Skip to ContentGo to accessibility pageKeyboard shortcuts menu
OpenStax Logo
Elementary Algebra

6.4 Special Products

Elementary Algebra6.4 Special Products
Search for key terms or text.

Learning Objectives

By the end of this section, you will be able to:

  • Square a binomial using the Binomial Squares Pattern
  • Multiply conjugates using the Product of Conjugates Pattern
  • Recognize and use the appropriate special product pattern

Be Prepared 6.4

Before you get started, take this readiness quiz.

  1. Simplify: 9292 (−9)2(−9)2 92.92.
    If you missed this problem, review Example 1.50.

Square a Binomial Using the Binomial Squares Pattern

Mathematicians like to look for patterns that will make their work easier. A good example of this is squaring binomials. While you can always get the product by writing the binomial twice and using the methods of the last section, there is less work to do if you learn to use a pattern.

Let's start by looking at (x+9)2(x+9)2.
What does this mean? (x+9)2(x+9)2
It means to multiply (x+9)(x+9) by itself. (x+9)(x+9)(x+9)(x+9)
Then, using FOIL, we get: x2+9x+9x+81x2+9x+9x+81
Combining like terms gives: x2+18x+81x2+18x+81
Here's another one: (y7)2(y7)2
Multiply (y7)(y7) by itself. (y7)(y7)(y7)(y7)
Using FOIL, we get: y27y7y+49y27y7y+49
And combining like terms: y214y+49y214y+49
And one more: (2x+3)2(2x+3)2 Multiply. (2x+3)(2x+3)(2x+3)(2x+3) Use FOIL: 4x2+6x+6x+94x2+6x+6x+9 Combine like terms. 4x2+12x+94x2+12x+9

Look at these results. Do you see any patterns?

What about the number of terms? In each example we squared a binomial and the result was a trinomial.

(a+b)2=____+____+____(a+b)2=____+____+____

Now look at the first term in each result. Where did it come from?

This figure has three columns. The first column contains the expression x plus 9, in parentheses, squared. Below this is the product of x plus 9 and x plus 9. Below this is x squared plus 9x plus 9x plus 81. Below this is x squared plus 18x plus 81. The second column contains the expression y minus 7, in parentheses, squared. Below this is the product of y minus 7 and y minus 7. Below this is y squared minus 7y minus 7y plus 49. Below this is the expression y squared minus 14y plus 49. The third column contains the expression 2x plus 3, in parentheses, squared. Below this is the product of 2x plus 3 and 2x plus 3. Below this is 4x squared plus 6x plus 6x plus 9. Below this is 4x squared plus 12x plus 9.

The first term is the product of the first terms of each binomial. Since the binomials are identical, it is just the square of the first term!

(a+b)2=a2+____+____(a+b)2=a2+____+____

To get the first term of the product, square the first term.

Where did the last term come from? Look at the examples and find the pattern.

The last term is the product of the last terms, which is the square of the last term.

(a+b)2=____+____+b2(a+b)2=____+____+b2

To get the last term of the product, square the last term.

Finally, look at the middle term. Notice it came from adding the “outer” and the “inner” terms—which are both the same! So the middle term is double the product of the two terms of the binomial.

(a+b)2=____+2ab+____(ab)2=____2ab+____(a+b)2=____+2ab+____(ab)2=____2ab+____

To get the middle term of the product, multiply the terms and double their product.

Putting it all together:

Binomial Squares Pattern

If aandbaandb are real numbers,

(a+b)2=a2+2ab+b2(ab)2=a22ab+b2(a+b)2=a2+2ab+b2(ab)2=a22ab+b2
No Alt Text

To square a binomial:

  • square the first term
  • square the last term
  • double their product

A number example helps verify the pattern.

(10+4)2(10+4)2
Square the first term. 102+___+102+___+
Square the last term. 102+___+42102+___+42
Double their product. 102+2·10·4+42102+2·10·4+42
Simplify. 100+80+16100+80+16
Simplify. 196196

To multiply (10+4)2(10+4)2 usually you’d follow the Order of Operations.

(10+4)2(14)2196(10+4)2(14)2196

The pattern works!

Example 6.47

Multiply: (x+5)2.(x+5)2.

Try It 6.93

Multiply: (x+9)2.(x+9)2.

Try It 6.94

Multiply: (y+11)2.(y+11)2.

Example 6.48

Multiply: (y3)2.(y3)2.

Try It 6.95

Multiply: (x9)2.(x9)2.

Try It 6.96

Multiply: (p13)2.(p13)2.

Example 6.49

Multiply: (4x+6)2.(4x+6)2.

Try It 6.97

Multiply: (6x+3)2.(6x+3)2.

Try It 6.98

Multiply: (4x+9)2.(4x+9)2.

Example 6.50

Multiply: (2x3y)2.(2x3y)2.

Try It 6.99

Multiply: (2cd)2.(2cd)2.

Try It 6.100

Multiply: (4x5y)2.(4x5y)2.

Example 6.51

Multiply: (4u3+1)2.(4u3+1)2.

Try It 6.101

Multiply: (2x2+1)2.(2x2+1)2.

Try It 6.102

Multiply: (3y3+2)2.(3y3+2)2.

Multiply Conjugates Using the Product of Conjugates Pattern

We just saw a pattern for squaring binomials that we can use to make multiplying some binomials easier. Similarly, there is a pattern for another product of binomials. But before we get to it, we need to introduce some vocabulary.

What do you notice about these pairs of binomials?

(x9)(x+9)(y8)(y+8)(2x5)(2x+5)(x9)(x+9)(y8)(y+8)(2x5)(2x+5)

Look at the first term of each binomial in each pair.

This figure has three products. The first is x minus 9, in parentheses, times x plus 9, in parentheses. The second is y minus 8, in parentheses, times y plus 8, in parentheses. The last is 2x minus 5, in parentheses, times 2x plus 5, in parentheses

Notice the first terms are the same in each pair.

Look at the last terms of each binomial in each pair.

This figure has three products. The first is x minus 9, in parentheses, times x plus 9, in parentheses. The second is y minus 8, in parentheses, times y plus 8, in parentheses. The last is 2x minus 5, in parentheses, times 2x plus 5, in parentheses.

Notice the last terms are the same in each pair.

Notice how each pair has one sum and one difference.

This figure has three products. The first is x minus 9, in parentheses, times x plus 9, in parentheses. Below the x minus 9 is the word “difference”. Below x plus 9 is the word “sum”. The second is y minus 8, in parentheses, times y plus 8, in parentheses. Below y minus 8 is the word “difference”. Below y plus 8 is the word “sum”. The last is 2x minus 5, in parentheses, times 2x plus 5, in parentheses. Below the 2x minus 5 is the word “difference” and below 2x plus 5 is the word “sum”.

A pair of binomials that each have the same first term and the same last term, but one is a sum and one is a difference has a special name. It is called a conjugate pair and is of the form (ab),(a+b)(ab),(a+b).

Conjugate Pair

A conjugate pair is two binomials of the form

(ab),(a+b).(ab),(a+b).

The pair of binomials each have the same first term and the same last term, but one binomial is a sum and the other is a difference.

There is a nice pattern for finding the product of conjugates. You could, of course, simply FOIL to get the product, but using the pattern makes your work easier.

Let’s look for the pattern by using FOIL to multiply some conjugate pairs.

(x9)(x+9)(y8)(y+8)(2x5)(2x+5)x2+9x9x81y2+8y8y644x2+10x10x25x281y2644x225(x9)(x+9)(y8)(y+8)(2x5)(2x+5)x2+9x9x81y2+8y8y644x2+10x10x25x281y2644x225
This figure has three columns. The first column contains the product of x plus 9 and x minus 9. Below this is the expression x squared minus 9x plus 9x minus 81. Below this is x squared minus 81. The second column contains the product of y minus 8 and y plus 8. Below this is the expression y squared plus 8y minus 8y minus 64. Below this is y squared minus 64. The third column contains the product of 2x minus 5 and 2x plus 5. Below this is the expression 4x squared plus 10x minus 10x minus 25. Below this is 4x squared minus 25.

Each first term is the product of the first terms of the binomials, and since they are identical it is the square of the first term.

(a+b)(ab)=a2____To get thefirst term, square the first term.(a+b)(ab)=a2____To get thefirst term, square the first term.

The last term came from multiplying the last terms, the square of the last term.

(a+b)(ab)=a2b2To get thelast term, square the last term.(a+b)(ab)=a2b2To get thelast term, square the last term.

What do you observe about the products?

The product of the two binomials is also a binomial! Most of the products resulting from FOIL have been trinomials.

Why is there no middle term? Notice the two middle terms you get from FOIL combine to 0 in every case, the result of one addition and one subtraction.

The product of conjugates is always of the form a2b2a2b2. This is called a difference of squares.

This leads to the pattern:

Product of Conjugates Pattern

If aandbaandb are real numbers,

This figure is divided into two sides. On the left side is the following formula: the product of a minus b and a plus b equals a squared minus b squared. On the right side is the same formula labeled: a minus b and a plus b are labeled “conjugates”, the a squared and b squared are labeled squares and the minus sign between the squares is labeled “difference”. Therefore, the product of two conjugates is called a difference of squares.

The product is called a difference of squares.

To multiply conjugates, square the first term, square the last term, and write the product as a difference of squares.

Let’s test this pattern with a numerical example.

(102)(10+2)(102)(10+2)
It is the product of conjudgates, so the result will be the difference of two squares. ________________
Square the first term. 102____102____
Square the last term. 1022210222
Simplify. 10041004
Simplify. 9696
What do you get using the order of operations?
(102)(10+2) (8)(12) 96 (102)(10+2) (8)(12) 96

Notice, the result is the same!

Example 6.52

Multiply: (x8)(x+8).(x8)(x+8).

Try It 6.103

Multiply: (x5)(x+5).(x5)(x+5).

Try It 6.104

Multiply: (w3)(w+3).(w3)(w+3).

Example 6.53

Multiply: (2x+5)(2x5).(2x+5)(2x5).

Try It 6.105

Multiply: (6x+5)(6x5).(6x+5)(6x5).

Try It 6.106

Multiply: (2x+7)(2x7).(2x+7)(2x7).

The binomials in the next example may look backwards – the variable is in the second term. But the two binomials are still conjugates, so we use the same pattern to multiply them.

Example 6.54

Find the product: (3+5x)(35x).(3+5x)(35x).

Try It 6.107

Multiply: (7+4x)(74x).(7+4x)(74x).

Try It 6.108

Multiply: (92y)(9+2y).(92y)(9+2y).

Now we’ll multiply conjugates that have two variables.

Example 6.55

Find the product: (5m9n)(5m+9n).(5m9n)(5m+9n).

Try It 6.109

Find the product: (4p7q)(4p+7q).(4p7q)(4p+7q).

Try It 6.110

Find the product: (3xy)(3x+y).(3xy)(3x+y).

Example 6.56

Find the product: (cd8)(cd+8).(cd8)(cd+8).

Try It 6.111

Find the product: (xy6)(xy+6).(xy6)(xy+6).

Try It 6.112

Find the product: (ab9)(ab+9).(ab9)(ab+9).

Example 6.57

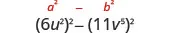
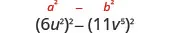
Find the product: (6u211v5)(6u2+11v5).(6u211v5)(6u2+11v5).

Try It 6.113

Find the product: (3x24y3)(3x2+4y3).(3x24y3)(3x2+4y3).

Try It 6.114

Find the product: (2m25n3)(2m2+5n3).(2m25n3)(2m2+5n3).

Recognize and Use the Appropriate Special Product Pattern

We just developed special product patterns for Binomial Squares and for the Product of Conjugates. The products look similar, so it is important to recognize when it is appropriate to use each of these patterns and to notice how they differ. Look at the two patterns together and note their similarities and differences.

Comparing the Special Product Patterns

Binomial Squares Product of Conjugates
(a+b)2=a2+2ab+b2(a+b)2=a2+2ab+b2 (ab)(a+b)=a2b2(ab)(a+b)=a2b2
(ab)2=a22ab+b2(ab)2=a22ab+b2
- Squaring a binomial - Multiplying conjugates
- Product is a trinomial - Product is a binomial
- Inner and outer terms with FOIL are the same. - Inner and outer terms with FOIL are opposites.
- Middle term is double the product of the terms. - There is no middle term.

Example 6.58

Choose the appropriate pattern and use it to find the product:

(2x3)(2x+3)(2x3)(2x+3) (8x5)2(8x5)2 (6m+7)2(6m+7)2 (5x6)(6x+5)(5x6)(6x+5)

Try It 6.115

Choose the appropriate pattern and use it to find the product:

(9b2)(2b+9)(9b2)(2b+9) (9p4)2(9p4)2 (7y+1)2(7y+1)2 (4r3)(4r+3)(4r3)(4r+3)

Try It 6.116

Choose the appropriate pattern and use it to find the product:

(6x+7)2(6x+7)2 (3x4)(3x+4)(3x4)(3x+4) (2x5)(5x2)(2x5)(5x2) (6n1)2(6n1)2

Media

Access these online resources for additional instruction and practice with special products:

Section 6.4 Exercises

Practice Makes Perfect

Square a Binomial Using the Binomial Squares Pattern

In the following exercises, square each binomial using the Binomial Squares Pattern.

302.

( w + 4 ) 2 ( w + 4 ) 2

303.

( q + 12 ) 2 ( q + 12 ) 2

304.

( y + 1 4 ) 2 ( y + 1 4 ) 2

305.

( x + 2 3 ) 2 ( x + 2 3 ) 2

306.

( b 7 ) 2 ( b 7 ) 2

307.

( y 6 ) 2 ( y 6 ) 2

308.

( m 15 ) 2 ( m 15 ) 2

309.

( p 13 ) 2 ( p 13 ) 2

310.

( 3 d + 1 ) 2 ( 3 d + 1 ) 2

311.

( 4 a + 10 ) 2 ( 4 a + 10 ) 2

312.

( 2 q + 1 3 ) 2 ( 2 q + 1 3 ) 2

313.

( 3 z + 1 5 ) 2 ( 3 z + 1 5 ) 2

314.

( 3 x y ) 2 ( 3 x y ) 2

315.

( 2 y 3 z ) 2 ( 2 y 3 z ) 2

316.

( 1 5 x 1 7 y ) 2 ( 1 5 x 1 7 y ) 2

317.

( 1 8 x 1 9 y ) 2 ( 1 8 x 1 9 y ) 2

318.

( 3 x 2 + 2 ) 2 ( 3 x 2 + 2 ) 2

319.

( 5 u 2 + 9 ) 2 ( 5 u 2 + 9 ) 2

320.

( 4 y 3 2 ) 2 ( 4 y 3 2 ) 2

321.

( 8 p 3 3 ) 2 ( 8 p 3 3 ) 2

Multiply Conjugates Using the Product of Conjugates Pattern

In the following exercises, multiply each pair of conjugates using the Product of Conjugates Pattern.

322.

( m 7 ) ( m + 7 ) ( m 7 ) ( m + 7 )

323.

( c 5 ) ( c + 5 ) ( c 5 ) ( c + 5 )

324.

( x + 3 4 ) ( x 3 4 ) ( x + 3 4 ) ( x 3 4 )

325.

( b + 6 7 ) ( b 6 7 ) ( b + 6 7 ) ( b 6 7 )

326.

( 5 k + 6 ) ( 5 k 6 ) ( 5 k + 6 ) ( 5 k 6 )

327.

( 8 j + 4 ) ( 8 j 4 ) ( 8 j + 4 ) ( 8 j 4 )

328.

( 11 k + 4 ) ( 11 k 4 ) ( 11 k + 4 ) ( 11 k 4 )

329.

( 9 c + 5 ) ( 9 c 5 ) ( 9 c + 5 ) ( 9 c 5 )

330.

( 11 b ) ( 11 + b ) ( 11 b ) ( 11 + b )

331.

( 13 q ) ( 13 + q ) ( 13 q ) ( 13 + q )

332.

( 5 3 x ) ( 5 + 3 x ) ( 5 3 x ) ( 5 + 3 x )

333.

( 4 6 y ) ( 4 + 6 y ) ( 4 6 y ) ( 4 + 6 y )

334.

( 9 c 2 d ) ( 9 c + 2 d ) ( 9 c 2 d ) ( 9 c + 2 d )

335.

( 7 w + 10 x ) ( 7 w 10 x ) ( 7 w + 10 x ) ( 7 w 10 x )

336.

( m + 2 3 n ) ( m 2 3 n ) ( m + 2 3 n ) ( m 2 3 n )

337.

( p + 4 5 q ) ( p 4 5 q ) ( p + 4 5 q ) ( p 4 5 q )

338.

( a b 4 ) ( a b + 4 ) ( a b 4 ) ( a b + 4 )

339.

( x y 9 ) ( x y + 9 ) ( x y 9 ) ( x y + 9 )

340.

( u v 3 5 ) ( u v + 3 5 ) ( u v 3 5 ) ( u v + 3 5 )

341.

( r s 2 7 ) ( r s + 2 7 ) ( r s 2 7 ) ( r s + 2 7 )

342.

( 2 x 2 3 y 4 ) ( 2 x 2 + 3 y 4 ) ( 2 x 2 3 y 4 ) ( 2 x 2 + 3 y 4 )

343.

( 6 m 3 4 n 5 ) ( 6 m 3 + 4 n 5 ) ( 6 m 3 4 n 5 ) ( 6 m 3 + 4 n 5 )

344.

( 12 p 3 11 q 2 ) ( 12 p 3 + 11 q 2 ) ( 12 p 3 11 q 2 ) ( 12 p 3 + 11 q 2 )

345.

( 15 m 2 8 n 4 ) ( 15 m 2 + 8 n 4 ) ( 15 m 2 8 n 4 ) ( 15 m 2 + 8 n 4 )

Recognize and Use the Appropriate Special Product Pattern

In the following exercises, find each product.

346.


(p3)(p+3)(p3)(p+3)
(t9)2(t9)2
(m+n)2(m+n)2
(2x+y)(x2y)(2x+y)(x2y)

347.
  1. (2r+12)2(2r+12)2
  2. (3p+8)(3p8)(3p+8)(3p8)
  3. (7a+b)(a7b)(7a+b)(a7b)
  4. (k6)2(k6)2
348.
  1. (a57b)2(a57b)2
  2. (x2+8y)(8xy2)(x2+8y)(8xy2)
  3. (r6+s6)(r6s6)(r6+s6)(r6s6)
  4. (y4+2z)2(y4+2z)2
349.
  1. (x5+y5)(x5y5)(x5+y5)(x5y5)
  2. (m38n)2(m38n)2
  3. (9p+8q)2(9p+8q)2
  4. (r2s3)(r3+s2)(r2s3)(r3+s2)

Everyday Math

350.

Mental math You can use the product of conjugates pattern to multiply numbers without a calculator. Say you need to multiply 47 times 53. Think of 47 as 503503 and 53 as 50+350+3.

  1. Multiply (503)(50+3)(503)(50+3) by using the product of conjugates pattern, (ab)(a+b)=a2b2(ab)(a+b)=a2b2.
  2. Multiply 47·5347·53 without using a calculator.
  3. Which way is easier for you? Why?
351.

Mental math You can use the binomial squares pattern to multiply numbers without a calculator. Say you need to square 65. Think of 65 as 60+560+5.

  1. Multiply (60+5)2(60+5)2 by using the binomial squares pattern, (a+b)2=a2+2ab+b2(a+b)2=a2+2ab+b2.
  2. Square 65 without using a calculator.
  3. Which way is easier for you? Why?

Writing Exercises

352.

How do you decide which pattern to use?

353.

Why does (a+b)2(a+b)2 result in a trinomial, but (ab)(a+b)(ab)(a+b) result in a binomial?

354.

Marta did the following work on her homework paper:

( 3 y ) 2 3 2 y 2 9 y 2 ( 3 y ) 2 3 2 y 2 9 y 2

Explain what is wrong with Marta’s work.

355.

Use the order of operations to show that (3+5)2(3+5)2 is 64, and then use that numerical example to explain why (a+b)2a2+b2(a+b)2a2+b2.

Self Check

After completing the exercises, use this checklist to evaluate your mastery of the objectives of this section.

This is a table that has four rows and four columns. In the first row, which is a header row, the cells read from left to right “I can…,” “Confidently,” “With some help,” and “No-I don’t get it!” The first column below “I can…” reads “square a binomial using the binomial squares pattern,” “multiply conjugates using the product of conjugates pattern,” and “recognize and use the appropriate special product pattern.” The rest of the cells are blank.

On a scale of 1-10, how would you rate your mastery of this section in light of your responses on the checklist? How can you improve this?

Citation/Attribution

This book may not be used in the training of large language models or otherwise be ingested into large language models or generative AI offerings without OpenStax's permission.

Want to cite, share, or modify this book? This book uses the Creative Commons Attribution License and you must attribute OpenStax.

Attribution information
  • If you are redistributing all or part of this book in a print format, then you must include on every physical page the following attribution:

    Access for free at https://openstax.org/books/elementary-algebra/pages/1-introduction

  • If you are redistributing all or part of this book in a digital format, then you must include on every digital page view the following attribution:

    Access for free at https://openstax.org/books/elementary-algebra/pages/1-introduction

Citation information

© Feb 9, 2022 OpenStax. Textbook content produced by OpenStax is licensed under a Creative Commons Attribution License . The OpenStax name, OpenStax logo, OpenStax book covers, OpenStax CNX name, and OpenStax CNX logo are not subject to the Creative Commons license and may not be reproduced without the prior and express written consent of Rice University.