Skip to ContentGo to accessibility pageKeyboard shortcuts menu
OpenStax Logo
Calculus Volume 3

5.2 Double Integrals over General Regions

Calculus Volume 35.2 Double Integrals over General Regions
Search for key terms or text.

Learning Objectives

  • 5.2.1 Recognize when a function of two variables is integrable over a general region.
  • 5.2.2 Evaluate a double integral by computing an iterated integral over a region bounded by two vertical lines and two functions of x , x , or two horizontal lines and two functions of y . y .
  • 5.2.3 Simplify the calculation of an iterated integral by changing the order of integration.
  • 5.2.4 Use double integrals to calculate the volume of a region between two surfaces or the area of a plane region.
  • 5.2.5 Solve problems involving double improper integrals.

In Double Integrals over Rectangular Regions, we studied the concept of double integrals and examined the tools needed to compute them. We learned techniques and properties to integrate functions of two variables over rectangular regions. We also discussed several applications, such as finding the volume bounded above by a function over a rectangular region, finding area by integration, and calculating the average value of a function of two variables.

In this section we consider double integrals of functions defined over a general bounded region DD on the plane. Most of the previous results hold in this situation as well, but some techniques need to be extended to cover this more general case.

General Regions of Integration

An example of a general bounded region DD on a plane is shown in Figure 5.12. Since DD is bounded on the plane, there must exist a rectangular region RR on the same plane that encloses the region D,D, that is, a rectangular region RR exists such that DD is a subset of R(DR).R(DR).

A rectangle R with a shape D inside of it. Inside D, there is a point labeled g(x, y) = f(x, y). Outside D but still inside R, there is a point labeled g(x, y) = 0.
Figure 5.12 For a region DD that is a subset of R,R, we can define a function g(x,y)g(x,y) to equal f(x,y)f(x,y) at every point in DD and 00 at every point of RR not in D.D.

Suppose z=f(x,y)z=f(x,y) is defined on a general planar bounded region DD as in Figure 5.12. In order to develop double integrals of ff over D,D, we extend the definition of the function to include all points on the rectangular region RR and then use the concepts and tools from the preceding section. But how do we extend the definition of ff to include all the points on R?R? We do this by defining a new function g(x,y)g(x,y) on RR as follows:

g(x,y)={f(x,y)if(x,y)is inD0if(x,y)is inRbut not inDg(x,y)={f(x,y)if(x,y)is inD0if(x,y)is inRbut not inD

Note that we might have some technical difficulties if the boundary of DD is complicated. So we assume the boundary to be a piecewise smooth and continuous simple closed curve. Also, since all the results developed in Double Integrals over Rectangular Regions used an integrable function f(x,y),f(x,y), we must be careful about g(x,y)g(x,y) and verify that g(x,y)g(x,y) is an integrable function over the rectangular region R.R. This happens as long as the region DD is bounded by simple closed curves. For now we will concentrate on the descriptions of the regions rather than the function and extend our theory appropriately for integration.

We consider two types of planar bounded regions.

Definition

A region DD in the (x,y)(x,y)-plane is of Type I if it lies between two vertical lines and the graphs of two continuous functions g1(x)g1(x) and g2(x).g2(x). That is (Figure 5.13),

D={(x,y)|axb,g1(x)yg2(x)}.D={(x,y)|axb,g1(x)yg2(x)}.

A region DD in the xyxy plane is of Type II if it lies between two horizontal lines and the graphs of two continuous functions h1(y)andh2(y).h1(y)andh2(y). That is (Figure 5.14),

D={(x,y)|cyd,h1(y)xh2(y)}.D={(x,y)|cyd,h1(y)xh2(y)}.
The graphs showing a region marked D. In all instances, between a and b, there is a shape that is defined by two functions g1(x) and g2(x). In one instance, the two functions do not touch; in another instance, they touch at the end point a, and in the last instance they touch at both end points.
Figure 5.13 A Type I region lies between two vertical lines and the graphs of two functions of x.x.
The graphs show a region marked D. In all instances, between c and d, there is a shape that is defined by two vertically oriented functions x = h1(y) and x = h2(y). In one instance, the two functions do not touch; in the other instance, they touch at the end point c.
Figure 5.14 A Type II region lies between two horizontal lines and the graphs of two functions of y.y.

Example 5.11

Describing a Region as Type I and Also as Type II

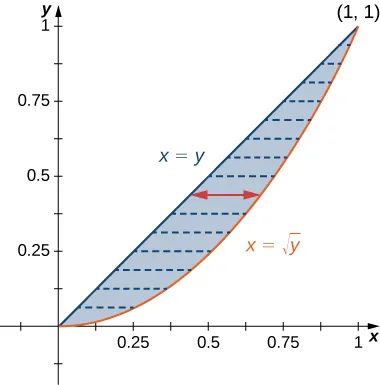
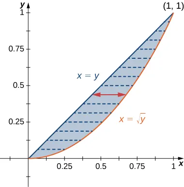
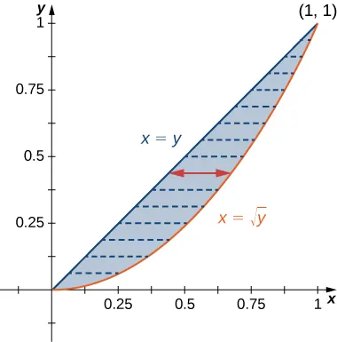
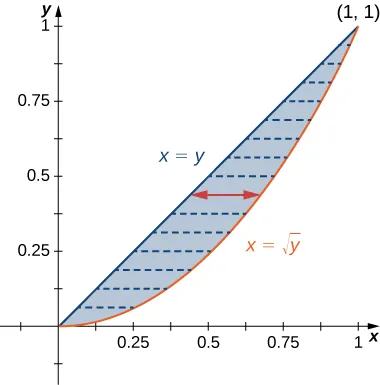
Consider the region in the first quadrant between the functions y=xy=x and y=x3y=x3 (Figure 5.15). Describe the region first as Type I and then as Type II.

The region D is drawn between two functions, namely, y = the square root of x and y = x3.
Figure 5.15 Region DD can be described as Type I or as Type II.

Checkpoint 5.7

Consider the region in the first quadrant between the functions y=2xy=2x and y=x2.y=x2. Describe the region first as Type I and then as Type II.

Double Integrals over Nonrectangular Regions

To develop the concept and tools for evaluation of a double integral over a general, nonrectangular region, we need to first understand the region and be able to express it as Type I or Type II or a combination of both. Without understanding the regions, we will not be able to decide the limits of integrations in double integrals. As a first step, let us look at the following theorem.

Theorem 5.3

Double Integrals over Nonrectangular Regions

Suppose g(x,y)g(x,y) is the extension to the rectangle RR of the integrable function f(x,y)f(x,y) defined on the region DD, where DD is inside RR. Sample regions are as shown in Figure 5.12. Then g(x,y)g(x,y) is integrable and we define the double integral of f(x,y)f(x,y) over DD by

Df(x,y)dA=Rg(x,y)dA.Df(x,y)dA=Rg(x,y)dA.

The right-hand side of this equation is what we have seen before, so this theorem is reasonable because RR is a rectangle and Rg(x,y)dARg(x,y)dA has been discussed in the preceding section. Also, the equality works because the values of g(x,y)g(x,y) are 00 for any point (x,y)(x,y) that lies outside D,D, and hence these points do not add anything to the integral. However, it is important that the rectangle RR contains the region D.D.

As a matter of fact, if the region DD is bounded by smooth curves on a plane and we are able to describe it as Type I or Type II or a mix of both, then we can use the following theorem and not have to find a rectangle RR containing the region.

Theorem 5.4

Fubini’s Theorem (Strong Form)

For a function f(x,y)f(x,y) that is continuous on a region DD of Type I, we have

Df(x,y)dA=Df(x,y)dydx=ab[g1(x)g2(x)f(x,y)dy]dx.Df(x,y)dA=Df(x,y)dydx=ab[g1(x)g2(x)f(x,y)dy]dx.
(5.5)

Similarly, for a function f(x,y)f(x,y) that is continuous on a region DD of Type II, we have

Df(x,y)dA=Df(x,y)dxdy=cd[h1(y)h2(y)f(x,y)dx]dy.Df(x,y)dA=Df(x,y)dxdy=cd[h1(y)h2(y)f(x,y)dx]dy.
(5.6)

The integral in each of these expressions is an iterated integral, similar to those we have seen before. Notice that, in the inner integral in the first expression, we integrate f(x,y)f(x,y) with xx being held constant and the limits of integration being g1(x)andg2(x).g1(x)andg2(x). In the inner integral in the second expression, we integrate f(x,y)f(x,y) with yy being held constant and the limits of integration are h1(x)andh2(x).h1(x)andh2(x).

Example 5.12

Evaluating an Iterated Integral over a Type I Region

Evaluate the integral Dx2exydADx2exydA where DD is shown in Figure 5.16.

In Example 5.12, we could have looked at the region in another way, such as D={(x,y)|0y1,0x2y}D={(x,y)|0y1,0x2y} (Figure 5.17).

A triangle marked D drawn with lines x = 2y and y = 1, with vertices (0, 0), (2, 1), and (0, 1). Here there is a pair of red arrows reaching horizontally from one edge to the other.
Figure 5.17

This is a Type II region and the integral would then look like

Dx2exydA=y=0y=1x=0x=2yx2exydxdy.Dx2exydA=y=0y=1x=0x=2yx2exydxdy.

However, if we integrate first with respect to x,x, this integral is lengthy to compute because we have to use integration by parts twice.

Example 5.13

Evaluating an Iterated Integral over a Type II Region

Evaluate the integral D(3x2+y2)dAD(3x2+y2)dA where ={(x,y)|2y3,y23xy+3}.={(x,y)|2y3,y23xy+3}.

Checkpoint 5.8

Sketch the region DD and evaluate the iterated integral DxydydxDxydydx where DD is the region bounded by the curves y=cosxy=cosx and y=sinxy=sinx in the interval [−3π/4,π/4].[−3π/4,π/4].

Recall from Double Integrals over Rectangular Regions the properties of double integrals. As we have seen from the examples here, all these properties are also valid for a function defined on a nonrectangular bounded region on a plane. In particular, property 33 states:

If R=STR=ST and ST=ST= except at their boundaries, then

Rf(x,y)dA=Sf(x,y)dA+Tf(x,y)dA.Rf(x,y)dA=Sf(x,y)dA+Tf(x,y)dA.

Similarly, we have the following property of double integrals over a nonrectangular bounded region on a plane.

Theorem 5.5

Decomposing Regions into Smaller Regions

Suppose the region DD can be expressed as D=D1D2D=D1D2 where D1D1 and D2D2 do not overlap except at their boundaries. Then

Df(x,y)dA=D1f(x,y)dA+D2f(x,y)dA.Df(x,y)dA=D1f(x,y)dA+D2f(x,y)dA.
(5.7)

This theorem is particularly useful for nonrectangular regions because it allows us to split a region into a union of regions of Type I and Type II. Then we can compute the double integral on each piece in a convenient way, as in the next example.

Example 5.14

Decomposing Regions

Express the region DD shown in Figure 5.19 as a union of regions of Type I or Type II, and evaluate the integral

D(2x+5y)dA.D(2x+5y)dA.
A complicated shape enclosed by the lines y = (x + 2) squared, x = 16y minus y cubed, x = negative 2, and y = negative 4. This graph has intersection points (0, 4), (negative 2, 0), (0, negative 4), and (negative 2, negative 4).
Figure 5.19 This region can be decomposed into a union of three regions of Type I or Type II.

Checkpoint 5.9

Consider the region bounded by the curves y=lnxy=lnx and y=exy=ex in the interval [1,2].[1,2]. Decompose the region into smaller regions of Type II.

Checkpoint 5.10

Redo Example 5.14 using a union of two Type II regions.

Changing the Order of Integration

As we have already seen when we evaluate an iterated integral, sometimes one order of integration leads to a computation that is significantly simpler than the other order of integration. Sometimes the order of integration does not matter, but it is important to learn to recognize when a change in order will simplify our work.

Example 5.15

Changing the Order of Integration

Reverse the order of integration in the iterated integral x=0x=2y=0y=2x2xex2dydx.x=0x=2y=0y=2x2xex2dydx. Then evaluate the new iterated integral.

Example 5.16

Evaluating an Iterated Integral by Reversing the Order of Integration

Consider the iterated integral Rf(x,y)dxdyRf(x,y)dxdy where z=f(x,y)=x2yz=f(x,y)=x2y over a triangular region RR that has sides on x=0,y=0,x=0,y=0, and the line x+y=1.x+y=1. Sketch the region, and then evaluate the iterated integral by

  1. integrating first with respect to yy and then
  2. integrating first with respect to x.x.

Checkpoint 5.11

Evaluate the iterated integral D(x2+y2)dAD(x2+y2)dA over the region DD in the first quadrant between the functions y=2xy=2x and y=x2.y=x2. Evaluate the iterated integral by integrating first with respect to yy and then integrating first with resect to x.x.

Calculating Volumes, Areas, and Average Values

We can use double integrals over general regions to compute volumes, areas, and average values. The methods are the same as those in Double Integrals over Rectangular Regions, but without the restriction to a rectangular region, we can now solve a wider variety of problems.

Example 5.17

Finding the Volume of a Tetrahedron

Find the volume of the solid bounded by the planes x=0,y=0,z=0,x=0,y=0,z=0, and 2x+3y+z=6.2x+3y+z=6.

Checkpoint 5.12

Find the volume of the solid bounded above by f(x,y)=102x+yf(x,y)=102x+y over the region enclosed by the curves y=0y=0 and y=ex,y=ex, where xx is in the interval [0,1].[0,1].

Finding the area of a rectangular region is easy, but finding the area of a nonrectangular region is not so easy. As we have seen, we can use double integrals to find a rectangular area. As a matter of fact, this comes in very handy for finding the area of a general nonrectangular region, as stated in the next definition.

Definition

The area of a plane-bounded region DD is defined as the double integral D1dA.D1dA.

We have already seen how to find areas in terms of single integration. Here we are seeing another way of finding areas by using double integrals, which can be very useful, as we will see in the later sections of this chapter.

Example 5.18

Finding the Area of a Region

Find the area of the region bounded below by the curve y=x2y=x2 and above by the line y=2xy=2x in the first quadrant (Figure 5.24).

The line y = 2 x (also marked x = y/2) is shown, as is y = x squared (also marked x = the square root of y). There are vertical and horizontal shadings giving for small stretch of this region, denoting that it can be treated as a Type I or Type II area.
Figure 5.24 The region bounded by y=x2y=x2 and y=2x.y=2x.

Checkpoint 5.13

Find the area of a region bounded above by the curve y=x3y=x3 and below by y=0y=0 over the interval [0,3].[0,3].

We can also use a double integral to find the average value of a function over a general region. The definition is a direct extension of the earlier formula.

Definition

If f(x,y)f(x,y) is integrable over a plane-bounded region DD with positive area A(D),A(D), then the average value of the function is

fave=1A(D)Df(x,y)dA.fave=1A(D)Df(x,y)dA.

Note that the area is A(D)=D1dA.A(D)=D1dA.

Example 5.19

Finding an Average Value

Find the average value of the function f(x,y)=7xy2f(x,y)=7xy2 on the region bounded by the line x=yx=y and the curve x=yx=y (Figure 5.25).

The lines x = y and x = the square root of y bound a shaded region. There are horizontal dashed lines marked throughout the region.
Figure 5.25 The region bounded by x=yx=y and x=y.x=y.

Checkpoint 5.14

Find the average value of the function f(x,y)=xyf(x,y)=xy over the triangle with vertices (0,0),(1,0)and(1,3).(0,0),(1,0)and(1,3).

Improper Double Integrals

An improper double integral is an integral DfdADfdA where either DD is an unbounded region or ff is an unbounded function. For example, D={(x,y)||xy|2}D={(x,y)||xy|2} is an unbounded region, and the function f(x,y)=1/(1x22y2)f(x,y)=1/(1x22y2) over the ellipse x2+2y21x2+2y21 is an unbounded function. Hence, both of the following integrals are improper integrals:

  1. DxydADxydA where D={(x,y)||xy|2};D={(x,y)||xy|2};
  2. D11x22y2dAD11x22y2dA where D={(x,y)|x2+2y21}.D={(x,y)|x2+2y21}.

In this section we would like to deal with improper integrals of functions over rectangles or simple regions such that ff has only finitely many discontinuities. Not all such improper integrals can be evaluated; however, a form of Fubini’s theorem does apply for some types of improper integrals.

Theorem 5.6

Fubini’s Theorem for Improper Integrals

If DD is a bounded rectangle or simple region in the plane defined by {(x,y):axb,g(x)yh(x)}{(x,y):axb,g(x)yh(x)} and also by {(x,y):cyd,j(y)xk(y)}{(x,y):cyd,j(y)xk(y)} and ff is a nonnegative function on DD with finitely many discontinuities in the interior of D,D, then

DfdA=x=ax=by=g(x)y=h(x)f(x,y)dydx=y=cy=dx=j(y)x=k(y)f(x,y)dxdy.DfdA=x=ax=by=g(x)y=h(x)f(x,y)dydx=y=cy=dx=j(y)x=k(y)f(x,y)dxdy.

It is very important to note that we required that the function be nonnegative on DD for the theorem to work. We consider only the case where the function has finitely many discontinuities inside D.D.

Example 5.20

Evaluating a Double Improper Integral

Consider the function f(x,y)=eyyf(x,y)=eyy over the region D={(x,y):0x1,xyx}.D={(x,y):0x1,xyx}.

Notice that the function is nonnegative and continuous at all points on DD except (0,0).(0,0). Use Fubini’s theorem to evaluate the improper integral.

As mentioned before, we also have an improper integral if the region of integration is unbounded. Suppose now that the function ff is continuous in an unbounded rectangle R.R.

Theorem 5.7

Improper Integrals on an Unbounded Region

If RR is an unbounded rectangle such as R={(x,y):ax<,cy<},R={(x,y):ax<,cy<}, then when the limit exists, we have Rf(x,y)dA=lim(b,d)(,)ab(cdf(x,y)dy)dx=lim(b,d)(,)cd(abf(x,y)dx)dy.Rf(x,y)dA=lim(b,d)(,)ab(cdf(x,y)dy)dx=lim(b,d)(,)cd(abf(x,y)dx)dy.

The following example shows how this theorem can be used in certain cases of improper integrals.

Example 5.21

Evaluating a Double Improper Integral

Evaluate the integral Rxyex2y2dARxyex2y2dA where RR is the first quadrant of the plane.

Checkpoint 5.15

Evaluate the improper integral Dy1x2y2dADy1x2y2dA where D={(x,y)|x0,y0,x2+y21}.D={(x,y)|x0,y0,x2+y21}.

In some situations in probability theory, we can gain insight into a problem when we are able to use double integrals over general regions. Before we go over an example with a double integral, we need to set a few definitions and become familiar with some important properties.

Definition

Consider a pair of continuous random variables XX and Y,Y, such as the birthdays of two people or the number of sunny and rainy days in a month. The joint density function ff of XX and YY satisfies the probability that (X,Y)(X,Y) lies in a certain region D:D:

P((X,Y)D)=Df(x,y)dA.P((X,Y)D)=Df(x,y)dA.

Since the probabilities can never be negative and must lie between 00 and 1,1, the joint density function satisfies the following inequality and equation:

f(x,y)0andR2f(x,y)dA=1.f(x,y)0andR2f(x,y)dA=1.

Definition

The variables XX and YY are said to be independent random variables if their joint density function is the product of their individual density functions:

f(x,y)=f1(x)f2(y).f(x,y)=f1(x)f2(y).

Example 5.22

Application to Probability

At Sydney’s Restaurant, customers must wait an average of 1515 minutes for a table. From the time they are seated until they have finished their meal requires an additional 4040 minutes, on average. What is the probability that a customer spends less than an hour and a half at the diner, assuming that waiting for a table and completing the meal are independent events?

Another important application in probability that can involve improper double integrals is the calculation of expected values. First we define this concept and then show an example of a calculation.

Definition

In probability theory, we denote the expected values E(X)E(X) and E(Y),E(Y), respectively, as the most likely outcomes of the events. The expected values E(X)E(X) and E(Y)E(Y) are given by

E(X)=Sxf(x,y)dAandE(Y)=Syf(x,y)dA,E(X)=Sxf(x,y)dAandE(Y)=Syf(x,y)dA,

where SS is the sample space of the random variables XX and Y.Y.

Example 5.23

Finding Expected Value

Find the expected time for the events ‘waiting for a table’ and ‘completing the meal’ in Example 5.22.

Checkpoint 5.16

The joint density function for two random variables XX and YY is given by

f(x,y)= 1 16250 ( x 2 + y 2 )if0x15,0y100otherwisef(x,y)= 1 16250 ( x 2 + y 2 )if0x15,0y100otherwise

Find the probability that XX is at most 1010 and YY is at least 5.5.

Section 5.2 Exercises

In the following exercises, specify whether the region is of Type I or Type II.

60.

The region DD bounded by y=x3,y=x3, y=x3+1,y=x3+1, x=0,x=0, and x=1x=1 as given in the following figure.

A region is bounded by y = 1 + x cubed, y = x cubed, x = 0, and x = 1.
61.

Find the average value of the function f(x,y)=3xyf(x,y)=3xy on the region graphed in the previous exercise.

62.

Find the area of the region DD given in the previous exercise.

63.

The region DD bounded by y=sinx,y=1+sinx,x=0,andx=π2y=sinx,y=1+sinx,x=0,andx=π2 as given in the following figure.

A region is bounded by y = 1 + sin x, y = sin x, x = 0, and x = pi/2.
64.

Find the average value of the function f(x,y)=cosxf(x,y)=cosx on the region graphed in the previous exercise.

65.

Find the area of the region DD given in the previous exercise.

66.

The region DD bounded by x=y21x=y21 and x=1y2x=1y2 as given in the following figure.

A region is bounded by x = negative 1 + y squared and x = the square root of the quantity (1 minus y squared).
67.

Find the volume of the solid under the graph of the function f(x,y)=xy+1f(x,y)=xy+1 and above the region in the figure in the previous exercise.

68.

The region DD bounded by y=0,x=−10+y,andx=10yy=0,x=−10+y,andx=10y as given in the following figure.

A region is bounded by x = negative 10 + y, x = 10 minus y, and y = 0.
69.

Find the volume of the solid under the graph of the function f(x,y)=x+yf(x,y)=x+y and above the region in the figure from the previous exercise.

70.

The region DD bounded by y=0,x=y1,y=0,x=y1, x=π2x=π2 as given in the following figure.

A region is bounded by x = pi/2, y = 0, and x = negative 1 + y.
71.

The region DD bounded by y=0y=0 and y=x21y=x21 as given in the following figure.

A region is bounded by y = 0 and y = negative 1 + x squared.
72.

Let DD be the region bounded by the curves of equations y=x,y=x,y=x,y=x, and y=2x2.y=2x2. Explain why DD is neither of Type I nor II.

73.

Let DD be the region bounded by the curves of equations y=cosxy=cosx and y=4x2y=4x2 and the xx-axis. Explain why DD is neither of Type I nor II.

In the following exercises, evaluate the double integral Df(x,y)dADf(x,y)dA over the region D.D.

74.

f(x,y)=2x+5yf(x,y)=2x+5y and D={(x,y)|0x1,x3yx3+1}D={(x,y)|0x1,x3yx3+1}

75.

f(x,y)=1f(x,y)=1 and D={(x,y)|0xπ2,sinxy1+sinx}D={(x,y)|0xπ2,sinxy1+sinx}

76.

f(x,y)=2f(x,y)=2 and D={(x,y)|0y1,y1xarccosy}D={(x,y)|0y1,y1xarccosy}

77.

f(x,y)=xyf(x,y)=xy and D={(x,y)|1y1,y21x1y2}D={(x,y)|1y1,y21x1y2}

78.

f(x,y)=sinyf(x,y)=siny and DD is the triangular region with vertices (0,0),(0,3),and(3,0)(0,0),(0,3),and(3,0)

79.

f(x,y)=x+1f(x,y)=x+1 and DD is the triangular region with vertices (0,0),(0,2),and(2,2)(0,0),(0,2),and(2,2)

Evaluate the iterated integrals.

80.

0 1 2 x 3 x ( x + y 2 ) d y d x 0 1 2 x 3 x ( x + y 2 ) d y d x

81.

0 1 2 x 2 x + 1 ( x y + 1 ) d y d x 0 1 2 x 2 x + 1 ( x y + 1 ) d y d x

82.

e e 2 ln u 2 ( v + ln u ) d v d u e e 2 ln u 2 ( v + ln u ) d v d u

83.

1 2 u 2 1 u ( 8 u v ) d v d u 1 2 u 2 1 u ( 8 u v ) d v d u

84.

0 1 1 y 2 1 y 2 ( 2 x + 4 x 3 ) d x d y 0 1 1 y 2 1 y 2 ( 2 x + 4 x 3 ) d x d y

85.

0 1 / 2 1 4 y 2 1 4 y 2 4 d x d y 0 1 / 2 1 4 y 2 1 4 y 2 4 d x d y

86.

Let DD be the region in the first quadrant bounded by y=1x2,y=4x2,y=1x2,y=4x2, and the xx- and yy-axes.

  1. Show that DxdA=011x24x2xdydx+1204x2xdydxDxdA=011x24x2xdydx+1204x2xdydx by dividing the region DD into two regions of Type I.
  2. Evaluate the integral DxdA.DxdA.
87.

Let DD be the region bounded by y=1,y=1, y=x,y=x, y=lnx,y=lnx, and the xx-axis.

  1. Show that DydA=010xydydx+1elnx1ydydxDydA=010xydydx+1elnx1ydydx by dividing DD into two regions of Type I.
  2. Evaluate the integral DydA.DydA.
88.
  1. Show that Dy2dA=−10x2x2y2dydx+01x2x2y2dydxDy2dA=−10x2x2y2dydx+01x2x2y2dydx by dividing the region DD into two regions of Type I, where D={(x,y)|yx,yx,y2x2}.D={(x,y)|yx,yx,y2x2}.
  2. Evaluate the integral Dy2dA.Dy2dA.
89.

Let DD be the region bounded by y=x2,y=x+2,y=x2,y=x+2, and y=x.y=x.

  1. Show that DxdA=01yyxdxdy+14y2yxdxdyDxdA=01yyxdxdy+14y2yxdxdy by dividing the region DD into two regions of Type II, where D={(x,y)|yx2,yx,yx+2}.D={(x,y)|yx2,yx,yx+2}.
  2. Evaluate the integral DxdA.DxdA.
90.

The region DD bounded by x=0,y=x5+1,x=0,y=x5+1, and y=3x2y=3x2 is shown in the following figure. Find the area A(D)A(D) of the region D.D.

A region is bounded by y = 1 + x to the fifth power, y = 3 minus x squared, and x = 0.
91.

The region DD bounded by y=cosx,y=4+cosx,y=cosx,y=4+cosx, and x=±π3x=±π3 is shown in the following figure. Find the area A(D)A(D) of the region D.D.

A region is bounded by y = cos x, y = 4 + cos x, x = negative 1, and x = 1.
92.

Find the area A(D)A(D) of the region D={(x,y)|y1x2,y4x2,y0,x0}.D={(x,y)|y1x2,y4x2,y0,x0}.

93.

Let DD be the region bounded by y=1,y=x,y=lnx,y=1,y=x,y=lnx, and the xx-axis. Find the area A(D)A(D) of the region D.D.

94.

Find the average value of the function f(x,y)=sinyf(x,y)=siny on the triangular region with vertices (0,0),(0,3),(0,0),(0,3), and (3,0).(3,0).

95.

Find the average value of the function f(x,y)=x+1f(x,y)=x+1 on the triangular region with vertices (0,0),(0,2),(0,0),(0,2), and (2,2).(2,2).

In the following exercises, change the order of integration and evaluate the integral.

96.

−1 π / 2 0 x + 1 sin x d y d x −1 π / 2 0 x + 1 sin x d y d x

97.

0 1 x 1 1 x x d y d x 0 1 x 1 1 x x d y d x

98.

−1 0 y + 1 y + 1 y 2 d x d y −1 0 y + 1 y + 1 y 2 d x d y

99.

−1 1 1 y 2 1 y 2 y d x d y −1 1 1 y 2 1 y 2 y d x d y

100.

The region DD is shown in the following figure. Evaluate the double integral D(x2+y)dAD(x2+y)dA by using the easier order of integration.

A region is bounded by y = negative 4 + x squared and y = 4 minus x squared.
101.

The region DD is given in the following figure. Evaluate the double integral D(x2y2)dAD(x2y2)dA by using the easier order of integration.

A region is bounded by y to the fourth power = 1 minus x and y to the fourth power = 1 + x.
102.

Find the volume of the solid under the surface z=2x+y2z=2x+y2 and above the region bounded by y=x5y=x5 and y=x.y=x.

103.

Find the volume in the first octant of the solid under the plane z=3x+yz=3x+y and above the region determined by y=x7y=x7 and y=x.y=x.

104.

Find the volume of the solid under the plane z=xyz=xy and above the region bounded by x=tany,x=tany,x=tany,x=tany, and x=1.x=1.

105.

Find the volume of the solid under the surface z=x3z=x3 and above the plane region bounded by x=siny,x=siny,x=siny,x=siny, and x=1x=1 for values of yy between y=–π2 and y=π2y=–π2 and y=π2

106.

Let gg be a positive, increasing, and differentiable function on the interval [a,b].[a,b]. Show that the volume of the solid under the surface z=g(x)z=g(x) and above the region bounded by y=0,y=0, y=g(x),y=g(x), x=a,x=a, and x=bx=b is given by 12(g2(b)g2(a)).12(g2(b)g2(a)).

107.

Let gg be a positive, increasing, and differentiable function on the interval [a,b],[a,b], and let kk be a positive real number. Show that the volume of the solid under the surface z=g(x)z=g(x) and above the region bounded by y=g(x),y=g(x)+k,x=a,y=g(x),y=g(x)+k,x=a, and x=bx=b is given by k(g(b)g(a)).k(g(b)g(a)).

108.

Find the volume of the solid situated in the first octant and determined by the planes z=2,z=2, z=0,x+y=1,x=0,andy=0.z=0,x+y=1,x=0,andy=0.

109.

Find the volume of the solid situated in the first octant and bounded by the planes x+2y=1,x+2y=1, x=0,y=0,z=4,andz=0.x=0,y=0,z=4,andz=0.

110.

Find the volume of the solid bounded by the planes x+y=1,xy=1,x=0,z=0,x+y=1,xy=1,x=0,z=0, and z=10.z=10.

111.

Find the volume of the solid bounded by the planes x+y=1,xy=1,x+y=−1,x+y=1,xy=1,x+y=−1, xy=−1,z=1andz=0.xy=−1,z=1andz=0.

112.

Let S1S1 and S2S2 be the solids situated in the first octant under the planes x+y+z=1x+y+z=1 and x+y+2z=1,x+y+2z=1, respectively, and let SS be the solid situated between S1,S2,x=0,andy=0.S1,S2,x=0,andy=0.

  1. Find the volume of the solid S1.S1.
  2. Find the volume of the solid S2.S2.
  3. Find the volume of the solid SS by subtracting the volumes of the solids S1andS2.S1andS2.
113.

Let S1andS2S1andS2 be the solids situated in the first octant under the planes 2x+2y+z=22x+2y+z=2 and x+y+z=1,x+y+z=1, respectively, and let SS be the solid situated between S1,S2,x=0,andy=0.S1,S2,x=0,andy=0.

  1. Find the volume of the solid S1.S1.
  2. Find the volume of the solid S2.S2.
  3. Find the volume of the solid SS by subtracting the volumes of the solids S1andS2.S1andS2.
114.

Let S1andS2S1andS2 be the solids situated in the first octant under the plane x+y+z=2x+y+z=2 and under the sphere x2+y2+z2=4,x2+y2+z2=4, respectively. If the volume of the solid S2S2 is 4π3,4π3, determine the volume of the solid SS situated between S1S1 and S2S2 by subtracting the volumes of these solids.

115.

Consider the plane x + y + z = 2x + y + z = 2 and the cylinder x2 + y2 =  4 x2 + y2 =  4 in the first octant.

  1. Find the volume under the plane.
  2. Find the volume inside the cylinder under the plane z = 2z = 2.
  3. Find the volume above the plane, inside the cylinder, and below the plane z = 2z = 2.
116.

[T] The following figure shows the region DD bounded by the curves y=sinx,y=sinx, x=0,x=0, and y=x4.y=x4. Use a graphing calculator or CAS to find the xx-coordinates of the intersection points of the curves and to determine the area of the region D.D. Round your answers to six decimal places.

A region is bounded by y = sin x, y = x to the fourth power, and x = 0.
117.

[T] The region DD bounded by the curves y=cosx,x=0,andy=x3y=cosx,x=0,andy=x3 is shown in the following figure. Use a graphing calculator or CAS to find the x-coordinates of the intersection points of the curves and to determine the area of the region D.D. Round your answers to six decimal places.

A region is bounded by y = cos x, y = x cubed, and x = 0.
118.

Suppose that (X,Y)(X,Y) is the outcome of an experiment that must occur in a particular region SS in the xyxy-plane. In this context, the region SS is called the sample space of the experiment and XandYXandY are random variables. If DD is a region included in S,S, then the probability of (X,Y)(X,Y) being in DD is defined as P[(X,Y)D]=Dp(x,y)dxdy,P[(X,Y)D]=Dp(x,y)dxdy, where p(x,y)p(x,y) is the joint probability density of the experiment. Here, p(x,y)p(x,y) is a nonnegative function for which Sp(x,y)dxdy=1.Sp(x,y)dxdy=1. Assume that a point (X,Y)(X,Y) is chosen arbitrarily in the square [0,3]×[0,3][0,3]×[0,3] with the probability density

p ( x , y ) = { 1 9 ( x , y ) [ 0 , 3 ] × [ 0 , 3 ] , 0 otherwise . p ( x , y ) = { 1 9 ( x , y ) [ 0 , 3 ] × [ 0 , 3 ] , 0 otherwise .

Find the probability that the point (X,Y)(X,Y) is inside the unit square and interpret the result.

119.

Consider XandYXandY two random variables of probability densities p1(x)p1(x) and p2(y),p2(y), respectively. The random variables XandYXandY are said to be independent if their joint density function is given by p(x,y)=p1(x)p2(y).p(x,y)=p1(x)p2(y). At a drive-thru restaurant, customers spend, on average, 33 minutes placing their orders and an additional 55 minutes paying for and picking up their meals. Assume that placing the order and paying for/picking up the meal are two independent events XX and Y.Y. If the waiting times are modeled by the exponential probability densities

p 1 ( x ) = { 1 3 e x / 3 x 0 , 0 otherwise, and p 2 ( y ) = { 1 5 e y / 5 y 0 , 0 otherwise, p 1 ( x ) = { 1 3 e x / 3 x 0 , 0 otherwise, and p 2 ( y ) = { 1 5 e y / 5 y 0 , 0 otherwise,

respectively, the probability that a customer will spend less than 6 minutes in the drive-thru line is given by P[X+Y6]=Dp(x,y)dxdy,P[X+Y6]=Dp(x,y)dxdy, where D={(x,y)}|x0,y0,x+y6}.D={(x,y)}|x0,y0,x+y6}. Find P[X+Y6]P[X+Y6] and interpret the result.

120.

[T] The Reuleaux triangle consists of an equilateral triangle and three regions, each of them bounded by a side of the triangle and an arc of a circle of radius s centered at the opposite vertex of the triangle. Show that the area of the Reuleaux triangle in the following figure of side length ss is s22(π3).s22(π3).

An equilateral triangle with additional regions consisting of three arcs of a circle with radius equal to the length of the side of the triangle. These arcs connect two adjacent vertices, and the radius is taken from the opposite vertex.
121.

[T] Show that the area of the lunes of Alhazen, the two blue lunes in the following figure, is the same as the area of the right triangle ABC. The outer boundaries of the lunes are semicircles of diameters ABandBC,ABandBC, respectively, and the inner boundaries are formed by the circumcircle of the triangle ABC.ABC.

A right triangle with points A, B, and C. Point B has the right angle. There are two lunes drawn from A to B and from B to C with outer diameters AB and AC, respectively, and with the inner boundaries formed by the circumcircle of the triangle ABC.
Citation/Attribution

This book may not be used in the training of large language models or otherwise be ingested into large language models or generative AI offerings without OpenStax's permission.

Want to cite, share, or modify this book? This book uses the Creative Commons Attribution-NonCommercial-ShareAlike License and you must attribute OpenStax.

Attribution information
  • If you are redistributing all or part of this book in a print format, then you must include on every physical page the following attribution:

    Access for free at https://openstax.org/books/calculus-volume-3/pages/1-introduction

  • If you are redistributing all or part of this book in a digital format, then you must include on every digital page view the following attribution:

    Access for free at https://openstax.org/books/calculus-volume-3/pages/1-introduction

Citation information

© Jul 24, 2025 OpenStax. Textbook content produced by OpenStax is licensed under a Creative Commons Attribution-NonCommercial-ShareAlike License . The OpenStax name, OpenStax logo, OpenStax book covers, OpenStax CNX name, and OpenStax CNX logo are not subject to the Creative Commons license and may not be reproduced without the prior and express written consent of Rice University.