Skip to ContentGo to accessibility pageKeyboard shortcuts menu
OpenStax Logo
Algebra 1

3.1.3 Interpreting the Slope and Vertical Intercept of a Linear Model

Algebra 13.1.3 Interpreting the Slope and Vertical Intercept of a Linear Model
Search for key terms or text.

3.1.3 • Interpreting the Slope and Vertical Intercept of a Linear Model

Activity

The scatter plot shows the sale price of several food items, yy, and the cost of the ingredients used to produce those items, xx, as well as a line that models the data. The line is also represented by the equation y=3.48x+0.76y=3.48x+0.76.

Scatter plot showing a positive correlation between ingredient cost and sales price in dollars, with a blue trend line indicating that higher ingredient costs correspond to higher sales prices.
1.

What is the predicted sale price of an item that has ingredients that cost $1.50? Be prepared to show your reasoning.

2.

What is the predicted ingredient cost of an item that has a sale price of $7? Be prepared to show your reasoning.

3.

What is the slope of the linear model?

4.

What does the slope value mean in this situation?

5.

What is the 𝑦-intercept of the linear model?

6.

What does the value of the yy-intercept mean in this situation?

7.

Does the value of the yy-intercept make sense in this situation?

Video: Using Linear Models

Watch the following video to learn more about how to use linear models.

Self Check

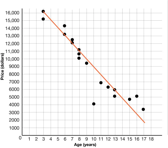
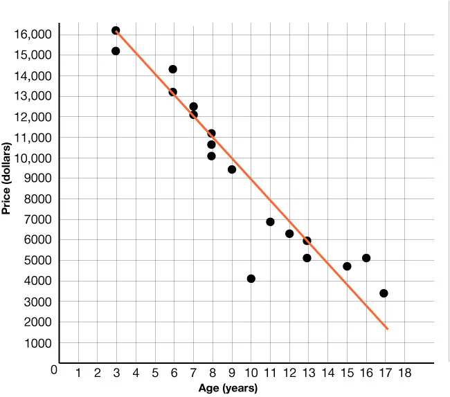
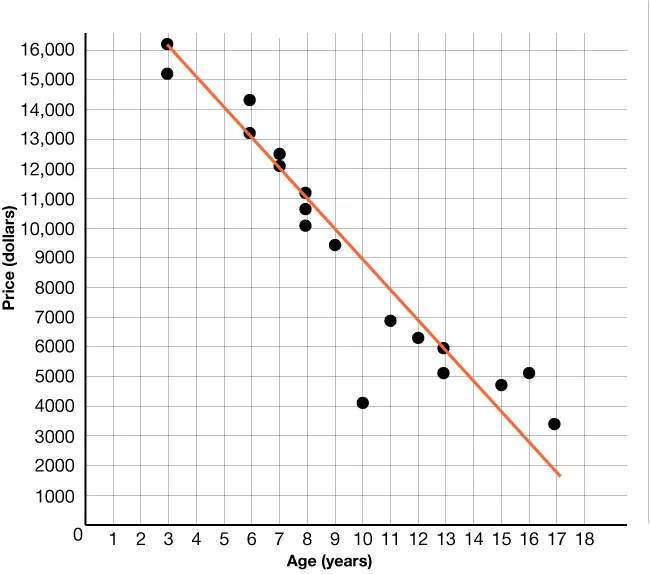
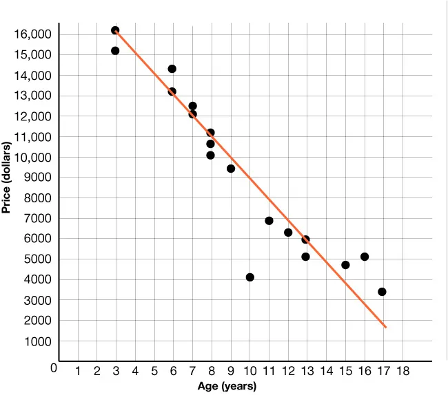
The scatter plot below shows the age (in years) and the price (in dollars) of used compact cars advertised in the local newspaper.

A SCATTER PLOT THAT SHOWS AGE IN YEARS ON THE X-AXIS AND PRICE IN DOLLARS ON THE Y-AXIS. THE LINE DRAWN DECREASES FROM LEFT TO RIGHT AND PASSES THROUGH THE POINTS (13, 6000) AND (7, 12000).


Nora drew a line to fit the data. What is the slope of her line, and what does it mean in the problem?

  1. 1 1000 , for every year older the car is, it decreases 1 1000 of its value the year before.
  2. 1000 , for every year older the car is, its price increases 1000 dollars.
  3. 1000 , for every year older the car is, its price decreases 1000 dollars.
  4. 1000 , for every year older the car is, its price decreases 1000 dollars.

Additional Resources

Interpreting a Linear Model

The scatter plot below shows the height and speed of some of the world’s fastest roller coasters. A line has been drawn to show a good fit for the data. 

A scatter plot that shows maximum height in feet on the x-axis and speed in miles per hour on the y-axis. The line drawn increases from left to right.

The equation of the line drawn is S=0.11h+60S=0.11h+60.

What does this slope mean in the problem?

For every foot taller the roller coaster is, the speed increases 0.11 miles per hour.

Try it

Interpreting a Linear Model

Eight students were asked to estimate their score on a 10-point quiz. Their estimated and actual scores are given in the table below. Plot the points. Then sketch a line that fits the data.

Predicted Actual
6 6
7 7
7 8
8 8
7 9
9 10
10 10
10 9

Here are the points from the table plotted on a scatter plot, with the xx-axis being the predicted scores and the yy-axis being the actual scores.

A scatter plot that shows predicted scores on the x-axis and actual scores on the y-axis. The drawn best-fit line increases from left to right.
1.

Tell what you would expect someone’s grade to actually be if they predicted their grade to be a 5 out of 10.

2.

What does the slope mean in this problem?

Citation/Attribution

This book may not be used in the training of large language models or otherwise be ingested into large language models or generative AI offerings without OpenStax's permission.

Want to cite, share, or modify this book? This book uses the Creative Commons Attribution-NonCommercial-ShareAlike License and you must attribute OpenStax.

Attribution information
  • If you are redistributing all or part of this book in a print format, then you must include on every physical page the following attribution:

    Access for free at https://openstax.org/books/algebra-1/pages/about-this-course

  • If you are redistributing all or part of this book in a digital format, then you must include on every digital page view the following attribution:

    Access for free at https://openstax.org/books/algebra-1/pages/about-this-course

Citation information

© Aug 26, 2025 OpenStax. Textbook content produced by OpenStax is licensed under a Creative Commons Attribution-NonCommercial-ShareAlike License . The OpenStax name, OpenStax logo, OpenStax book covers, OpenStax CNX name, and OpenStax CNX logo are not subject to the Creative Commons license and may not be reproduced without the prior and express written consent of Rice University.