Skip to ContentGo to accessibility pageKeyboard shortcuts menu
OpenStax Logo
Algebra 1

6.5.3 Factoring Trinomials Using Trial and Error

Algebra 16.5.3 Factoring Trinomials Using Trial and Error
Search for key terms or text.

6.5.3 • Factoring Trinomials Using Trial and Error

Activity

How to factor trinomials of the form a x 2 + b x + c a x 2 + b x + c using trial and error:

Step 1 - Write the trinomial in descending order of degrees as needed.

Step 2 - Factor any GCF.

Step 3 - Find all the factor pairs of the first term.

Step 4 - Find all the factor pairs of the third term.

Step 5 - Test all the possible combinations of the factors until the correct product is found.

Step 6 - Check by multiplying.

Remember these helpful rules when factoring trinomials:

  • Factor out the GCF first.
    • This is an important rule since it makes the remaining trinomial much simpler to factor. It may change the trinomial from the form a x 2 + b x + c a x 2 + b x + c to the form x 2 + b x + c x 2 + b x + c . This would allow you to use the “undoing FOIL” process instead of trial and error.
  • When the middle term is negative and the last term is positive, the signs in the binomials must both be negative.
    • Only two negative numbers will result in a negative sum and a positive product.
  • If the leading coefficient is negative, so is the GCF.
    • Factoring out the negative sign from the leading coefficient will make the trinomial simpler to factor.
  • When the leading term is not 1 and there is no GCF, then the first two terms of the binomial factors will multiply to equal the leading term.
    • This means you can use trial and error to find the correct binomial factors.

Work with a partner. Factor each trinomial. Ask your partner if you get stuck. Compare your answers and discuss any issues you had.

1. 2 a 2 + 5 a + 3 2 a 2 + 5 a + 3

2. 8 x 2 14 x + 3 8 x 2 14 x + 3

3. 18 x 2 3 x y 10 y 2 18 x 2 3 x y 10 y 2

4. 15 n 3 85 n 2 + 100 n 15 n 3 85 n 2 + 100 n

5. 10 y 4 55 y 3 60 y 2 10 y 4 55 y 3 60 y 2

6. 56 q 3 + 320 q 2 96 q 56 q 3 + 320 q 2 96 q

Self Check

Factor the trinomial completely: 6 y 3 + 18 y 2 60 y .
  1. 6 y ( y + 2 ) ( y + 5 )
  2. 6 y ( y 2 ) ( y + 5 )
  3. ( 6 y 2 12 y ) ( y + 5 )
  4. 6 y ( y + 2 ) ( y 5 )

Additional Resources

Factoring Trinomials Using Trial and Error

Our next step is to factor trinomials whose leading coefficient is not 1 1 , trinomials of the form a x 2 + b x + c a x 2 + b x + c . Remember to always check for a GCF first! Sometimes, after you factor the GCF, the leading coefficient of the trinomial becomes 1 1 and you can factor it by the methods we’ve used so far. Let’s do an example to see how this works.

Example 1

Factor completely: 4 x 3 + 16 x 2 20 x 4 x 3 + 16 x 2 20 x .

Step 1 - The trinomial is already written in descending order of degrees.

Step 2 - Is there a greatest common factor?

4 x 3 + 16 x 2 20 x 4 x 3 + 16 x 2 20 x

Yes, G C F = 4 x G C F = 4 x . Factor it.

4 x ( x 2 + 4 x 5 ) 4 x ( x 2 + 4 x 5 )

Is it a binomial, trinomial, or more than three terms?

4 x ( x 2 + 4 x 5 ) 4 x ( x 2 + 4 x 5 )

It is now a trinomial with a leading coefficient of 1 1 . So “undo FOIL.”

4 x ( x ) ( x ) 4 x ( x ) ( x )

Step 3 - Use a table like the one shown to find two numbers that multiply to 5 5 and add to 4 4 .

Factors of 5 5 Sum of factors
1 , 5 1 , 5 1 + 5 = 4 * 1 + 5 = 4 *
1 , 5 1 , 5 1 + ( 5 ) = 4 1 + ( 5 ) = 4

Step 4 - Use −1 and 5 as coefficients of the last terms.

4 x ( x 1 ) ( x + 5 ) 4 x ( x 1 ) ( x + 5 )

Step 5 - Check.

4 x ( x 1 ) ( x + 5 ) 4 x ( x 2 + 5 x x 5 ) 4 x ( x 2 + 4 x 5 ) 4 x 3 + 16 x 2 20 x ✓ 4 x ( x 1 ) ( x + 5 ) 4 x ( x 2 + 5 x x 5 ) 4 x ( x 2 + 4 x 5 ) 4 x 3 + 16 x 2 20 x ✓ 4 x ( x 1 ) ( x + 5 ) 4 x ( x 2 + 5 x x 5 ) 4 x ( x 2 + 4 x 5 ) 4 x 3 + 16 x 2 20 x ✓

What happens when the leading coefficient is not 1 1 and there is no GCF? There are several methods that can be used to factor these trinomials. First we will use the trial and error method.

Example 2

Factor the trinomial 3 x 2 + 5 x + 2 3 x 2 + 5 x + 2 .

The trinomial is already written in descending order of degrees. There is no GCF to factor.

From our earlier work, we expect this will factor into two binomials.

3 x 2 + 5 x + 2 ( ) ( ) 3 x 2 + 5 x + 2 ( ) ( )

We know the first terms of the binomial factors will multiply to give us 3 x a 2 3 x a 2 . The only factors of 3 x 2 3 x 2 are 1 x 1 x , 3 x 3 x . We can place them in the binomials.

Factoring the quadratic expression 3x squared + 5x + 2. The numbers 1x and 3x are shown in red. Arrows indicate splitting the middle term and grouping into (x )(3x ).

Check: Does  1 x · 3 x = 3 x 2 1 x · 3 x = 3 x 2 ?

We know the last terms of the binomials will multiply to 2 2 . Since this trinomial has all positive terms, we only need to consider positive factors. The only factors of 2 2 are 1 1 , 2 2 . But we now have two cases to consider because it will make a difference if we write 1 1 , 2 2 or 2 2 , 1 1 .

Steps for factoring 3x squared + 5x + 2: red text shows pairing factors as (1, 3x) and (2, 1). Arrows point to two possible factorizations: (x + 1)(3x + 2) or (x + 2)(3x + 1).

Which factors are correct? To decide that, we multiply the inner and outer terms.

An equation, 3x squared + 5x + 2, is shown with two ways to factor it. Colored arrows show grouping and multiplication steps with the numbers 1, 3x, 2, 1 in red and curved arrows pointing to different terms.

Since the middle term of the trinomial is 5 x 5 x , the factors in the first case will work. Let’s use FOIL to check.

( x + 1 ) ( 3 x + 2 ) 3 x 2 + 2 x + 3 x + 2 3 x 2 + 5 x + 2 ( x + 1 ) ( 3 x + 2 ) 3 x 2 + 2 x + 3 x + 2 3 x 2 + 5 x + 2

Our result of the factoring is:

3 x 2 + 5 x + 2 ( x + 1 ) ( 3 x + 2 ) 3 x 2 + 5 x + 2 ( x + 1 ) ( 3 x + 2 )

How to factor trinomials of the form a x 2 + b x + c a x 2 + b x + c using trial and error.

Step 1 - Write the trinomial in descending order of degrees as needed.

Step 2 - Factor any GCF.

Step 3 - Find all the factor pairs of the first term.

Step 4 - Find all the factor pairs of the third term.

Step 5 - Test all the possible combinations of the factors until the correct product is found.

Step 6 - Check by multiplying.

Remember, when the middle term is negative and the last term is positive, the signs in the binomials must both be negative.

When we factor an expression, we always look for a greatest common factor first. If the expression does not have a greatest common factor, there cannot be one in its factors either. This may help us eliminate some of the possible factor combinations.

Example 3

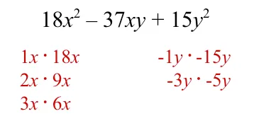
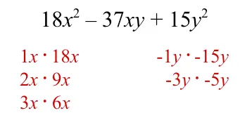
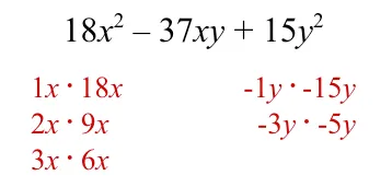
Factor completely using trial and error: 18 x 2 37 x y + 15 y 2 18 x 2 37 x y + 15 y 2 .

Step 1 - The trinomial is already in descending order.

18 x 2 37 x y + 15 y 2 18 x 2 37 x y + 15 y 2

Step 2 - Find the factors of the first term.

18 x 2 37 x y + 15 y 2 1 x · 1 8 x 2 x · 9 x 3 x · 6 x 18 x 2 37 x y + 15 y 2 1 x · 1 8 x 2 x · 9 x 3 x · 6 x

Step 3 - Find the factors of the last term. Consider the signs. Since 15 is positive and the coefficient of the middle term is negative, we use the negative factors.

Mathematical expression 18x squared - 37xy + 15y squared in black above, with factorizations of 18x and 15y in red below: 1x times 18x, 2x times 9x, 3x times 6x, -1y times -15y, -3y times -5y.

Step 4 - Consider all the combinations of factors.

This table shows the possible factors and corresponding products of the trinomial 18 x squared minus 37xy plus 15 y squared. In some pairs of factors, when one factor contains two terms with a common factor, that factor is highlighted. In such cases, product is not an option because if trinomial has no common factors, then neither factor can contain a common factor. Factor: open parentheses x minus 1y close parentheses open parentheses 18x minus 15y close parentheses, highlighted. Factor, open parentheses x minus 15y close parentheses open parentheses 18x minus 1y close parentheses; product: 18 x squared minus 271xy plus 15 y squared. Factor open parentheses x minus 3y close parentheses open parentheses 18x minus 5 y close parentheses; product: 18 x squared minus 59xy plus 15 y squared. Factor: open parentheses x minus 5y close parentheses open parentheses 18x minus 3y close parentheses highlighted. Factor: open parentheses 2x minus 1y close parentheses open parentheses 9x minus 15y close parentheses highlighted. Factor: open parentheses 2x minus 15y close parentheses open parentheses 9x minus 1y close parentheses; product 18 x squared minus 137 xy plus 15y squared. Factor: open parentheses 2x minus 3y close parentheses open parentheses 9x minus 5y close parentheses; product: 18 x squared minus 37xy plus 15 y squared, which is the original trinomial. Factor: open parentheses 2x minus 57 close parentheses open parentheses 9x minus 3y close parentheses highlighted. Factor: open parentheses 3x minus 1y close parentheses open parentheses 6x minus 15y close parentheses highlighted. Factor: open parentheses 3x minus 15y close parentheses highlighted open parentheses 6x minus 1y close parentheses. Factor: open parentheses 3x minus 3y close parentheses highlighted open parentheses 6x minus 5y.

Step 5 - The correct factors are those whose product is the original trinomial.

( 2 x 3 y ) ( 9 x 5 y ) ( 2 x 3 y ) ( 9 x 5 y )

Step 6 - Check by multiplying.

( 2 x 3 y ) ( 9 x 5 y ) 18 x 2 10 x y 27 x y + 15 y 2 18 x 2 37 x y + 15 y 2 ✓ ( 2 x 3 y ) ( 9 x 5 y ) 18 x 2 10 x y 27 x y + 15 y 2 18 x 2 37 x y + 15 y 2 ✓ ( 2 x 3 y ) ( 9 x 5 y ) 18 x 2 10 x y 27 x y + 15 y 2 18 x 2 37 x y + 15 y 2 ✓

In other trinomials, don’t forget to look for a GCF first, and remember if the leading coefficient is negative, so is the GCF.

Try it

Factoring Trinomials Using Trial and Error

Factor each trinomial completely using trial and error.

1. 5 x 3 + 15 x 2 20 x 5 x 3 + 15 x 2 20 x

2. 10 y 2 37 y + 7 10 y 2 37 y + 7

3. 6 n 3 34 n 2 + 40 n 6 n 3 34 n 2 + 40 n

Citation/Attribution

This book may not be used in the training of large language models or otherwise be ingested into large language models or generative AI offerings without OpenStax's permission.

Want to cite, share, or modify this book? This book uses the Creative Commons Attribution-NonCommercial-ShareAlike License and you must attribute OpenStax.

Attribution information
  • If you are redistributing all or part of this book in a print format, then you must include on every physical page the following attribution:

    Access for free at https://openstax.org/books/algebra-1/pages/about-this-course

  • If you are redistributing all or part of this book in a digital format, then you must include on every digital page view the following attribution:

    Access for free at https://openstax.org/books/algebra-1/pages/about-this-course

Citation information

© Aug 26, 2025 OpenStax. Textbook content produced by OpenStax is licensed under a Creative Commons Attribution-NonCommercial-ShareAlike License . The OpenStax name, OpenStax logo, OpenStax book covers, OpenStax CNX name, and OpenStax CNX logo are not subject to the Creative Commons license and may not be reproduced without the prior and express written consent of Rice University.