Skip to ContentGo to accessibility pageKeyboard shortcuts menu
OpenStax Logo
Elementary Algebra 2e

8.4 Add and Subtract Rational Expressions with Unlike Denominators

Elementary Algebra 2e8.4 Add and Subtract Rational Expressions with Unlike Denominators
Search for key terms or text.

Learning Objectives

By the end of this section, you will be able to:

  • Find the least common denominator of rational expressions
  • Find equivalent rational expressions
  • Add rational expressions with different denominators
  • Subtract rational expressions with different denominators

Be Prepared 8.13

Before you get started, take this readiness quiz.

If you miss a problem, go back to the section listed and review the material.

Add: 710+815.710+815.
If you missed this problem, review Example 1.81.

Be Prepared 8.14

Subtract: 6(2x+1)4(x5).6(2x+1)4(x5).
If you missed this problem, review Example 1.139.

Be Prepared 8.15

Find the Greatest Common Factor of 9x2y39x2y3 and 12xy512xy5.
If you missed this problem, review Example 7.3.

Be Prepared 8.16

Factor completely −48n12−48n12.
If you missed this problem, review Example 7.11.

Find the Least Common Denominator of Rational Expressions

When we add or subtract rational expressions with unlike denominators we will need to get common denominators. If we review the procedure we used with numerical fractions, we will know what to do with rational expressions.

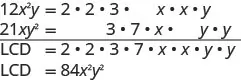
Let’s look at the example 712+518712+518 from Foundations. Since the denominators are not the same, the first step was to find the least common denominator (LCD). Remember, the LCD is the least common multiple of the denominators. It is the smallest number we can use as a common denominator.

To find the LCD of 12 and 18, we factored each number into primes, lining up any common primes in columns. Then we “brought down” one prime from each column. Finally, we multiplied the factors to find the LCD.

12=2·2·318=2·3·3LCD=2·2·3·3LCD=3612=2·2·318=2·3·3LCD=2·2·3·3LCD=36

We do the same thing for rational expressions. However, we leave the LCD in factored form.

How To

Find the least common denominator of rational expressions.

  1. Step 1. Factor each expression completely.
  2. Step 2. List the factors of each expression. Match factors vertically when possible.
  3. Step 3. Bring down the columns.
  4. Step 4. Multiply the factors.

Remember, we always exclude values that would make the denominator zero. What values of x should we exclude in this next example?

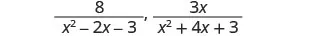
Example 8.38

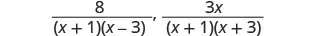
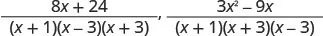
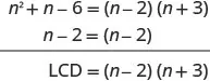
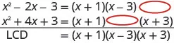
Find the LCD for 8x22x3,3xx2+4x+38x22x3,3xx2+4x+3.

Try It 8.75

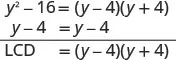
Find the LCD for 2x2x12,1x2162x2x12,1x216.

Try It 8.76

Find the LCD for xx2+8x+15,5x2+9x+18xx2+8x+15,5x2+9x+18.

Find Equivalent Rational Expressions

When we add numerical fractions, once we find the LCD, we rewrite each fraction as an equivalent fraction with the LCD.

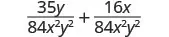
The above image shows how to find the LCD (least common denominator) when adding numerical fractions in the example seven-twelfths plus five-eighteenths. The image shows 7 times 3 divided by 12 times 3 plus 5 times 2 plus 18 times 2. Below this is 21 divided by 36 plus 10 divided by 36. The image next to this shows that 12 equals 2 times 2 times 3. Below this shows 18 equals 2 times 3 times 3. A line is drawn. Below it is LCD equals 2 times 2 times 3 times 3. The line below this shows that the LCD equals 36.

We will do the same thing for rational expressions.

Example 8.39

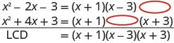
Rewrite as equivalent rational expressions with denominator (x+1)(x3)(x+3)(x+1)(x3)(x+3): 8x22x3,3xx2+4x+3.8x22x3,3xx2+4x+3.

Try It 8.77

Rewrite as equivalent rational expressions with denominator (x+3)(x4)(x+4)(x+3)(x4)(x+4):
2x2x12,1x216.2x2x12,1x216.

Try It 8.78

Rewrite as equivalent rational expressions with denominator (x+3)(x+5)(x+6)(x+3)(x+5)(x+6):
xx2+8x+15,5x2+9x+18.xx2+8x+15,5x2+9x+18.

Add Rational Expressions with Different Denominators

Now we have all the steps we need to add rational expressions with different denominators. As we have done previously, we will do one example of adding numerical fractions first.

Example 8.40

Add: 712+518.712+518.

Try It 8.79

Add: 1130+712.1130+712.

Try It 8.80

Add: 38+920.38+920.

Now we will add rational expressions whose denominators are monomials.

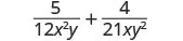
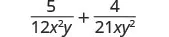
Example 8.41

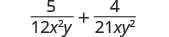
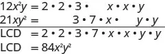
Add: 512x2y+421xy2.512x2y+421xy2.

Try It 8.81

Add: 215a2b+56ab2.215a2b+56ab2.

Try It 8.82

Add: 516c+38cd2.516c+38cd2.

Now we are ready to tackle polynomial denominators.

Example 8.42

How to Add Rational Expressions with Different Denominators

Add: 3x3+2x2.3x3+2x2.

Try It 8.83

Add: 2x2+5x+3.2x2+5x+3.

Try It 8.84

Add: 4m+3+3m+4.4m+3+3m+4.

The steps to use to add rational expressions are summarized in the following procedure box.

How To

Add rational expressions.

  1. Step 1. Determine if the expressions have a common denominator.
    Yes – go to step 2.
    No – Rewrite each rational expression with the LCD.
    Find the LCD.
    Rewrite each rational expression as an equivalent rational expression with the LCD.
  2. Step 2. Add the rational expressions.
  3. Step 3. Simplify, if possible.

Example 8.43

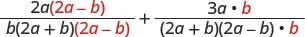
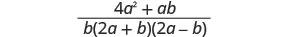
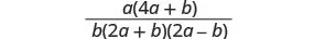
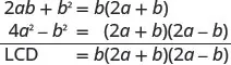
Add: 2a2ab+b2+3a4a2b2.2a2ab+b2+3a4a2b2.

Try It 8.85

Add: 5xxyy2+2xx2y2.5xxyy2+2xx2y2.

Try It 8.86

Add: 72m+6+4m2+4m+3.72m+6+4m2+4m+3.

Avoid the temptation to simplify too soon! In the example above, we must leave the first rational expression as 2a(2ab)b(2a+b)(2ab)2a(2ab)b(2a+b)(2ab) to be able to add it to 3a·b(2a+b)(2ab)·b3a·b(2a+b)(2ab)·b. Simplify only after you have combined the numerators.

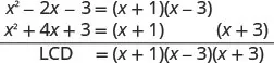
Example 8.44

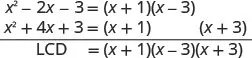
Add: 8x22x3+3xx2+4x+3.8x22x3+3xx2+4x+3.

Try It 8.87

Add: 1m2m2+5mm2+3m+2.1m2m2+5mm2+3m+2.

Try It 8.88

Add: 2nn23n10+6n2+5n+6.2nn23n10+6n2+5n+6.

Subtract Rational Expressions with Different Denominators

The process we use to subtract rational expressions with different denominators is the same as for addition. We just have to be very careful of the signs when subtracting the numerators.

Example 8.45

How to Subtract Rational Expressions with Different Denominators

Subtract: xx3x2x+3.xx3x2x+3.

Try It 8.89

Subtract: yy+4y2y5.yy+4y2y5.

Try It 8.90

Subtract: z+3z+2zz+3.z+3z+2zz+3.

The steps to take to subtract rational expressions are listed below.

How To

Subtract rational expressions.

  1. Step 1. Determine if they have a common denominator.
    Yes – go to step 2.
    No – Rewrite each rational expression with the LCD.
    Find the LCD.
    Rewrite each rational expression as an equivalent rational expression with the LCD.
  2. Step 2. Subtract the rational expressions.
  3. Step 3. Simplify, if possible.

Example 8.46

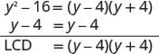
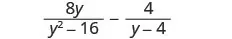
Subtract: 8yy2164y4.8yy2164y4.

Try It 8.91

Subtract: 2xx241x+2.2xx241x+2.

Try It 8.92

Subtract: 3z+36zz29.3z+36zz29.

There are lots of negative signs in the next example. Be extra careful!

Example 8.47

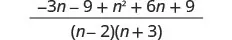
Subtract: −3n9n2+n6n+32n.−3n9n2+n6n+32n.

Try It 8.93

Subtract: 3x1x25x626x.3x1x25x626x.

Try It 8.94

Subtract: −2y2y2+2y8y12y.−2y2y2+2y8y12y.

When one expression is not in fraction form, we can write it as a fraction with denominator 1.

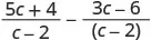
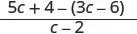
Example 8.48

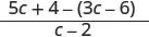
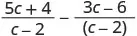
Subtract: 5c+4c23.5c+4c23.

Try It 8.95

Subtract: 2x+1x73.2x+1x73.

Try It 8.96

Subtract: 4y+32y15.4y+32y15.

How To

Add or subtract rational expressions.

  1. Step 1. Determine if the expressions have a common denominator.
    Yes – go to step 2.
    No – Rewrite each rational expression with the LCD.
    Find the LCD.
    Rewrite each rational expression as an equivalent rational expression with the LCD.
  2. Step 2. Add or subtract the rational expressions.
  3. Step 3. Simplify, if possible.

We follow the same steps as before to find the LCD when we have more than two rational expressions. In the next example we will start by factoring all three denominators to find their LCD.

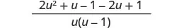
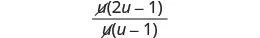
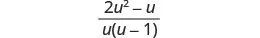
Example 8.49

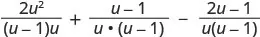
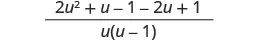
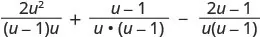
Simplify: 2uu1+1u2u1u2u.2uu1+1u2u1u2u.

Try It 8.97

Simplify: vv+1+3v16v21.vv+1+3v16v21.

Try It 8.98

Simplify: 3ww+2+2w+717w+4w2+9w+14.3ww+2+2w+717w+4w2+9w+14.

Section 8.4 Exercises

Practice Makes Perfect

In the following exercises, find the LCD.

169.

5 x 2 2 x 8 , 2 x x 2 x 12 5 x 2 2 x 8 , 2 x x 2 x 12

170.

8 y 2 + 12 y + 35 , 3 y y 2 + y 42 8 y 2 + 12 y + 35 , 3 y y 2 + y 42

171.

9 z 2 + 2 z 8 , 4 z z 2 4 9 z 2 + 2 z 8 , 4 z z 2 4

172.

6 a 2 + 14 a + 45 , 5 a a 2 81 6 a 2 + 14 a + 45 , 5 a a 2 81

173.

4 b 2 + 6 b + 9 , 2 b b 2 2 b 15 4 b 2 + 6 b + 9 , 2 b b 2 2 b 15

174.

5 c 2 4 c + 4 , 3 c c 2 10 c + 16 5 c 2 4 c + 4 , 3 c c 2 10 c + 16

175.

2 3 d 2 + 14 d 5 , 5 d 3 d 2 19 d + 6 2 3 d 2 + 14 d 5 , 5 d 3 d 2 19 d + 6

176.

3 5 m 2 3 m 2 , 6 m 5 m 2 + 17 m + 6 3 5 m 2 3 m 2 , 6 m 5 m 2 + 17 m + 6

In the following exercises, write as equivalent rational expressions with the given LCD.

177.

5x22x8,2xx2x125x22x8,2xx2x12
LCD (x4)(x+2)(x+3)(x4)(x+2)(x+3)

178.

8y2+12y+35,3yy2+y428y2+12y+35,3yy2+y42
LCD (y+7)(y+5)(y6)(y+7)(y+5)(y6)

179.

9z2+2z8,4zz249z2+2z8,4zz24
LCD (z2)(z+4)(z+2)(z2)(z+4)(z+2)

180.

6a2+14a+45,5aa2816a2+14a+45,5aa281
LCD (a+9)(a+5)(a9)(a+9)(a+5)(a9)

181.

4b2+6b+9,2bb22b154b2+6b+9,2bb22b15
LCD (b+3)(b+3)(b5)(b+3)(b+3)(b5)

182.

5c24c+4,3cc210c+165c24c+4,3cc210c+16
LCD (c2)(c2)(c8)(c2)(c2)(c8)

183.

23d2+14d5,5d3d219d+623d2+14d5,5d3d219d+6
LCD (3d1)(d+5)(d6)(3d1)(d+5)(d6)

184.

35m23m2,6m5m2+17m+635m23m2,6m5m2+17m+6
LCD (5m+2)(m1)(m+3)(5m+2)(m1)(m+3)

In the following exercises, add.

185.

5 24 + 11 36 5 24 + 11 36

186.

7 30 + 13 45 7 30 + 13 45

187.

9 20 + 11 30 9 20 + 11 30

188.

8 27 + 7 18 8 27 + 7 18

189.

7 10 x 2 y + 4 15 x y 2 7 10 x 2 y + 4 15 x y 2

190.

1 12 a 3 b 2 + 5 9 a 2 b 3 1 12 a 3 b 2 + 5 9 a 2 b 3

191.

1 2 m + 7 8 m 2 n 1 2 m + 7 8 m 2 n

192.

5 6 p 2 q + 1 4 p 5 6 p 2 q + 1 4 p

193.

3 r + 4 + 2 r 5 3 r + 4 + 2 r 5

194.

4 s 7 + 5 s + 3 4 s 7 + 5 s + 3

195.

8 t + 5 + 6 t 5 8 t + 5 + 6 t 5

196.

7 v + 5 + 9 v 5 7 v + 5 + 9 v 5

197.

5 3 w 2 + 2 w + 1 5 3 w 2 + 2 w + 1

198.

4 2 x + 5 + 2 x 1 4 2 x + 5 + 2 x 1

199.

2 y y + 3 + 3 y 1 2 y y + 3 + 3 y 1

200.

3 z z 2 + 1 z + 5 3 z z 2 + 1 z + 5

201.

5 b a 2 b 2 a 2 + 2 b b 2 4 5 b a 2 b 2 a 2 + 2 b b 2 4

202.

4 c d + 3 c + 1 d 2 9 4 c d + 3 c + 1 d 2 9

203.

2 m 3 m 3 + 5 m m 2 + 3 m 4 2 m 3 m 3 + 5 m m 2 + 3 m 4

204.

3 4 n + 4 + 6 n 2 n 2 3 4 n + 4 + 6 n 2 n 2

205.

3 n 2 + 3 n 18 + 4 n n 2 + 8 n + 12 3 n 2 + 3 n 18 + 4 n n 2 + 8 n + 12

206.

6 q 2 3 q 10 + 5 q q 2 8 q + 15 6 q 2 3 q 10 + 5 q q 2 8 q + 15

207.

3 r r 2 + 7 r + 6 + 9 r 2 + 4 r + 3 3 r r 2 + 7 r + 6 + 9 r 2 + 4 r + 3

208.

2 s s 2 + 2 s 8 + 4 s 2 + 3 s 10 2 s s 2 + 2 s 8 + 4 s 2 + 3 s 10

In the following exercises, subtract.

209.

t t 6 t 2 t + 6 t t 6 t 2 t + 6

210.

v v 3 v 6 v + 1 v v 3 v 6 v + 1

211.

w + 2 w + 4 w w 2 w + 2 w + 4 w w 2

212.

x 3 x + 6 x x + 3 x 3 x + 6 x x + 3

213.

y 4 y + 1 1 y + 7 y 4 y + 1 1 y + 7

214.

z + 8 z 3 z z 2 z + 8 z 3 z z 2

215.

5 a a + 3 a + 2 a + 6 5 a a + 3 a + 2 a + 6

216.

3 b b 2 b 6 b 8 3 b b 2 b 6 b 8

217.

6 c c 2 25 3 c + 5 6 c c 2 25 3 c + 5

218.

4 d d 2 81 2 d + 9 4 d d 2 81 2 d + 9

219.

6 m + 6 12 m m 2 36 6 m + 6 12 m m 2 36

220.

4 n + 4 8 n n 2 16 4 n + 4 8 n n 2 16

221.

−9 p 17 p 2 4 p 21 p + 1 7 p −9 p 17 p 2 4 p 21 p + 1 7 p

222.

13 q 8 q 2 + 2 q 24 q + 2 4 q 13 q 8 q 2 + 2 q 24 q + 2 4 q

223.

−2 r 16 r 2 + 6 r 16 5 2 r −2 r 16 r 2 + 6 r 16 5 2 r

224.

2 t 30 t 2 + 6 t 27 2 3 t 2 t 30 t 2 + 6 t 27 2 3 t

225.

5 v 2 v + 3 4 5 v 2 v + 3 4

226.

6 w + 5 w 1 + 2 6 w + 5 w 1 + 2

227.

2 x + 7 10 x 1 + 3 2 x + 7 10 x 1 + 3

228.

8 y 4 5 y + 2 6 8 y 4 5 y + 2 6

In the following exercises, add and subtract.

229.

5 a a 2 + 9 a 2 a + 18 a 2 2 a 5 a a 2 + 9 a 2 a + 18 a 2 2 a

230.

2 b b 5 + 3 2 b 2 b 15 2 b 2 10 b 2 b b 5 + 3 2 b 2 b 15 2 b 2 10 b

231.

c c + 2 + 5 c 2 10 c c 2 4 c c + 2 + 5 c 2 10 c c 2 4

232.

6 d d 5 + 1 d + 4 7 d 5 d 2 d 20 6 d d 5 + 1 d + 4 7 d 5 d 2 d 20

In the following exercises, simplify.

233.

6 a 3 a b + b 2 + 3 a 9 a 2 b 2 6 a 3 a b + b 2 + 3 a 9 a 2 b 2

234.

2 c 2 c + 10 + 7 c c 2 + 9 c + 20 2 c 2 c + 10 + 7 c c 2 + 9 c + 20

235.

6 d d 2 64 3 d 8 6 d d 2 64 3 d 8

236.

5 n + 7 10 n n 2 49 5 n + 7 10 n n 2 49

237.

4 m m 2 + 6 m 7 + 2 m 2 + 10 m + 21 4 m m 2 + 6 m 7 + 2 m 2 + 10 m + 21

238.

3 p p 2 + 4 p 12 + 1 p 2 + p 30 3 p p 2 + 4 p 12 + 1 p 2 + p 30

239.

−5 n 5 n 2 + n 6 + n + 1 2 n −5 n 5 n 2 + n 6 + n + 1 2 n

240.

−4 b 24 b 2 + b 30 + b + 7 5 b −4 b 24 b 2 + b 30 + b + 7 5 b

241.

7 15 p + 5 18 p q 7 15 p + 5 18 p q

242.

3 20 a 2 + 11 12 a b 2 3 20 a 2 + 11 12 a b 2

243.

4 x 2 + 3 x + 5 4 x 2 + 3 x + 5

244.

6 m + 4 + 9 m 8 6 m + 4 + 9 m 8

245.

2 q + 7 q + 4 2 2 q + 7 q + 4 2

246.

3 y 1 y + 4 2 3 y 1 y + 4 2

247.

z + 2 z 5 z z + 1 z + 2 z 5 z z + 1

248.

t t 5 t 1 t + 5 t t 5 t 1 t + 5

249.

3 d d + 2 + 4 d d + 8 d 2 + 2 d 3 d d + 2 + 4 d d + 8 d 2 + 2 d

250.

2 q q + 5 + 3 q 3 13 q + 15 q 2 + 2 q 15 2 q q + 5 + 3 q 3 13 q + 15 q 2 + 2 q 15

Everyday Math

251.

Decorating cupcakes Victoria can decorate an order of cupcakes for a wedding in tt hours, so in 1 hour she can decorate 1t1t of the cupcakes. It would take her sister 3 hours longer to decorate the same order of cupcakes, so in 1 hour she can decorate 1t+31t+3 of the cupcakes.

  1. Find the fraction of the decorating job that Victoria and her sister, working together, would complete in one hour by adding the rational expressions 1t+1t+3.1t+1t+3.
  2. Evaluate your answer to part (a) when t=5.t=5.
252.

Kayaking When Trina kayaks upriver, it takes her 53c53c hours to go 5 miles, where cc is the speed of the river current. It takes her 53+c53+c hours to kayak 5 miles down the river.

  1. Find an expression for the number of hours it would take Trina to kayak 5 miles up the river and then return by adding 53c+53+c.53c+53+c.
  2. Evaluate your answer to part (a) when c=1c=1 to find the number of hours it would take Trina if the speed of the river current is 1 mile per hour.

Writing Exercises

253.

Felipe thinks 1x+1y1x+1y is 2x+y.2x+y.

  1. Choose numerical values for x and y and evaluate 1x+1y.1x+1y.
  2. Evaluate 2x+y2x+y for the same values of x and y you used in part (a).
  3. Explain why Felipe is wrong.
  4. Find the correct expression for 1x+1y.1x+1y.
254.

Simplify the expression 4n2+6n+91n294n2+6n+91n29 and explain all your steps.

Self Check

After completing the exercises, use this checklist to evaluate your mastery of the objectives of this section.

This is a table that has five rows and four columns. In the first row, which is a header row, the cells read from left to right “I can…,” “Confidently,” “With some help,” and “No-I don’t get it!” The first column below “I can…” reads “find the least common denominator of rational expressions,” “find equivalent rational expressions,” “add rational expressions with different denominators,” and “subtract rational expressions with different denominators.” The rest of the cells are blank.

On a scale of 1-10, how would you rate your mastery of this section in light of your responses on the checklist? How can you improve this?

Citation/Attribution

This book may not be used in the training of large language models or otherwise be ingested into large language models or generative AI offerings without OpenStax's permission.

Want to cite, share, or modify this book? This book uses the Creative Commons Attribution License and you must attribute OpenStax.

Attribution information
  • If you are redistributing all or part of this book in a print format, then you must include on every physical page the following attribution:

    Access for free at https://openstax.org/books/elementary-algebra-2e/pages/1-introduction

  • If you are redistributing all or part of this book in a digital format, then you must include on every digital page view the following attribution:

    Access for free at https://openstax.org/books/elementary-algebra-2e/pages/1-introduction

Citation information

© Jul 8, 2025 OpenStax. Textbook content produced by OpenStax is licensed under a Creative Commons Attribution License . The OpenStax name, OpenStax logo, OpenStax book covers, OpenStax CNX name, and OpenStax CNX logo are not subject to the Creative Commons license and may not be reproduced without the prior and express written consent of Rice University.