Skip to ContentGo to accessibility pageKeyboard shortcuts menu
OpenStax Logo
Algebra 1

6.5.2 Factoring Trinomials with Leading Coefficients of 1

Algebra 16.5.2 Factoring Trinomials with Leading Coefficients of 1
Search for key terms or text.

6.5.2 • Factoring Trinomials with Leading Coefficients of 1

Activity

Let’s factor this trinomial.

t 2 + 14 t + 24 t 2 + 14 t + 24

Think:

What are the factors of 24 24 ?

Which of these factors add to 14 14 ?

Here is the table we made in the previous activity:

Factors of 24 Sum of Factors

1, 24

1 + 24 = 25 1 + 24 = 25

2, 12

2 + 12 = 14 2 + 12 = 14

3, 8

3 + 8 = 11 3 + 8 = 11

4, 6

4 + 6 = 10 4 + 6 = 10

You can use the following video if you need some help

Factor each trinomial. If the trinomial cannot be factored, write “prime.”

1. 9 m + m 2 + 18 9 m + m 2 + 18

2. a 2 11 a b + 10 b 2 a 2 11 a b + 10 b 2

3. u 2 9 u v 12 v 2 u 2 9 u v 12 v 2

4. 5 p 6 + p 2 5 p 6 + p 2

5. m 2 64 m n 65 n 2 m 2 64 m n 65 n 2

Video: Factoring Trinomials of the Form x 2 + b x + c x 2 + b x + c

Watch the following video to learn more about how factor trinomials of the form x 2 + b x + c x 2 + b x + c .

Self Check

Factor: y 2 16 y + 63 .
  1. ( y 7 ) ( y 9 )
  2. ( y + 7 ) ( y + 9 )
  3. ( y + 7 ) ( y 9 )
  4. ( y 7 ) ( y + 9 )

Additional Resources

How to Factor a Trinomial of the Form x 2 + b x + c x 2 + b x + c

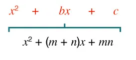
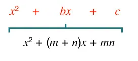
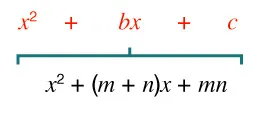
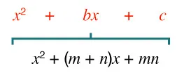
To figure out how we would factor a trinomial of the form x 2 + b x + c x 2 + b x + c , such as x 2 + 5 x + 6 x 2 + 5 x + 6 , and factor it to ( x + 2 ) ( x + 3 ) ( x + 2 ) ( x + 3 ) , let’s start with two general binomials of the form ( x + m ) ( x + m ) and ( x + n ) ( x + n ) .

( x + m ) ( x + n ) ( x + m ) ( x + n )

Step 1 - FOIL to find the product.

x 2 + m x + n x + m n x 2 + m x + n x + m n

Step 2 - Factor the GCF from the middle terms.

x 2 + ( m + n ) x + m n x 2 + ( m + n ) x + m n

Our trinomial is of the form x 2 + b x + c x 2 + b x + c .

A quadratic expression x² + bx + c is shown in red above a teal bracket labeling the expanded form x² + (m + n)x + mn in black.

This tells us that to factor a trinomial of the form x 2 + b x + c x 2 + b x + c , we need two factors ( x + m ) ( x + m ) and ( x + n ) ( x + n ) where the two numbers m m and n n multiply to c c and add to b b .

Example 1

Factor: x 2 + 11 x + 24 x 2 + 11 x + 24 .

Step 1 - Write the factors as two binomials with the first terms x x .

Write two sets of parentheses and put x x as the first term.

x 2 + 11 x + 24 x 2 + 11 x + 24

( x ) ( x ) ( x ) ( x )

Step 2 - Find two numbers, m m and n n , that

  • multiply to c c : m · n = c m · n = c
  • add to b b : m + n = b m + n = b

Find two numbers that multiply to 24 and add to 11.

Factors of 24 Sum of factors
1 , 24 1 , 24 1 + 24 = 25 1 + 24 = 25
2 , 12 2 , 12 2 + 12 = 14 2 + 12 = 14
3 , 8 3 , 8 3 + 8 = 11 3 + 8 = 11
4 , 6 4 , 6 4 + 6 = 10 4 + 6 = 10

Step 3 - Use m m and n n as the last terms of the factors.

Use 3 and 8 as the last terms of the binomials.

( x + 3 ) ( x + 8 ) ( x + 3 ) ( x + 8 )

Step 4 - Check by multiplying the factors.

( x + 3 ) ( x + 8 ) ( x + 3 ) ( x + 8 )

x 2 + 8 x + 3 x + 24 x 2 + 8 x + 3 x + 24

x 2 + 11 x + 24 x 2 + 11 x + 24

Let’s summarize the steps we used to find the factors.

How to factor trinomials of the form x 2 + b x + c x 2 + b x + c :

Step 1 - Write the factors as two binomials with first terms x.

x 2 + b x + c ( x ) ( x ) x 2 + b x + c ( x ) ( x )

Step 2 -Find two numbers, m m and n n , that

  • multiply to c c : m · n = c m · n = c
  • add to b b : m + n = b m + n = b

Step 3 - Use m m and n n as the last terms of the factors.

( x + m ) ( x + n ) ( x + m ) ( x + n )

Step 4 - Check by multiplying the factors.

In the first example, all terms in the trinomial were positive. What happens when there are negative terms? Well, it depends which term is negative. Let’s look first at trinomials with only the middle term negative.

How do you get a positive product and a negative sum? We use two negative numbers.

Example 2

Factor: y 2 11 y + 28 y 2 11 y + 28 .

Again, with the positive last term, 28 28 , and the negative middle term, 11 y 11 y , we need two negative factors. Find two numbers that multiply to 28 28 and add to 11 11 .

Step 1 - Write the factors as two binomials with first terms y y .

( y ) ( y ) ( y ) ( y )

Step 2 - Find two numbers that multiply to 28 and add to –11.

Factors of 28 Sum of factors
1 , 28 1 , 28 1 + ( 28 ) = 29 1 + ( 28 ) = 29
2 , 14 2 , 14 2 + ( 14 ) = 16 2 + ( 14 ) = 16
4 , 7 4 , 7 4 + ( 7 ) = 11 4 + ( 7 ) = 11

Step 3 - Use –4 and –7 as the last two terms of the binomials.

( y 4 ) ( y 7 ) ( y 4 ) ( y 7 )

Step 4 - Check.

( y 4 ) ( y 7 ) y 2 7 y 4 y + 28 y 2 11 y + 28 ( y 4 ) ( y 7 ) y 2 7 y 4 y + 28 y 2 11 y + 28

Now, what if the last term in the trinomial is negative? Think about FOIL. The last term is the product of the last terms in the two binomials. A negative product results from multiplying two numbers with opposite signs. You have to be very careful when you choose factors to make sure you get the correct sign for the middle term, too. How do you get a negative product and a positive sum? We use one positive and one negative number. When we factor trinomials, we must have the terms written in descending order—in order from highest degree to lowest degree.

Example 3

Factor: 2 x + x 2 48 2 x + x 2 48 .

Step 1 - Put the terms in decreasing degree order.

x 2 + 2 x 48 x 2 + 2 x 48

Step 2 - Write the factors as two binomials with first terms x x .

( x ) ( x ) ( x ) ( x )

Step 3 - Find two numbers that multiply to −48 and add to 2.

Factors of –48 Sum of factors
1 , 48 1 , 48 1 + 48 = 47 1 + 48 = 47
2 , 24 2 , 24 2 + 24 = 22 2 + 24 = 22
3 , 16 3 , 16 3 + 16 = 13 3 + 16 = 13
4 , 12 4 , 12 4 + 12 = 8 4 + 12 = 8
6 , 8 6 , 8 6 + 8 = 2 * 6 + 8 = 2 *

Since the middle term of the trinomial is positive, the sum of the factors must also be positive. This means that we are only looking at the factors in which the larger number is positive. This is why factors such as 1 and −48 are not included in the table.

Step 4 - Use –6 and 8 as the last terms of the binomials.

( x 6 ) ( x + 8 ) ( x 6 ) ( x + 8 )

Step 5 - Check.

( x 6 ) ( x + 8 ) x 2 6 x + 8 x 48 x 2 + 2 x 48 ( x 6 ) ( x + 8 ) x 2 6 x + 8 x 48 x 2 + 2 x 48

Sometimes you’ll need to factor trinomials of the form x 2 + b x y + c y 2 x 2 + b x y + c y 2 with two variables, such as x 2 + 12 x y + 36 y 2 x 2 + 12 x y + 36 y 2 . The first term, x 2 x 2 , is the product of the first terms of the binomial factors, x · x x · x . The y 2 y 2 in the last term means that the second terms of the binomial factors must each contain y y . To get the coefficients b b and c c , you use the same process summarized above.

Example 4

Factor: r 2 8 r s 9 s 2 r 2 8 r s 9 s 2 .

We need r r in the first term of each binomial and s s in the second term. The last term of the trinomial is negative, so the factors must have opposite signs.

Step 1 - Note that the first terms are r r and the last terms contain s s .

( r s ) ( r s ) ( r s ) ( r s )

Step 2 - Find the numbers that multiply to −9 and add to −8.

Factors of −9 Sum of factors
1 , 9 1 , 9 1 + 9 = 8 1 + 9 = 8
1 , 9 1 , 9 1 + ( 9 ) = 8 1 + ( 9 ) = 8
3 , 3 3 , 3 3 + ( 3 ) = 0 3 + ( 3 ) = 0

Step 3 - Use 1 and –9 as coefficients of the last terms.

( r + s ) ( r 9 s ) ( r + s ) ( r 9 s )

Step 4 - Check.

( r 9 s ) ( r + s ) r 2 + r s 9 r s 9 s 2 r 2 8 r s 9 s 2 ( r 9 s ) ( r + s ) r 2 + r s 9 r s 9 s 2 r 2 8 r s 9 s 2

It is important to keep in mind that some trinomials are prime. The only way to be certain a trinomial is prime is to list all the possibilities and show that none of them work. If there are no factor pairs that fit all the requirements, then the trinomial is prime.

Let’s summarize the method we just developed to factor trinomials of the form x 2 + b x + c x 2 + b x + c .

STRATEGY FOR FACTORING TRINOMIALS OF THE FORM x 2 + b x + c x 2 + b x + c

When we factor a trinomial, we look at the signs of its terms first to determine the signs of the binomial factors.

x 2 + b x + c ( x + m ) ( x + n ) When c is positive, m and n have the same sign. b positive b negative m , n positive m , n negative x 2 + 5 x + 6 x 2 6 x + 8 ( x + 2 ) ( x + 3 ) ( x 4 ) ( x 2 ) same signs same signs When c is negative, m and n have opposite signs. x 2 + x 12 x 2 2 x 15 ( x + 4 ) ( x 3 ) ( x 5 ) ( x + 3 ) opposite signs opposite signs x 2 + b x + c ( x + m ) ( x + n ) When c is positive, m and n have the same sign. b positive b negative m , n positive m , n negative x 2 + 5 x + 6 x 2 6 x + 8 ( x + 2 ) ( x + 3 ) ( x 4 ) ( x 2 ) same signs same signs When c is negative, m and n have opposite signs. x 2 + x 12 x 2 2 x 15 ( x + 4 ) ( x 3 ) ( x 5 ) ( x + 3 ) opposite signs opposite signs x 2 + b x + c ( x + m ) ( x + n ) When c is positive, m and n have the same sign. b positive b negative m , n positive m , n negative x 2 + 5 x + 6 x 2 6 x + 8 ( x + 2 ) ( x + 3 ) ( x 4 ) ( x 2 ) same signs same signs When c is negative, m and n have opposite signs. x 2 + x 12 x 2 2 x 15 ( x + 4 ) ( x 3 ) ( x 5 ) ( x + 3 ) opposite signs opposite signs

Notice that, in the case when m m and n n have opposite signs, the sign of the one with the larger absolute value matches the sign of b b .

Try it

How to Factor a Trinomial of the Form x 2 + b x + c x 2 + b x + c

Factor each trinomial.

1. q 2 + 10 q + 24 q 2 + 10 q + 24

2. 7 n + 12 + n 2 7 n + 12 + n 2

3. m 2 13 m n + 12 n 2 m 2 13 m n + 12 n 2

Citation/Attribution

This book may not be used in the training of large language models or otherwise be ingested into large language models or generative AI offerings without OpenStax's permission.

Want to cite, share, or modify this book? This book uses the Creative Commons Attribution-NonCommercial-ShareAlike License and you must attribute OpenStax.

Attribution information
  • If you are redistributing all or part of this book in a print format, then you must include on every physical page the following attribution:

    Access for free at https://openstax.org/books/algebra-1/pages/about-this-course

  • If you are redistributing all or part of this book in a digital format, then you must include on every digital page view the following attribution:

    Access for free at https://openstax.org/books/algebra-1/pages/about-this-course

Citation information

© Aug 26, 2025 OpenStax. Textbook content produced by OpenStax is licensed under a Creative Commons Attribution-NonCommercial-ShareAlike License . The OpenStax name, OpenStax logo, OpenStax book covers, OpenStax CNX name, and OpenStax CNX logo are not subject to the Creative Commons license and may not be reproduced without the prior and express written consent of Rice University.