Skip to ContentGo to accessibility pageKeyboard shortcuts menu
OpenStax Logo
Chemistry 2e

Chapter 20

Chemistry 2eChapter 20
Search for key terms or text.

1.

There are several sets of answers; one is:
(a) C5H12

A chain of five C atoms with single bonds is shown. Each C atom has an H atom bonded above and below it. The C atoms on the end of the chain have a third H atom bonded to them each.


(b) C5H10

A chain of five C atoms is shown. The first C atom (from left to right) forms a single bond with the second C atom. The second C atom forms a single bond with the third C atom. The third C atom forms a double bond with the fourth C atom. The fourth C atom forms a single bond to the fifth C atom. The first C atom (from left to right) as three H atoms bonded to it. The second C atom has two H atoms bonded to it. The third C atom has one H atom bonded to it. The fourth C atom has one H atom bonded to it. The fifth C atom as three H atoms bonded to it.


(c) C5H8

A chain of five carbon atoms is shown. The first C atom (from left to right) forms a single bond with the second C atom. The second C atom forms a single bond with the third C atom. The third C atom forms a triple bond with the fourth C atom. The fourth C atom forms a single bond to the fifth C atom. The first C atom has three H atoms bonded to it. The second C atom has two H atoms bonded to it. The fifth C atom has three H atoms bonded to it.
3.

Both reactions result in bromine being incorporated into the structure of the product. The difference is the way in which that incorporation takes place. In the saturated hydrocarbon, an existing C–H bond is broken, and a bond between the C and the Br can then be formed. In the unsaturated hydrocarbon, the only bond broken in the hydrocarbon is the π bond whose electrons can be used to form a bond to one of the bromine atoms in Br2 (the electrons from the Br–Br bond form the other C–Br bond on the other carbon that was part of the π bond in the starting unsaturated hydrocarbon).

5.

Unbranched alkanes have free rotation about the C–C bonds, yielding all orientations of the substituents about these bonds equivalent, interchangeable by rotation. In the unbranched alkenes, the inability to rotate about the C=CC=C bond results in fixed (unchanging) substituent orientations, thus permitting different isomers. Since these concepts pertain to phenomena at the molecular level, this explanation involves the microscopic domain.

7.

They are the same compound because each is a saturated hydrocarbon containing an unbranched chain of six carbon atoms.

9.

(a) C6H14

This figure shows a horizontal hydrocarbon chain consisting of six singly bonded carbon atoms. Each C atom has an H atom bonded above and below it. The two C atoms on either end of the chain each of a third H atom bonded to it.


(b) C6H14

This figure shows five C atoms bonded together with a sixth C atom bonded below the chain. The first C atom (from left to right) has three H atoms bonded to it and is also bonded to another C atom. The second C atom has two H atoms bonded above and below it and is also bonded to another C atom. The third C atom has an H atom bonded above it and a C atom bonded below it. The C atom bonded below the third C atom in the chain has three H atoms bonded to it. The third C atom is also bonded to another C atom. The fourth C atom in the chain has two H atoms bonded above and below it and is bonded to another C atom. The fifth C atom has three H atoms bonded to it.


(c) C6H12

This figure shows a C atom with three H atoms bonded to it. This C atom is bonded to another C atom with two H atoms bonded above and below it. The second C atom is also bonded to another C atom down and to the right. This C atom is bonded to one H atom and has a double bond to a fourth C atom. The fourth C atom is also bonded to one H atom. The fourth C atom has a bond up and to the right to another C atom. This C atom has two H atoms bonded above and below it. This C atom also bonds to another C atom which is bonded to three H atoms.


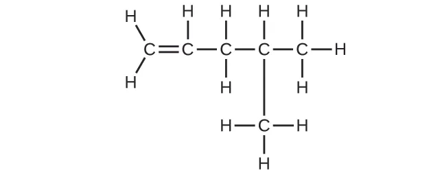
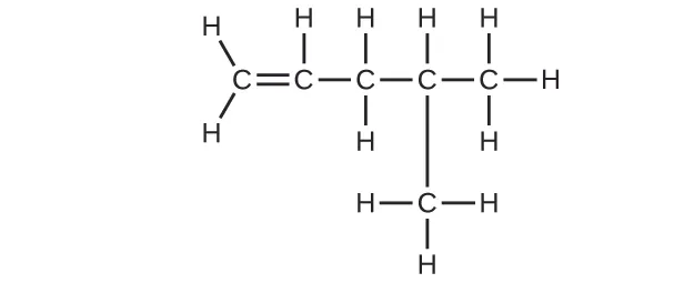
(d) C6H12

This figure shows a hydrocarbon chain with a length of five C atoms. The first C atom (from left to right) is bonded to two H atoms and also forms a double bond with the second C atom. The second C atom is bonded to one H atom above it and is also bonded to a third C atom. The third C atom is bonded to two H atoms and also bonded to a fourth C atom. The fourth C atom is bonded to one H atom above it and a C atom below it. The C atom bonded to the fourth C atom in the chain has three H atoms bonded to it. The fourth C atom is also bonded to a fifth C atom which is bonded to three H atoms.


(e) C6H10

This figure shows a hydrocarbon chain with a length of six C atoms. The first C atom has three H atoms bonded to it, and it is also bonded to a second C atom. The second C atom has an H atom bonded above and below it. It is also bonded to a third C atom. The third C atom forms a triple bond to a fourth C atom. The fourth C atom forms a single bond with a fifth C atom which has two H atoms bonded above and below it. The sixth C atom has three H atoms bonded to it.


(f) C6H10

This figure shows a hydrocarbon chain with a length of five C atoms. The first C atom (from left to right) has three H atoms bonded to it. It is also bonded to a second C atom. The second C atom forms a triple bond to a third C atom. The third C atom forms a single bond with a fourth C atom. The fourth C atom has an H atom bonded above it and a C atom bonded below it. The C atom bonded below the fourth C atom has three H atoms bonded to it. The fourth C atom is bonded to a fifth C atom. The fifth C atom has three H atoms bonded to it.
11.

(a) 2,2-dibromobutane; (b) 2-chloro-2-methylpropane; (c) 2-methylbutane; (d) 1-butyne; (e) 4-fluoro-4-methyl-1-octyne; (f) trans-1-chloropropene; (g) 4-methyl-1-pentene

13.
Two structures are shown. The first includes a chain of four singly bonded C atoms. Each C atom has two H atoms bonded above and below it. The two C atoms at either end of the chain each have a third H atom bonded to it. The molecule is named n dash butane. The second includes a chain of three singly bonded C atoms with a C atom bonded above the middle C atom in the chain. The first C atom (from left to right) has three H atoms bonded to it. The second C atom has one H atom bonded below it and a C atom bonded above it. The C atom bonded above the middle C atom has three H atoms bonded to it. The third C atom in the chain has three H atoms bonded to it. This molecule is named 2 dash methylpropane.
15.
This figure includes two structural formulas. The first structure shows two double bounded C atoms with C l bonded to the upper right, C H subscript 3 bonded to the upper left, and H atoms attached to the lower right and lower left in the structure. This structure is labeled cis dash. The second structure shows two double bounded carbon atoms with C l attached to the lower right, C H subscript 3 attached to the upper left, and H atoms attached to the upper right and lower left in the structure. This structure is labeled trans dash.
17.

(a) 2,2,4-trimethylpentane; (b) 2,2,3-trimethylpentane, 2,3,4-trimethylpentane, and 2,3,3-trimethylpentane:

Three hydrocarbon molecular structures are shown. The first has C H subscript 3 bonded up and to the right to a C atom. The C atom is bonded down and to the right to C H. C H is bonded up and to the right to C H subscript 2. C H subscript 2 is bonded down and to the right to C H subscript 3. The lone C atom is bonded to two C H subscript 3 groups. The C in the C H group is bonded to a C H subscript 3 group. The second structure shows C H subscript 3 bonded up and to the right to C H which is bonded down and to the right to C H. C H is bonded up and to the right to another C H which is bonded down and to the right to C H subscript 3. The initial C atom is bonded to a C H subscript 3 group. The second C atom is bonded to a C H subscript 3 group. The third C atom is bonded to a C H subscript 3 group. The third structure shows C H subscript 3 bonded up and to the right to C H which is bonded down and to the right to C. C is bonded up and to the right to C H subscript 2 which is bonded down and to the right to C H subscript 3. The second C atom is bonded to a C H subscript 3 group. The third C atom is bonded to two C H subscript 3 groups.
19.
Four structural formulas are provided. The first has a hydrocarbon chain with a length of four C atom. All bonds are single. Nine H atoms are attached and a single C l atom is attached at the far right end of the structure which is labeled 1 dash chlorobutane. The second has a hydrocarbon chain with a length four C atoms. All bonds are single. Nine H atoms are attached and a single C l atom is attached above the second carbon counting left to right. This structure is labeled 2 dash chlorobutane. The third has a hydrocarbon chain with a length of three C atoms. All bonds are single. A single C l atom is bonded beneath the middle C atom and a C H subscript 3 group is also bonded above the middle C atom. Six H atoms are attached, and the structure is labeled 2 dash chloro dash 2 dash methylpropane. The fourth structure has a hydrocarbon chain with a length of three C atoms. All bonds are single. A single C l atom is bonded beneath the first C atom (from left to right) and a C H subscript 3 group is bonded above the middle C atom. Six H atoms are attached, and the structure is labeled 1 dash chloro dash 2 dash methylpropane.
21.

In the following, the carbon backbone and the appropriate number of hydrogen atoms are shown in condensed form:

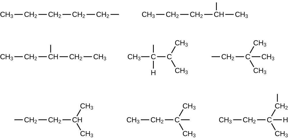
Eight structures are shown. The first includes C H subscript 3 bonded to C H subscript 2 bonded to C H subscript 2 bonded to C H subscript 2 bonded to C H subscript 2 with a bond. The second shows C H subscript 3 bonded to C H subscript 2 bonded to C H subscript 2 bonded to C H bonded to C H subscript 3. There is a bond above the fourth C atom (from left to right). The third shows C H subscript 3 bonded to C H subscript 2 bonded to C H bonded to C H subscript 2 bonded to C H subscript 3. There is a bond above the third C atom (from left to right). The five remaining examples involve branching. The fourth structure shows C H subscript 3 bonded to C bonded to C. The second C atom (from left to right) has a bond above it and a bond to an H atom below it. The third C is bonded to two C H subscript 3 groups as well as an H atom. The fifth shows a bond leading to a C H subscript 2 group which is bonded to a C atom. This C atom is bonded to three C H subscript 3 groups. The sixth shows a bond and then C H subscript 2 bonded to C H subscript 2 bonded to C H. The C H is bonded to two C H subscript 3 groups. The seventh shows C H subscript 3 bonded to C H subscript 2 bonded to C with a bond. The C is also bonded to two C H subscript 3 groups. The final structure shows C H subscript 3 bonded to C H subscript 2 bonded to C H. The C H is bonded to a C H subscript 2 group with a bond and a C H subscript 3 group.
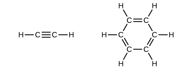
23.
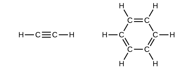
Two structural formulas are shown. The first shows two C atoms with a triple bond between them. At each end of the structure, a single H atom is bonded. The second structure involves a hydrocarbon ring of 6 C atoms with a circle at the center. There are alternating double bonds between C atoms. Each C atom is bonded to a single H atom.

In acetylene, the bonding uses sp hybrids on carbon atoms and s orbitals on hydrogen atoms. In benzene, the carbon atoms are sp2 hybridized.

25.

(a) CHCCH2CH3+2I2CHI2CI2CH2CH3CHCCH2CH3+2I2CHI2CI2CH2CH3

A reaction is shown. On the left, a four carbon hydrocarbon chain is shown with a triple bond between C atoms 1 and 2 moving left to right across the molecule. The first C is bonded to one H atom. The second C atom bonds with the third C atom. The third C atom is bonded to two H atoms and a fourth C atom. The fourth C atom is bonded to three H atoms. A plus sign is shown followed by 2 I dash I, which is followed by a reaction arrow, then a four C atom hydrocarbon chain with I atoms bonded above and below C atoms 1 and 2 from left to right. The first C atom is bonded to one H. The third C atom is bonded to two H atoms. The fourth C atom is bonded to three H atoms.


(b) CH3CH2CH2CH2CH3+8O25CO2+6H2OCH3CH2CH2CH2CH3+8O25CO2+6H2O

A reaction is shown. On the left, a five C atom hydrocarbon chain is shown with all single bonds between C atoms. Each C atom is bonded to an H atom above and below it. The two C atoms at either end of the chain each have a third H atom bonded to them. A plus sign is shown followed by 8 O double bond O. To the right of the reaction arrow appears 5 followed by O double bond C double bond O plus 6 O bonded to two H atoms.
27.

74.5 g

29.

9.328 ×× 102 kg

31.

(a) ethyl alcohol, ethanol: CH3CH2OH; (b) methyl alcohol, methanol: CH3OH; (c) ethylene glycol, ethanediol: HOCH2CH2OH; (d) isopropyl alcohol, 2-propanol: CH3CH(OH)CH3; (e) glycerine, l,2,3-trihydroxypropane: HOCH2CH(OH)CH2OH

33.

(a) 1-ethoxybutane, butyl ethyl ether; (b) 1-ethoxypropane, ethyl propyl ether; (c) 1-methoxypropane, methyl propyl ether

35.

HOCH2CH2OH, two alcohol groups; CH3OCH2OH, ether and alcohol groups

37.

(a)

A reaction is shown. The first molecule is a C atom bonded to another C atom. The first C atom (from left to right) is bonded to two C H subscript 3 groups. The second C atom is bonded to two H atoms. There is a plus sign. The next molecule shows an H atom bonded to an O atom bonded to a C H subscript 3 group. There is an arrow pointing right. This molecule shows a C atom bonded to three C H subscript 3 groups. The C atom is also bonded to an O atom which is also bonded to a C H subscript 3 group.


(b) 4.593 ×× 102 L

39.

(a) CH3CH=CHCH3+H2OCH3CH2CH(OH)CH3CH3CH=CHCH3+H2OCH3CH2CH(OH)CH3

A reaction is shown. The first molecule shows a C atom bonded with three H atoms. The first C atom is bonded to another C atom. The second C atom is bonded to an H atom and also forms a double bond with a third C atom. The third C atom is bonded to one H atom and fourth C atom. The fourth C atom is bonded to three H atoms. There is a plus sign. The second molecule shows an O atom with two sets of electron dots bonded to two H atoms. There is an arrow pointing right which is labeled, “acid.” The new molecule is a C atom bonded to three H atoms and a second C atom. The second C atom is bonded to two H atoms and a third C atom. The third C atom is bonded to an H atom and an O atom with two sets of electron dots. The O atom is bonded to an H atom. The third C atom is bonded to a fourth C atom which is bonded to three H atoms.


(b) CH3CH2OHCH2=CH2+H2OCH3CH2OHCH2=CH2+H2O

A reaction is shown. The first molecule shows a C atom which is bonded to three H atoms and a second C atom. The second C atom is bonded to an O atom as well. The O atom has two sets of electron dots and is bonded to an H atom. There is an arrow that points to the right. The next molecule shows two C atoms forming a double bond between them. Each C atom is bonded to two H atoms. There is a plus sign. The next molecule shows an O atom with two sets of electron dots bonded to two H atoms.
41.

(a)

A molecular structure is shown with a C H subscript 3 group bonded up and to the right to a C H subscript 2 group which is bonded down and to the left to a C atom. This C atom appears in red. The C atom forms a double bond with an O atom up and to the right. The C atom also forms a single bond with an O H group directly below it.


(b)

A molecular structure is shown with a C H subscript 3 group bonded up and to the right to a C H subscript 2 group which is bonded down and to the left to a C group. This C atom appears in red. The C atom forms a double bond with an O atom up and to the right. Directly below the C atom is a single bond to an H atom.


(c)

A molecular structure is shown with a C H subscript 3 group which is bonded up and to the right to a C H subscript 2 group. The C H subscript 2 group is bonded down and to the left to an C atom. This C atom appears in red. The C atom forms a double bond with an O atom up and to the right. The C atom also forms a single bond to a C H subscript 3 group which appears directly below it.
43.

A ketone contains a group bonded to two additional carbon atoms; thus, a minimum of three carbon atoms are needed.

45.

Since they are both carboxylic acids, they each contain the –COOH functional group and its characteristics. The difference is the hydrocarbon chain in a saturated fatty acid contains no double or triple bonds, whereas the hydrocarbon chain in an unsaturated fatty acid contains one or more multiple bonds.

47.

(a) CH3CH(OH)CH3: all carbons are tetrahedral; (b) CH3COCH3:CH3COCH3: the end carbons are tetrahedral and the central carbon is trigonal planar; (c) CH3OCH3: all are tetrahedral; (d) CH3COOH: the methyl carbon is tetrahedral and the acid carbon is trigonal planar; (e) CH3CH2CH2CH(CH3)CHCH2: all are tetrahedral except the right-most two carbons, which are trigonal planar

49.
A structure shows in brackets a C atom with H atoms bonded above, below, and to the left, and a C atom bonded to the right. This second C atom has an O atom double bonded above and to the right and a second O atom single bonded below and to the right. Outside the brackets to the right appears a superscript minus sign. This is followed by a double headed arrow. To the right of this arrow in brackets is a C atom with H atoms bonded above, below, and to the left, and a C atom bonded to the right. This second C atom has an O atom single bonded above and to the right and a second O atom double bonded below and to the right. Outside the brackets to the right appears a superscript minus symbol. Double bonded O atoms have two pairs of electron dots and single bonded O atoms have 3 pairs of electron dots.
51.

(a) CH3CH2CH2CH2OH+CH3C(O)OHCH3C(O)OCH2CH2CH2CH3+H2O:CH3CH2CH2CH2OH+CH3C(O)OHCH3C(O)OCH2CH2CH2CH3+H2O:

A reaction is shown. The first molecular structure shows a C atom bonded to three H atoms and another C atom. This second C atom is bonded to two H atoms and a third C atom. This third C atom is bonded to two H atoms and a fourth C atom. This C atom is bonded to two H atoms and an O atom. The O atom is bonded to an H atom. The O atom has two pairs of electrons dots. There is a plus sign. The next molecular structure shows a C atom bonded to three H atoms and another C atom. This C atom forms a double bond with an O atom and a single bond with another O atom. The O atom forms a bond with an H atom. Both O atoms have two pairs of electron dots. There is a reaction arrow that points right. The next molecular structure shows a C atom bonded to three H atoms and another C atom. This second C atom forms a double bond with an O atom and a single bond with another O atom. This second O atom is bonded to a C atom which is bonded to two H atoms and another C atom. This C atom is bonded to two H atoms and another C. This C atom is bonded to two H atoms and another C atom. The C atom is bonded to three H atoms. The O atoms have two pairs of electron dots. There is a plus sign. The final molecular structure shows an O atom bonded to two H atoms. The O atom has two pairs of electron dots.


(b) 2CH3CH2COOH+CaCO3(CH3CH2COO)2Ca+CO2+H2O:2CH3CH2COOH+CaCO3(CH3CH2COO)2Ca+CO2+H2O:

A reaction is shown. There is a 2 in front of the first molecular structure. This first structure shows a C atom bonded to three H atoms and another C atom. This second C atom is bonded to two H atoms and a third C atom. This third C atom forms a double bond with an O atom and a single bond with another O atom. This second O atom forms a single bond with an H atom. Both O atoms have two pairs of electron dots. There is a plus sign and C a superscript 2 plus sign. Beside the C a superscript 2 plus sign is a set of brackets. Inside the brackets is a central C atom bonded to three O atoms. Two O atoms have three pairs of electron dots, and one O atom has two pairs of electron dots. A 2 minus sign appears as a superscript to the brackets. There is an arrow pointing right. There is a 2 and a set of brackets. Inside the brackets is a C atom bonded to three H atoms and another C atom. This C atom is bonded to two H atoms and a third C atom. This C atom is bonded to two O atoms. One O atom has two pairs of electron dots, and one O atom has three pairs of electron dots. Outside the brackets a minus sign appears as a superscript. C a superscript 2+ also appears beside the brackets. There is a plus sign. The next molecular structure shows a C atom that forms two sets of double bonds with two O atoms. Each O atom has two pairs of electron dots. There is a plus sign. The final molecular structure shows an O atom bonded to two H atoms. The O atom has two pairs of electron dots.
53.
This figure shows three molecular structures labeled compound A, compound B, and compound C. In A, a C atom is shown bonded the three H atoms and a second C atom. This C atom is bonded to one H atom. Up and to the right it is bonded to another C atom which is bonded to three H atoms. Down and to the left it is bonded to another C atom which is bonded to two H atoms and an O atom. The O atom is bonded to an H atom. The O atom has two pairs of electron dots. In B, a C atom is bonded to three H atoms and another C atom. This second C atom is bonded to an H atom and an O atom. The O atom has two pairs of electron dots and is bonded to an H atom. The second C atom is bonded to third C atom which is bonded to two H atoms. The third C atom is bonded to a fourth C atom which is bonded to three H atoms. In C, a C atom is bonded to three H atoms and another C atom. This C atom is bonded above to another C atom which is bonded to three H atoms, and below to a C atom which is bonded to three H atoms. It is also bonded to an O atom which is bonded to an H atom. The O atom has two pairs of electron dots.
55.

Trimethyl amine: trigonal pyramidal, sp3; trimethyl ammonium ion: tetrahedral, sp3

57.
Two structures are shown, one for pyridine, which is trigonal planar and is labeled s p superscript 2. The second is for the pyridium ion, which is also trigonal planar and is labeled s p superscript 2. Both structures include a hexagonal ring composed of 5 C atoms and 1 N atom which is shown at the top of each structure. In both rings, double bonds alternate and single H atoms extend outward from each C atom. The only structural difference between the two structures involves the unshared electron pair on the N atom in pyridine. This is replaced by a bonded H atom in the pyridium ion which is represented in brackets with a superscript plus symbol outside the brackets.
59.

CH3NH2+H3O+CH3NH3++H2OCH3NH2+H3O+CH3NH3++H2O

A reaction is shown. The first structure shown on the left shows a C atom with H atoms bonded above, below, and to the left. To the right, an N atom is bonded which has an unshared pair of electrons above it and H atoms bonded to its right and below. This structure is followed by a plus sign. A structure follows in brackets which includes an O atom with H atoms bonded above, to the left, and below. A single unshared electron pair is shown on the O atom. Outside the brackets is a superscript plus sign. This is followed by a plus sign and C l surrounded by 4 pairs of electron dots and a superscript minus sign. Following a reaction arrow is another structure in brackets. This structure shows a C atom with H atoms bonded above, below, and to the left. To the right, an N atom is bonded which has H atoms bonded above, below, and to the right. Outside the brackets is a superscript plus sign. This is followed by C l surrounded by 4 pairs of electron dots and superscript minus. This is followed by another plus sign and an H atom which forms a single bond to an O atom to which a second H atom is bonded above. The O atom has two sets of electron dots.
61.

CH3CH = CHCH3(sp2) + Cl CH3CH(Cl)H(Cl)CH3(sp3); 2C6H6(sp2) + 15O2 12CO2(sp) + 6H2O

63.

The carbon in CO32−, initially at sp2, changes hybridization to sp in CO2.

Citation/Attribution

This book may not be used in the training of large language models or otherwise be ingested into large language models or generative AI offerings without OpenStax's permission.

Want to cite, share, or modify this book? This book uses the Creative Commons Attribution License and you must attribute OpenStax.

Attribution information
  • If you are redistributing all or part of this book in a print format, then you must include on every physical page the following attribution:

    Access for free at https://openstax.org/books/chemistry-2e/pages/1-introduction

  • If you are redistributing all or part of this book in a digital format, then you must include on every digital page view the following attribution:

    Access for free at https://openstax.org/books/chemistry-2e/pages/1-introduction

Citation information

© Jul 9, 2025 OpenStax. Textbook content produced by OpenStax is licensed under a Creative Commons Attribution License . The OpenStax name, OpenStax logo, OpenStax book covers, OpenStax CNX name, and OpenStax CNX logo are not subject to the Creative Commons license and may not be reproduced without the prior and express written consent of Rice University.