Skip to ContentGo to accessibility pageKeyboard shortcuts menu
OpenStax Logo
Elementary Algebra 2e

8.3 Add and Subtract Rational Expressions with a Common Denominator

Elementary Algebra 2e8.3 Add and Subtract Rational Expressions with a Common Denominator
Search for key terms or text.

Learning Objectives

By the end of this section, you will be able to:

  • Add rational expressions with a common denominator
  • Subtract rational expressions with a common denominator
  • Add and subtract rational expressions whose denominators are opposites

Be Prepared 8.9

Before you get started, take this readiness quiz.

If you miss a problem, go back to the section listed and review the material.

Add: y3+93.y3+93.
If you missed this problem, review Example 1.77.

Be Prepared 8.10

Subtract: 10x2x.10x2x.
If you missed this problem, review Example 1.79.

Be Prepared 8.11

Factor completely: 8n520n3.8n520n3.
If you missed this problem, review Example 7.59.

Be Prepared 8.12

Factor completely: 45a35ab2.45a35ab2.
If you missed this problem, review Example 7.62.



Add Rational Expressions with a Common Denominator

What is the first step you take when you add numerical fractions? You check if they have a common denominator. If they do, you add the numerators and place the sum over the common denominator. If they do not have a common denominator, you find one before you add.

It is the same with rational expressions. To add rational expressions, they must have a common denominator. When the denominators are the same, you add the numerators and place the sum over the common denominator.

Rational Expression Addition

If p,q,andrp,q,andr are polynomials where r0r0, then

pr+qr=p+qrpr+qr=p+qr

To add rational expressions with a common denominator, add the numerators and place the sum over the common denominator.

We will add two numerical fractions first, to remind us of how this is done.

Example 8.30

Add: 518+718.518+718.

Try It 8.59

Add: 716+516.716+516.

Try It 8.60

Add: 310+110.310+110.

Remember, we do not allow values that would make the denominator zero. What value of yy should be excluded in the next example?

Example 8.31

Add: 3y4y3+74y3.3y4y3+74y3.

Try It 8.61

Add: 5x2x+3+22x+3.5x2x+3+22x+3.

Try It 8.62

Add: xx2+1x2.xx2+1x2.

Example 8.32

Add: 7x+12x+3+x2x+3.7x+12x+3+x2x+3.

Try It 8.63

Add: 9x+14x+7+x2x+7.9x+14x+7+x2x+7.

Try It 8.64

Add: x2+8xx+5+15x+5.x2+8xx+5+15x+5.

Subtract Rational Expressions with a Common Denominator

To subtract rational expressions, they must also have a common denominator. When the denominators are the same, you subtract the numerators and place the difference over the common denominator.

Rational Expression Subtraction

If p,q,andrp,q,andr are polynomials where r0r0, then

prqr=pqrprqr=pqr

To subtract rational expressions, subtract the numerators and place the difference over the common denominator.

We always simplify rational expressions. Be sure to factor, if possible, after you subtract the numerators so you can identify any common factors.

Example 8.33

Subtract: n2n10100n10.n2n10100n10.

Try It 8.65

Subtract: x2x+39x+3.x2x+39x+3.

Try It 8.66

Subtract: 4x22x5252x5.4x22x5252x5.

Be careful of the signs when you subtract a binomial!

Example 8.34

Subtract: y2y62y+24y6.y2y62y+24y6.

Try It 8.67

Subtract: n2n4n+12n4.n2n4n+12n4.

Try It 8.68

Subtract: y2y19y8y1.y2y19y8y1.

Example 8.35

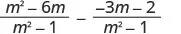
Subtract: 5x27x+3x23x184x2+x9x23x18.5x27x+3x23x184x2+x9x23x18.

Try It 8.69

Subtract: 4x211x+8x23x+23x2+x3x23x+2.4x211x+8x23x+23x2+x3x23x+2.

Try It 8.70

Subtract: 6x2x+20x2815x2+11x7x281.6x2x+20x2815x2+11x7x281.

Add and Subtract Rational Expressions whose Denominators are Opposites

When the denominators of two rational expressions are opposites, it is easy to get a common denominator. We just have to multiply one of the fractions by −1−1−1−1.

Let’s see how this works.

.
Multiply the second fraction by −1−1−1−1. .
The denominators are the same. .
Simplify. .

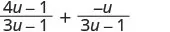
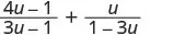
Example 8.36

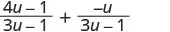
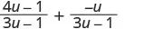
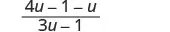
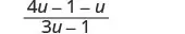
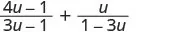
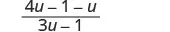
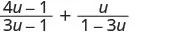
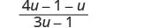
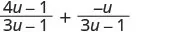
Add: 4u13u1+u13u.4u13u1+u13u.

Try It 8.71

Add: 8x152x5+2x52x.8x152x5+2x52x.

Try It 8.72

Add: 6y2+7y104y7+2y2+2y+1174y.6y2+7y104y7+2y2+2y+1174y.

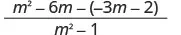
Example 8.37

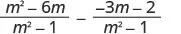
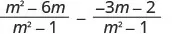
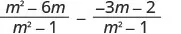
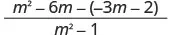
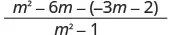
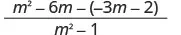
Subtract: m26mm213m+21m2.m26mm213m+21m2.

Try It 8.73

Subtract: y25yy246y64y2.y25yy246y64y2.

Try It 8.74

Subtract: 2n2+8n1n21n27n11n2.2n2+8n1n21n27n11n2.

Section 8.3 Exercises

Practice Makes Perfect

Add Rational Expressions with a Common Denominator

In the following exercises, add.

129.

2 15 + 7 15 2 15 + 7 15

130.

4 21 + 3 21 4 21 + 3 21

131.

7 24 + 11 24 7 24 + 11 24

132.

7 36 + 13 36 7 36 + 13 36

133.

3 a a b + 1 a b 3 a a b + 1 a b

134.

3 c 4 c 5 + 5 4 c 5 3 c 4 c 5 + 5 4 c 5

135.

d d + 8 + 5 d + 8 d d + 8 + 5 d + 8

136.

7 m 2 m + n + 4 2 m + n 7 m 2 m + n + 4 2 m + n

137.

p 2 + 10 p p + 2 + 16 p + 2 p 2 + 10 p p + 2 + 16 p + 2

138.

q 2 + 12 q q + 3 + 27 q + 3 q 2 + 12 q q + 3 + 27 q + 3

139.

2 r 2 2 r 1 + 15 r 8 2 r 1 2 r 2 2 r 1 + 15 r 8 2 r 1

140.

3 s 2 3 s 2 + 13 s 10 3 s 2 3 s 2 3 s 2 + 13 s 10 3 s 2

141.

8 t 2 t + 4 + 32 t t + 4 8 t 2 t + 4 + 32 t t + 4

142.

6 v 2 v + 5 + 30 v v + 5 6 v 2 v + 5 + 30 v v + 5

143.

2 w 2 w 2 16 + 8 w w 2 16 2 w 2 w 2 16 + 8 w w 2 16

144.

7 x 2 x 2 9 + 21 x x 2 9 7 x 2 x 2 9 + 21 x x 2 9

Subtract Rational Expressions with a Common Denominator

In the following exercises, subtract.

145.

y 2 y + 8 64 y + 8 y 2 y + 8 64 y + 8

146.

z 2 z + 2 4 z + 2 z 2 z + 2 4 z + 2

147.

9 a 2 3 a 7 49 3 a 7 9 a 2 3 a 7 49 3 a 7

148.

25 b 2 5 b 6 36 5 b 6 25 b 2 5 b 6 36 5 b 6

149.

c 2 c 8 6 c + 16 c 8 c 2 c 8 6 c + 16 c 8

150.

d 2 d 9 6 d + 27 d 9 d 2 d 9 6 d + 27 d 9

151.

3 m 2 6 m 30 21 m 30 6 m 30 3 m 2 6 m 30 21 m 30 6 m 30

152.

2 n 2 4 n 32 18 n 16 4 n 32 2 n 2 4 n 32 18 n 16 4 n 32

153.

6 p 2 + 3 p + 4 p 2 + 4 p 5 5 p 2 + p + 7 p 2 + 4 p 5 6 p 2 + 3 p + 4 p 2 + 4 p 5 5 p 2 + p + 7 p 2 + 4 p 5

154.

5 q 2 + 3 q 9 q 2 + 6 q + 8 4 q 2 + 9 q + 7 q 2 + 6 q + 8 5 q 2 + 3 q 9 q 2 + 6 q + 8 4 q 2 + 9 q + 7 q 2 + 6 q + 8

155.

5 r 2 + 7 r 33 r 2 49 4 r 2 + 5 r + 30 r 2 49 5 r 2 + 7 r 33 r 2 49 4 r 2 + 5 r + 30 r 2 49

156.

7 t 2 t 4 t 2 25 6 t 2 + 12 t 44 t 2 25 7 t 2 t 4 t 2 25 6 t 2 + 12 t 44 t 2 25

Add and Subtract Rational Expressions whose Denominators are Opposites

In the following exercises, add.

157.

10 v 2 v 1 + 2 v + 4 1 2 v 10 v 2 v 1 + 2 v + 4 1 2 v

158.

20 w 5 w 2 + 5 w + 6 2 5 w 20 w 5 w 2 + 5 w + 6 2 5 w

159.

10 x 2 + 16 x 7 8 x 3 + 2 x 2 + 3 x 1 3 8 x 10 x 2 + 16 x 7 8 x 3 + 2 x 2 + 3 x 1 3 8 x

160.

6 y 2 + 2 y 11 3 y 7 + 3 y 2 3 y + 17 7 3 y 6 y 2 + 2 y 11 3 y 7 + 3 y 2 3 y + 17 7 3 y

In the following exercises, subtract.

161.

z 2 + 6 z z 2 25 3 z + 20 25 z 2 z 2 + 6 z z 2 25 3 z + 20 25 z 2

162.

a 2 + 3 a a 2 9 3 a 27 9 a 2 a 2 + 3 a a 2 9 3 a 27 9 a 2

163.

2 b 2 + 30 b 13 b 2 49 2 b 2 5 b 8 49 b 2 2 b 2 + 30 b 13 b 2 49 2 b 2 5 b 8 49 b 2

164.

c 2 + 5 c 10 c 2 16 c 2 8 c 10 16 c 2 c 2 + 5 c 10 c 2 16 c 2 8 c 10 16 c 2

Everyday Math

165.

Sarah ran 8 miles and then biked 24 miles. Her biking speed is 4 mph faster than her running speed. If rr represents Sarah’s speed when she ran, then her running time is modeled by the expression 8r8r and her biking time is modeled by the expression 24r+4.24r+4. Add the rational expressions 8r+24r+48r+24r+4 to get an expression for the total amount of time Sarah ran and biked.

166.

If Pete can paint a wall in pp hours, then in one hour he can paint 1p1p of the wall. It would take Penelope 3 hours longer than Pete to paint the wall, so in one hour she can paint 1p+31p+3 of the wall. Add the rational expressions 1p+1p+31p+1p+3 to get an expression for the part of the wall Pete and Penelope would paint in one hour if they worked together.

Writing Exercises

167.

Donald thinks that 3x+4x3x+4x is 72x.72x. Is Donald correct? Explain.

168.

Explain how you find the Least Common Denominator of x2+5x+4x2+5x+4 and x216.x216.

Self Check

After completing the exercises, use this checklist to evaluate your mastery of the objectives of this section.

The above image is a table with four columns and four rows. The first row is the header row. The first header is labeled “I can…”, the second “Confidently”, the third, “With some help”, and the fourth “No – I don’t get it!”. In the first column under “I can”, the next row reads “add rational expressions with a common denominator.”, the next row reads “subtract rational expressions with a common denominator.”, the next row reads, “add and subtract rational expressions whose denominators are opposites.”, the last row reads “What does this checklist tell you about your mastery of this section? What steps will you take to improve?” The remaining columns are blank.

What does this checklist tell you about your mastery of this section? What steps will you take to improve?

Citation/Attribution

This book may not be used in the training of large language models or otherwise be ingested into large language models or generative AI offerings without OpenStax's permission.

Want to cite, share, or modify this book? This book uses the Creative Commons Attribution License and you must attribute OpenStax.

Attribution information
  • If you are redistributing all or part of this book in a print format, then you must include on every physical page the following attribution:

    Access for free at https://openstax.org/books/elementary-algebra-2e/pages/1-introduction

  • If you are redistributing all or part of this book in a digital format, then you must include on every digital page view the following attribution:

    Access for free at https://openstax.org/books/elementary-algebra-2e/pages/1-introduction

Citation information

© Jul 8, 2025 OpenStax. Textbook content produced by OpenStax is licensed under a Creative Commons Attribution License . The OpenStax name, OpenStax logo, OpenStax book covers, OpenStax CNX name, and OpenStax CNX logo are not subject to the Creative Commons license and may not be reproduced without the prior and express written consent of Rice University.