Skip to ContentGo to accessibility pageKeyboard shortcuts menu
OpenStax Logo
Algebra 1

6.5.4 Factoring Trinomials Using the “ac” Method and Substitution

Algebra 16.5.4 Factoring Trinomials Using the “ac” Method and Substitution
Search for key terms or text.

6.5.4 • Factoring Trinomials Using the “ac” Method and Substitution

Activity

Let’s learn a new method that always works on any trinomial of the form a x 2 + b x + c a x 2 + b x + c .

How to factor trinomials of the form a x 2 + b x + c a x 2 + b x + c using the “ a c a c ” method:

Step 1 - Factor any GCF. Don’t forget!

Step 2 - Find the product a c a c .

Step 3 - Find two numbers, m m and n n , that

  • multiply to a c a c : m · n = a · c m · n = a · c .
  • add to b b : m + n = b m + n = b .

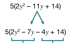
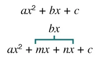
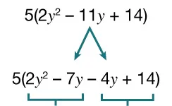
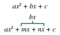
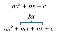
Step 4 - Split the middle term using m m and n n .

a x 2 + m x + n x + c a x 2 + m x + n x + c

Step 5 - Factor by grouping.

Step 6 - Check by multiplying the factors.

Factor each trinomial using the “ a c a c ” method.

1. 16 x 2 32 x + 12 16 x 2 32 x + 12

2. 6 y 2 + y 15 6 y 2 + y 15

3. 48 z 3 102 z 2 45 z 48 z 3 102 z 2 45 z

There will be times when a trinomial does not seem to be in the form a x 2 + b x + c a x 2 + b x + c .

In some of these cases, we can make a substitution that allows the trinomial to be written in the a x 2 + b x + c a x 2 + b x + c form. This is called factoring by substitution.

It is standard to use u u for the substitution. The substitution for u u might be a variable with an exponent, such as x 2 x 2 , or it might be a binomial, such as ( x 3 ) ( x 3 ) .

Factor each trinomial using the substitution method.

4. y 4 y 2 20 y 4 y 2 20

5. ( x 5 ) 2 + 6 ( x 5 ) + 8 ( x 5 ) 2 + 6 ( x 5 ) + 8

6. x 4 3 x 2 28 x 4 3 x 2 28

Self Check

Factor using the “ a c ” method: 6 x 2 + 13 x + 2 .
  1. ( x 2 ) ( 6 x + 1 )
  2. ( x 2 ) ( 6 x 1 )
  3. ( 6 x + 2 ) ( x + 1 )
  4. ( x + 2 ) ( 6 x + 1 )

Additional Resources

Factoring Trinomials Using the “ a c a c ” Method

Another way to factor trinomials of the form a x 2 + b x + c a x 2 + b x + c is the “ a c a c ” method. (The “ a c a c ” method is sometimes called the grouping method.) The “ a c a c ” method is actually an extension of the methods you used in the last section to factor trinomials with a leading coefficient of 1. This method is very structured (that is, step by step), and it always works!

Example 1

Factor using the “ a c a c ” method: 6 x 2 + 7 x + 2 6 x 2 + 7 x + 2 .

Step 1 - Factor any GCF.

Is there a greatest common factor?

6 x 2 + 7 x + 2 6 x 2 + 7 x + 2

No!

Step 2 - Find the product a c a c .

a x 2 + b x + c 6 x 2 + 7 x + 2 a x 2 + b x + c 6 x 2 + 7 x + 2

6 · 2 6 · 2

12 12

Step 3 - Find two numbers, m m and n n , that

  • multiply to a c a c : m · n = a · c m · n = a · c .
  • add to b b : m + n = b m + n = b .

Find two numbers that multiply to 12 and add to 7. Both factors must be positive.

3 · 4 = 12 3 · 4 = 12

3 + 4 = 7 3 + 4 = 7

Step 4 - Split the middle term using m m and n n .

Mathematical expression showing ax squared  + bx + c, with bx split as mx + nx, and a bracket indicating bx is replaced by mx + nx in ax squared + bx + c.

Rewrite 7 x 7 x as 3 x + 4 x 3 x + 4 x . It would give the same result if we used 4 x + 3 x 4 x + 3 x .

The quadratic expression 6x squared + 7x + 2 is split into 6x squared  + 3x and 4x + 2, with arrows pointing from 7x to 3x and 4x, showing the process of factoring by grouping.

Notice that 6 x 2 + 3 x + 4 x + 2 6 x 2 + 3 x + 4 x + 2 is equal to 6 x 2 + 7 x + 2 6 x 2 + 7 x + 2 . We just split the middle term to get a more useful form.

Step 5 - Factor by grouping.

3 x ( 2 x + 1 ) + 2 ( 2 x + 1 ) 3 x ( 2 x + 1 ) + 2 ( 2 x + 1 )

( 2 x + 1 ) ( 3 x + 2 ) ( 2 x + 1 ) ( 3 x + 2 )

Step 6 - Check by multiplying the factors.

( 2 x + 1 ) ( 3 x + 2 ) ( 2 x + 1 ) ( 3 x + 2 )

6 x 2 + 4 x + 3 x + 2 6 x 2 + 4 x + 3 x + 2

6 x 2 + 7 x + 2 6 x 2 + 7 x + 2

The “ a c a c ” method is summarized here:

How to factor trinomials of the form a x 2 + b x + c a x 2 + b x + c using the “ a c a c ” method:

Step 1 - Factor any GCF. Don’t forget!

Step 2 - Find the product a c a c .

Step 3 - Find two numbers, m m and n n , that

  • multiply to a c a c : m · n = a · c m · n = a · c .
  • add to b b : m + n = b m + n = b .

Step 4 - Split the middle term using m m and n n .

a x 2 + m x + n x + c a x 2 + m x + n x + c

Step 5 - Factor by grouping.

Step 6 - Check by multiplying the factors.

Try it

Factoring Trinomials Using the “ a c a c ” Method

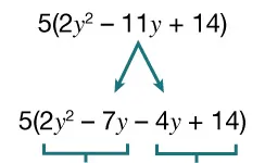
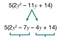
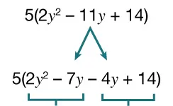
Factor using the “ a c a c ” method: 10 y 2 55 y + 70 10 y 2 55 y + 70 .

Factoring Trinomials Using Substitution

Sometimes a trinomial does not appear to be in the a x 2 + b x + c a x 2 + b x + c form. However, we can often make a thoughtful substitution that will allow us to make it fit the a x 2 + b x + c a x 2 + b x + c form. This is called factoring by substitution. It is standard to use u u for the substitution.

In the form a x 2 + b x + c a x 2 + b x + c , the middle term has a variable, x x , and its square, x 2 x 2 , is the variable part of the first term. Look for this relationship as you try to find a substitution.

Example 2

Factor by substitution: x 4 4 x 2 5 x 4 4 x 2 5 .

The variable part of the middle term is x 2 x 2 , and its square, x 4 x 4 , is the variable part of the first term. (We know ( x 2 ) 2 = x 4 ) ( x 2 ) 2 = x 4 ) . If we let u = x 2 u = x 2 , we can put our trinomial in the a x 2 + b x + c a x 2 + b x + c form we need to factor it.

Step 1 - Rewrite the trinomial to prepare for the substitution.

( x 2 ) 2 4 ( x 2 ) 5 ( x 2 ) 2 4 ( x 2 ) 5

Step 2 - Let u = x 2 u = x 2 and substitute.

u 2 4 u 5 u 2 4 u 5

Step 3 - Factor the trinomial.

( u + 1 ) ( u 5 ) ( u + 1 ) ( u 5 )

Step 4 - Replace u u with x 2 x 2 .

( x 2 + 1 ) ( x 2 5 ) ( x 2 + 1 ) ( x 2 5 )

Step 5 - Check:

( x 2 + 1 ) ( x 2 5 ) x 4 5 x 2 + x 2 5 x 4 4 x 2 5 ✓ ( x 2 + 1 ) ( x 2 5 ) x 4 5 x 2 + x 2 5 x 4 4 x 2 5 ✓ ( x 2 + 1 ) ( x 2 5 ) x 4 5 x 2 + x 2 5 x 4 4 x 2 5 ✓

Try it

Try It: Factoring Trinomials Using Substitution

Factor by substitution: ( x 2 ) 2 + 7 ( x 2 ) + 12 ( x 2 ) 2 + 7 ( x 2 ) + 12 .

In this case, the expression to be substituted is not a monomial. Let u = x 2 u = x 2 .

Citation/Attribution

This book may not be used in the training of large language models or otherwise be ingested into large language models or generative AI offerings without OpenStax's permission.

Want to cite, share, or modify this book? This book uses the Creative Commons Attribution-NonCommercial-ShareAlike License and you must attribute OpenStax.

Attribution information
  • If you are redistributing all or part of this book in a print format, then you must include on every physical page the following attribution:

    Access for free at https://openstax.org/books/algebra-1/pages/about-this-course

  • If you are redistributing all or part of this book in a digital format, then you must include on every digital page view the following attribution:

    Access for free at https://openstax.org/books/algebra-1/pages/about-this-course

Citation information

© Aug 26, 2025 OpenStax. Textbook content produced by OpenStax is licensed under a Creative Commons Attribution-NonCommercial-ShareAlike License . The OpenStax name, OpenStax logo, OpenStax book covers, OpenStax CNX name, and OpenStax CNX logo are not subject to the Creative Commons license and may not be reproduced without the prior and express written consent of Rice University.