6x is a square, x2x2.

We now know a=xa=x.

What number can we add to x2+6xx2+6x to make a perfect square trinomial?

The image shows the expression a squared plus two a b plus b squared. Below it is the expression x squared plus six x plus a blank space. The x squared is below the a squared, the six x is below two a b and the blank is below the b squared.

The middle term of the Binomial Squares Pattern, 2ab2ab, is twice the product of the two terms of the binomial. This means twice the product of xx and some number is 6x6x. So, two times some number must be six. The number we need is 12·6=3.12·6=3. The second term in the binomial, b,b, must be 3.

The image is similar to the image above. It shows the expression a squared plus two a b plus b squared. Below it is the expression x squared plus two times three times x plus a blank space. The x squared is below the a squared, the two times three times x is below two a b and the blank is below the b squared.

We now know b=3b=3.

Now, we just square the second term of the binomial to get the last term of the perfect square trinomial, so we square three to get the last term, nine.

The image shows the expression a squared plus two a b plus b squared. Below it is the expression x squared plus six x plus nine.

We can now factor to

The image shows the expression quantity a plus b squared. Below it is the expression quantity x plus three squared.

So, we found that adding nine to x2+6xx2+6x ‘completes the square,’ and we write it as (x+3)2(x+3)2.

How To

Complete a square.

To complete the square of x2+bxx2+bx:

  1. Step 1. Identify bb, the coefficient of xx.
  2. Step 2. Find (12b)2(12b)2, the number to complete the square.
  3. Step 3. Add the (12b)2(12b)2 to x2+bxx2+bx.

Example 10.14

Complete the square to make a perfect square trinomial. Then, write the result as a binomial square.

x2+14xx2+14x

Try It 10.27

Complete the square to make a perfect square trinomial. Write the result as a binomial square.

y2+12yy2+12y

Try It 10.28

Complete the square to make a perfect square trinomial. Write the result as a binomial square.

z2+8zz2+8z

Example 10.15

Complete the square to make a perfect square trinomial. Then, write the result as a binomial squared. m226mm226m

Try It 10.29

Complete the square to make a perfect square trinomial. Write the result as a binomial square.

a220aa220a

Try It 10.30

Complete the square to make a perfect square trinomial. Write the result as a binomial square.

b24bb24b

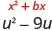
Example 10.16

Complete the square to make a perfect square trinomial. Then, write the result as a binomial squared.

u29uu29u

Try It 10.31

Complete the square to make a perfect square trinomial. Write the result as a binomial square.

m25mm25m

Try It 10.32

Complete the square to make a perfect square trinomial. Write the result as a binomial square.

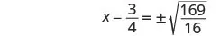
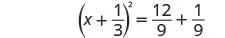
n2+13nn2+13n

Example 10.17

Complete the square to make a perfect square trinomial. Then, write the result as a binomial squared.

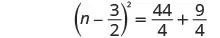
p2+12pp2+12p

Try It 10.33

Complete the square to make a perfect square trinomial. Write the result as a binomial square.

p2+14pp2+14p

Try It 10.34

Complete the square to make a perfect square trinomial. Write the result as a binomial square.

q223qq223q

Solve Quadratic Equations of the Form x2 + bx + c = 0 by completing the square

In solving equations, we must always do the same thing to both sides of the equation. This is true, of course, when we solve a quadratic equation by completing the square, too. When we add a term to one side of the equation to make a perfect square trinomial, we must also add the same term to the other side of the equation.

For example, if we start with the equation x2+6x=40x2+6x=40 and we want to complete the square on the left, we will add nine to both sides of the equation.

The image shows the equation x squared plus six x equals 40. Below that the equation is rewritten as x squared plus six x plus blank space equals 40 plus blank space. Below that the equation is rewritten again as x squared plus six x plus nine equals 40 plus nine.

Then, we factor on the left and simplify on the right.

(x+3)2=49(x+3)2=49

Now the equation is in the form to solve using the Square Root Property. Completing the square is a way to transform an equation into the form we need to be able to use the Square Root Property.

Example 10.18

How To Solve a Quadratic Equation of the Form x2+bx+c=0x2+bx+c=0 by Completing the Square

Solve x2+8x=48x2+8x=48 by completing the square.

Try It 10.35

Solve c2+4c=5c2+4c=5 by completing the square.

Try It 10.36

Solve d2+10d=−9d2+10d=−9 by completing the square.

How To

Solve a quadratic equation of the form x2+bx+c=0x2+bx+c=0 by completing the square.

  1. Step 1. Isolate the variable terms on one side and the constant terms on the other.
  2. Step 2. Find (12·b)2(12·b)2, the number to complete the square. Add it to both sides of the equation.
  3. Step 3. Factor the perfect square trinomial as a binomial square.
  4. Step 4. Use the Square Root Property.
  5. Step 5. Simplify the radical and then solve the two resulting equations.
  6. Step 6. Check the solutions.

Example 10.19

Solve y26y=16y26y=16 by completing the square.

Try It 10.37

Solve r24r=12r24r=12 by completing the square.

Try It 10.38

Solve t210t=11t210t=11 by completing the square.

Example 10.20

Solve x2+4x=−21x2+4x=−21 by completing the square.

Try It 10.39

Solve y210y=−35y210y=−35 by completing the square.

Try It 10.40

Solve z2+8z=−19z2+8z=−19 by completing the square.

In the previous example, there was no real solution because (x+k)2(x+k)2 was equal to a negative number.

Example 10.21

Solve p218p=−6p218p=−6 by completing the square.

Try It 10.41

Solve x216x=−16x216x=−16 by completing the square.

Try It 10.42

Solve y2+8y=11y2+8y=11 by completing the square.

We will start the next example by isolating the variable terms on the left side of the equation.

Example 10.22

Solve x2+10x+4=15x2+10x+4=15 by completing the square.

Try It 10.43

Solve a2+4a+9=30a2+4a+9=30 by completing the square.

Try It 10.44

Solve b2+8b4=16b2+8b4=16 by completing the square.

To solve the next equation, we must first collect all the variable terms to the left side of the equation. Then, we proceed as we did in the previous examples.

Example 10.23

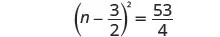
Solve n2=3n+11n2=3n+11 by completing the square.

Try It 10.45

Solve p2=5p+9p2=5p+9 by completing the square.

Try It 10.46

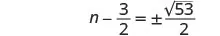
Solve q2=7q3q2=7q3 by completing the square.

Notice that the left side of the next equation is in factored form. But the right side is not zero, so we cannot use the Zero Product Property. Instead, we multiply the factors and then put the equation into the standard form to solve by completing the square.

Example 10.24

Solve (x3)(x+5)=9(x3)(x+5)=9 by completing the square.

Try It 10.47

Solve (c2)(c+8)=7(c2)(c+8)=7 by completing the square.

Try It 10.48

Solve (d7)(d+3)=56(d7)(d+3)=56 by completing the square.

Solve Quadratic Equations of the form ax2 + bx + c = 0 by completing the square

The process of completing the square works best when the leading coefficient is one, so the left side of the equation is of the form x2+bx+cx2+bx+c. If the x2x2 term has a coefficient, we take some preliminary steps to make the coefficient equal to one.

Sometimes the coefficient can be factored from all three terms of the trinomial. This will be our strategy in the next example.

Example 10.25

Solve 3x212x15=03x212x15=0 by completing the square.

Try It 10.49

Solve 2m2+16m8=02m2+16m8=0 by completing the square.

Try It 10.50

Solve 4n224n56=84n224n56=8 by completing the square.

To complete the square, the leading coefficient must be one. When the leading coefficient is not a factor of all the terms, we will divide both sides of the equation by the leading coefficient. This will give us a fraction for the second coefficient. We have already seen how to complete the square with fractions in this section.

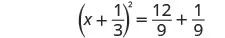
Example 10.26

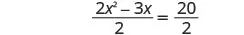
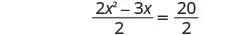
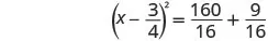
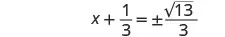
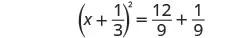
Solve 2x23x=202x23x=20 by completing the square.

Try It 10.51

Solve 3r22r=213r22r=21 by completing the square.

Try It 10.52

Solve 4t2+2t=204t2+2t=20 by completing the square.

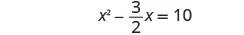
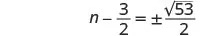
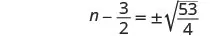
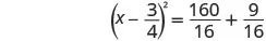
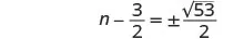
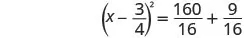
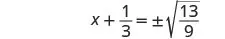
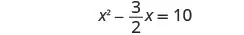
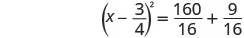
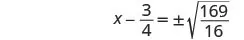
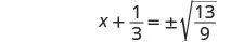
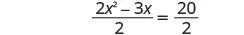
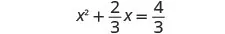
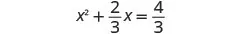
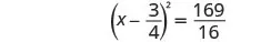
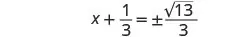
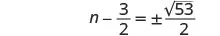
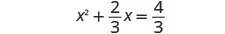
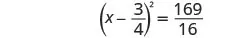
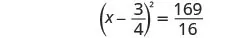
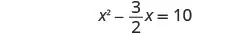
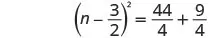
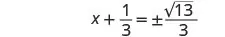
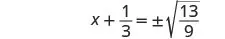
Example 10.27

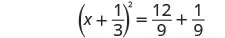
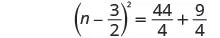
Solve 3x2+2x=43x2+2x=4 by completing the square.

Try It 10.53

Solve 4x2+3x=124x2+3x=12 by completing the square.

Try It 10.54

Solve 5y2+3y=105y2+3y=10 by completing the square.

Media

Access these online resources for additional instruction and practice with solving quadratic equations by completing the square:

Section 10.2 Exercises

Practice Makes Perfect

Complete the Square of a Binomial Expression

In the following exercises, complete the square to make a perfect square trinomial. Then, write the result as a binomial squared.

57.

a 2 + 10 a a 2 + 10 a

58.

b 2 + 12 b b 2 + 12 b

59.

m 2 + 18 m m 2 + 18 m

60.

n 2 + 16 n n 2 + 16 n

61.

m 2 24 m m 2 24 m

62.

n 2 16 n n 2 16 n

63.

p 2 22 p p 2 22 p

64.

q 2 6 q q 2 6 q

65.

x 2 9 x x 2 9 x

66.

y 2 + 11 y y 2 + 11 y

67.

p 2 1 3 p p 2 1 3 p

68.

q 2 + 3 4 q q 2 + 3 4 q

Solve Quadratic Equations of the Form x2+bx+c=0x2+bx+c=0 by Completing the Square

In the following exercises, solve by completing the square.

69.

v 2 + 6 v = 40 v 2 + 6 v = 40

70.

w 2 + 8 w = 65 w 2 + 8 w = 65

71.

u 2 + 2 u = 3 u 2 + 2 u = 3

72.

z 2 + 12 z = −11 z 2 + 12 z = −11

73.

c 2 12 c = 13 c 2 12 c = 13

74.

d 2 8 d = 9 d 2 8 d = 9

75.

x 2 20 x = 21 x 2 20 x = 21

76.

y 2 2 y = 8 y 2 2 y = 8

77.

m 2 + 4 m = −44 m 2 + 4 m = −44

78.

n 2 2 n = −3 n 2 2 n = −3

79.

r 2 + 6 r = −11 r 2 + 6 r = −11

80.

t 2 14 t = −50 t 2 14 t = −50

81.

a 2 10 a = −5 a 2 10 a = −5

82.

b 2 + 6 b = 41 b 2 + 6 b = 41

83.

u 2 14 u + 12 = −1 u 2 14 u + 12 = −1

84.

z 2 + 2 z 5 = 2 z 2 + 2 z 5 = 2

85.

v 2 = 9 v + 2 v 2 = 9 v + 2

86.

w 2 = 5 w 1 w 2 = 5 w 1

87.

( x + 6 ) ( x 2 ) = 9 ( x + 6 ) ( x 2 ) = 9

88.

( y + 9 ) ( y + 7 ) = 79 ( y + 9 ) ( y + 7 ) = 79

Solve Quadratic Equations of the Form ax2+bx+c=0ax2+bx+c=0 by Completing the Square

In the following exercises, solve by completing the square.

89.

3 m 2 + 30 m 27 = 6 3 m 2 + 30 m 27 = 6

90.

2 n 2 + 4 n 26 = 0 2 n 2 + 4 n 26 = 0

91.

2 c 2 + c = 6 2 c 2 + c = 6

92.

3 d 2 4 d = 15 3 d 2 4 d = 15

93.

2 p 2 + 7 p = 14 2 p 2 + 7 p = 14

94.

3 q 2 5 q = 9 3 q 2 5 q = 9

Everyday Math

95.

Rafi is designing a rectangular playground to have an area of 320 square feet. He wants one side of the playground to be four feet longer than the other side. Solve the equation p2+4p=320p2+4p=320 for pp, the length of one side of the playground. What is the length of the other side?

96.

Yvette wants to put a square swimming pool in the corner of her backyard. She will have a 3 foot deck on the south side of the pool and a 9 foot deck on the west side of the pool. She has a total area of 1080 square feet for the pool and two decks. Solve the equation (s+3)(s+9)=1080(s+3)(s+9)=1080 for ss, the length of a side of the pool.

Writing Exercises

97.

Solve the equation x2+10x=−25x2+10x=−25 by using the Square Root Property and by completing the square. Which method do you prefer? Why?

98.

Solve the equation y2+8y=48y2+8y=48 by completing the square and explain all your steps.

Self Check

After completing the exercises, use this checklist to evaluate your mastery of the objectives of this section.

This table has four rows and four columns. The first row is a header row and it labels each column. The first column is labeled “I can ...”, the second “Confidently”, the third “With some help” and the last “No–I don’t get it”. In the “I can...” column the next row reads “complete the square of a binomial expression.” The next row reads “solve quadratic equations of the form x squared plus b x plus c equals zero by completing the square.” and the last row reads “solve quadratic equations of the form a x squared plus b x plus c equals zero by completing the square.” The remaining columns are blank.

After reviewing this checklist, what will you do to become confident for all objectives?

Citation/Attribution

This book may not be used in the training of large language models or otherwise be ingested into large language models or generative AI offerings without OpenStax's permission.

Want to cite, share, or modify this book? This book uses the Creative Commons Attribution License and you must attribute OpenStax.

Attribution information
  • If you are redistributing all or part of this book in a print format, then you must include on every physical page the following attribution:

    Access for free at https://openstax.org/books/elementary-algebra/pages/1-introduction

  • If you are redistributing all or part of this book in a digital format, then you must include on every digital page view the following attribution:

    Access for free at https://openstax.org/books/elementary-algebra/pages/1-introduction

Citation information

© Feb 9, 2022 OpenStax. Textbook content produced by OpenStax is licensed under a Creative Commons Attribution License . The OpenStax name, OpenStax logo, OpenStax book covers, OpenStax CNX name, and OpenStax CNX logo are not subject to the Creative Commons license and may not be reproduced without the prior and express written consent of Rice University.