Omitir e ir al contenidoIr a la página de accesibilidadMenú de atajos de teclado
Logo de OpenStax
Química: Comenzando con los átomos 2ed

18.7 Incidencia, preparación y propiedades del nitrógeno

Química: Comenzando con los átomos 2ed18.7 Incidencia, preparación y propiedades del nitrógeno
Buscar términos clave o texto.

Objetivos de aprendizaje

Al final de esta sección, podrá:

  • Describir las propiedades, la preparación y los usos del nitrógeno

La mayor parte del nitrógeno puro procede de la destilación fraccionada del aire líquido. La atmósfera está compuesta por un 78 % de nitrógeno en volumen. Esto significa que hay más de 20 millones de toneladas de nitrógeno en cada milla cuadrada de la superficie terrestre. El nitrógeno es un componente de las proteínas y del material genético (ADN / ARN) de todas las plantas y animales.

En condiciones normales, el nitrógeno es un gas incoloro, inodoro e insípido. Hierve a 77 K y se congela a 63 K. El nitrógeno líquido es un refrigerante útil porque es barato y tiene un punto de ebullición bajo. El nitrógeno es muy poco reactivo debido al fuerte triple enlace entre los átomos de nitrógeno. Las únicas reacciones comunes a temperatura ambiente se producen con el litio para formar Li3N, con ciertos complejos de metales de transición y con el hidrógeno o el oxígeno en las bacterias fijadoras de nitrógeno. La falta general de reactividad del nitrógeno hace que la notable capacidad de algunas bacterias para sintetizar compuestos nitrogenados utilizando como fuente el nitrógeno atmosférico gaseoso sea uno de los acontecimientos químicos más apasionantes de nuestro planeta. Este proceso es un tipo de fijación del nitrógeno. En este caso, la fijación del nitrógeno es el proceso por el que los organismos convierten el nitrógeno atmosférico en sustancias químicas biológicamente útiles. La fijación del nitrógeno también se produce cuando los rayos atraviesan el aire, haciendo que el nitrógeno molecular reaccione con el oxígeno para formar óxidos de nitrógeno, que luego son transportados al suelo.

La química en la vida cotidiana

Fijación del nitrógeno

Todos los organismos vivos necesitan compuestos de nitrógeno para sobrevivir. Por desgracia, la mayoría de estos organismos no pueden absorber el nitrógeno de su fuente más abundante: la atmósfera. El nitrógeno atmosférico está formado por moléculas de N2, que son muy poco reactivas debido al fuerte triple enlace nitrógeno-nitrógeno. Sin embargo, unos pocos organismos pueden superar este problema mediante un proceso conocido como fijación del nitrógeno, ilustrado en la Figura 18.32.

Se muestra un diagrama de flujo. En el centro del diagrama se muestran una vaca, hierba y un árbol. Las flechas orientadas hacia abajo conducen desde ellos a la frase "Descomponedores (bacterias y hongos aeróbicos y anaeróbicos)". Una flecha orientada hacia abajo conduce a un modelo de espacio lleno con un átomo azul enlazado a cuatro átomos blancos. El modelo está marcado como "Amonio (N H subíndice 4)". Una flecha orientada hacia la derecha conduce desde esta molécula a otra molécula que está compuesta por un átomo azul enlazado a dos átomos rojos. El modelo está marcado como "Nitritos (N O subíndice 2 superíndice signo negativo)". Debajo de esta flecha hay una imagen de un círculo con dos estructuras en forma de varilla. Está marcada como "Bacterias nitrificantes". Sobre la etiqueta de los nitritos hay una flecha hacia arriba que lleva a un átomo azul que tiene un enlace simple con tres átomos rojos. El modelo está marcado como "Nitratos (N O subíndice 3 superíndice signo negativo)". Junto a esta flecha hay una imagen de un círculo con dos estructuras en forma de varilla marcadas como "Bacterias nitrificantes". La marcación de los nitratos tiene una flecha de doble punta hacia arriba que lleva a dos imágenes: una de las raíces del árbol que está marcada como "Asimilación" y otra que lleva a la imagen de un círculo con cuatro estructuras de forma ovalada que está marcada como "Bacterias desnitrificantes". Una flecha orientada a la izquierda conduce desde esta bacteria a una molécula formada por dos átomos unidos por triple enlace y marcada como "nitrógeno atmosférico (N subíndice 2)". Esta molécula está conectada a una flecha de doble punta que mira hacia abajo y que conduce a una imagen que muestra filamentos amarillos sobre un fondo negro y una imagen de un círculo con cuatro estructuras en forma de varilla marcada como "Bacterias del suelo fijadoras de nitrógeno". Una flecha lleva desde la imagen de las raíces de una planta hasta los filamentos amarillos y luego a una foto de un círculo con cuatro estructuras ovaladas marcada como "Bacterias fijadoras de nitrógeno en los nódulos de las raíces".
Figura 18.32 Todos los organismos vivos necesitan nitrógeno. Unos pocos microorganismos son capaces de procesar el nitrógeno atmosférico mediante la fijación de nitrógeno (créditos "raíces": modificación del trabajo del Departamento de Agricultura de los Estados Unidos; créditos "nódulos de las raíces": modificación del trabajo de Louisa Howard).

La fijación del nitrógeno es el proceso por el que los organismos convierten el nitrógeno atmosférico en sustancias químicas biológicamente útiles. Hasta la fecha, el único tipo de organismos biológicos conocidos capaces de fijar el nitrógeno son los microorganismos. Estos organismos emplean unas enzimas llamadas nitrogenasas, que contienen hierro y molibdeno. Muchos de estos microorganismos viven en una relación simbiótica con las plantas, siendo el ejemplo más conocido la presencia de rizobios en los nódulos de las raíces de las legumbres.

Se necesitan grandes volúmenes de nitrógeno atmosférico para fabricar amoníaco, el principal material de partida utilizado para la preparación de grandes cantidades de otros compuestos que contienen nitrógeno. La mayoría de los demás usos del nitrógeno elemental dependen de su inactividad. Es útil cuando un proceso químico requiere una atmósfera inerte. Los alimentos enlatados y las carnes frías no pueden oxidarse en una atmósfera de nitrógeno puro, por lo que conservan mejor el sabor y el color, y se estropean menos rápidamente, cuando se sellan en nitrógeno en lugar de aire. Esta tecnología permite disponer de productos frescos durante todo el año, independientemente de la temporada de cultivo.

Existen compuestos con nitrógeno en todos sus estados de oxidación, desde el 3- al 5+. Gran parte de la química del nitrógeno implica reacciones de reducción-oxidación. Algunos metales activos (como los metales alcalinos y alcalinotérreos) pueden reducir el nitrógeno para formar nitruros metálicos. En el resto de esta sección, examinaremos la química del nitrógeno-oxígeno.

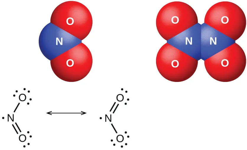
Existen óxidos de nitrógeno bien caracterizados en los que el nitrógeno presenta cada uno de sus números de oxidación positivos de 1+ al 5+. Cuando se calienta cuidadosamente el nitrato de amonio, se forma óxido nitroso (óxido de dinitrógeno) y vapor de agua. Un calentamiento más fuerte genera nitrógeno gaseoso, oxígeno gaseoso y vapor de agua. Nadie debería intentar esta reacción: puede ser muy explosiva. En 1947, hubo una gran explosión de nitrato de amonio en Texas City, Texas, y, en 2013, hubo otra gran explosión en West, Texas. En los últimos 100 años se produjeron cerca de 30 catástrofes similares en todo el mundo, con la consiguiente pérdida de numerosas vidas. En esta reacción de reducción-oxidación, el nitrógeno del ion de nitrato oxida el nitrógeno del ion de amonio. El óxido nitroso, mostrado en la Figura 18.33, es un gas incoloro que posee un olor suave y agradable y un sabor dulce. Se aplica como anestésico para operaciones menores, especialmente en odontología, bajo el nombre de "gas hilarante"

Un modelo de espacio lleno de una molécula muestra dos átomos azules marcados como "N" enlazados entre sí y a un átomo rojo marcado como "O". También se muestran dos estructuras de Lewis conectadas por una flecha de doble punta. La imagen de la izquierda muestra un átomo de nitrógeno con dos pares solitarios de electrones doblemente enlazados a un segundo átomo de nitrógeno. El segundo átomo de nitrógeno está doblemente enlazado a un átomo de oxígeno que tiene dos pares solitarios de electrones. La imagen de la derecha muestra un átomo de nitrógeno con un par solitario de electrones doblemente enlazado a un segundo átomo de nitrógeno. El segundo átomo de nitrógeno tiene un enlace simple con un átomo de oxígeno que tiene tres pares solitarios de electrones.
Figura 18.33 El óxido nitroso, N2O, es un anestésico que tiene estas estructuras moleculares (izquierda) y de resonancia (derecha).

Cuando se calienta el nitrógeno y el oxígeno juntos, se forman bajos rendimientos de óxido nítrico, NO. El NO también se forma cuando los rayos atraviesan el aire durante las tormentas eléctricas. La quema de amoníaco es el método comercial para preparar el óxido nítrico. En el laboratorio, la reducción del ácido nítrico es el mejor método para preparar el óxido nítrico. Cuando el cobre reacciona con ácido nítrico diluido, el óxido nítrico es el principal producto de la reducción:

3Cu(s)+8HNO3(aq)2NO(g)+3Cu(NO3)2 (aq)+4H2O(l)3Cu(s)+8HNO3(aq)2NO(g)+3Cu(NO3)2 (aq)+4H2O(l)

El óxido nítrico gaseoso es el más estable térmicamente de los óxidos de nitrógeno y es la molécula más sencilla conocida con un electrón desapareado. Es uno de los contaminantes atmosféricos generados por los motores de combustión interna, resultante de la reacción del nitrógeno atmosférico y el oxígeno durante el proceso de combustión.

A temperatura ambiente, el óxido nítrico es un gas incoloro formado por moléculas diatómicas. Como suele ocurrir con las moléculas que contienen un electrón desapareado, dos moléculas se combinan para formar un dímero emparejando sus electrones desapareados para formar un enlace. Tanto el NO líquido como el sólido contienen dímeros de N2O2, como el que se muestra en la Figura 18.34. La mayoría de las sustancias con electrones desapareados muestran color al absorber la luz visible; sin embargo, el NO es incoloro porque la absorción de la luz no se produce en la región visible del espectro.

Se muestran dos estructuras de Lewis conectadas por una flecha de doble punta. La imagen de la izquierda muestra un número dos junto a un átomo de nitrógeno con un electrón solitario y un par solitario de electrones. El átomo de nitrógeno está doblemente enlazado a un átomo de oxígeno con dos pares solitarios de electrones. La imagen de la derecha muestra dos átomos de nitrógeno, cada uno con un par solitario de electrones, que tienen un enlace simple entre sí. Cada uno de ellos está también doblemente enlazado a un átomo de oxígeno con dos pares solitarios de electrones.
Figura 18.34 Esto muestra el equilibrio entre el NO y el N2O2. La molécula, N2O2, absorbe la luz.

Al enfriar una mezcla de partes iguales de óxido nítrico y dióxido de nitrógeno a -21 °C se produce trióxido de dinitrógeno, un líquido azul formado por moléculas de N2O3 (mostrado en la Figura 18.35). El trióxido de dinitrógeno solo existe en estado líquido y sólido. Cuando se calienta, se convierte en una mezcla de NO y NO2.

Un modelo de espacio lleno de una molécula muestra dos átomos azules marcados como "N", enlazados entre sí y a tres átomos rojos marcados como "O". También se muestran dos estructuras de Lewis conectadas por una flecha de doble punta. La imagen de la izquierda muestra dos átomos de nitrógeno que tienen un enlace simple entre sí. El nitrógeno de la izquierda está doblemente enlazado a un átomo de oxígeno que tiene dos pares solitarios de electrones y un enlace simple con un oxígeno con tres pares solitarios de electrones. El nitrógeno de la derecha tiene un par solitario de electrones y está doblemente enlazado a un átomo de oxígeno con dos pares solitarios de electrones. La imagen de la derecha muestra dos átomos de nitrógeno que tienen un enlace simple entre sí. El nitrógeno de la derecha está doblemente enlazado a un átomo de oxígeno que tiene dos pares solitarios de electrones y un enlace simple con un átomo de oxígeno con tres pares solitarios de electrones. El nitrógeno de la derecha tiene un par solitario de electrones y está doblemente enlazado a un átomo de oxígeno con dos pares solitarios de electrones.
Figura 18.35 El trióxido de dinitrógeno, N2O3, solo existe en estado líquido o sólido y tiene estas estructuras molecular (izquierda) y de resonancia (derecha).

Es posible preparar dióxido de nitrógeno en el laboratorio calentando el nitrato de un metal pesado, o mediante la reducción del ácido nítrico concentrado con cobre metálico, como se muestra en la Figura 18.36. Comercialmente, es posible preparar dióxido de nitrógeno mediante la oxidación del óxido nítrico con aire.

Se muestran tres fotos conectadas por flechas hacia la derecha. La imagen de la izquierda muestra un tubo de ensayo en una pinza que contiene una solución incolora y un alambre sostenido encima de ella. La imagen del medio muestra un tubo de ensayo en una pinza que tiene un alambre sumergido en un líquido verde pálido y que emite un gas marrón claro. La imagen de la derecha muestra un tubo de ensayo en una pinza que tiene un cable sumergido en un líquido verde oscuro y que emite un gas marrón.
Figura 18.36 La reacción del cobre metálico con HNO3 concentrado produce una solución de Cu(NO3)2 y humos marrones de NO2 (créditos: modificación del trabajo de Mark Ott).

La molécula de dióxido de nitrógeno (ilustrada en la Figura 18.37) contiene un electrón desapareado, responsable de su color y paramagnetismo. También es responsable de la dimerización del NO2. A bajas presiones o a altas temperaturas, el dióxido de nitrógeno tiene un color marrón intenso que se debe a la presencia de la molécula de NO2. A bajas temperaturas, el color desaparece casi por completo al formarse tetraóxido de dinitrógeno, N2O4. A temperatura ambiente, existe un equilibrio:

2NO2(g)N2O4(g)KP=6,862NO2(g)N2O4(g)KP=6,86
Se muestran dos modelos de espacio lleno y dos estructuras de Lewis. El modelo de espacio lleno de la izquierda muestra un átomo azul marcado como "N", unido a dos átomos rojos marcados como "O", mientras que el modelo de espacio lleno de la derecha muestra dos átomos azules marcados como "N", cada uno unido a dos átomos rojos marcados como "O". La estructura de Lewis de la izquierda muestra un átomo de nitrógeno con un electrón solitario que tiene un enlace simple con un átomo de oxígeno con tres pares solitarios de electrones. El átomo de nitrógeno también está doblemente enlazado a un átomo de oxígeno con dos pares solitarios de electrones. La estructura de la derecha, que está conectada por una flecha de doble punta a la primera, es un diagrama que muestra una estructura de Lewis similar, pero la posición del doble enlace y el número de pares de electrones en los átomos de oxígeno han cambiado.
Figura 18.37 Se muestran las estructuras moleculares y de resonancia del dióxido de nitrógeno (NO2, izquierda) y del tetraóxido de dinitrógeno (N2O4, derecha).

El pentaóxido de dinitrógeno, N2O5 (ilustrado en la Figura 18.38), es un sólido blanco que se forma por la deshidratación del ácido nítrico por el óxido de fósforo(V) (decaóxido de tetrafósforo):

P4O10(s)+4HNO3(l)4HPO3(s)+2N2O5(s).P4O10(s)+4HNO3(l)4HPO3(s)+2N2O5(s).

Es inestable por encima de la temperatura ambiente, descomponiéndose en N2O4 y O2.

Se muestra un modelo de espacio lleno y una estructura de Lewis. El modelo de espacio lleno muestra dos átomos azules marcados como "N", cada uno de ellos enlazados a dos átomos rojos marcados como "O", con otro átomo rojo marcado como "O" entre ellos. La estructura de Lewis muestra un átomo de nitrógeno con un enlace simple con un átomo de oxígeno con tres pares solitarios de electrones en posición descendente y doblemente enlazado con un átomo de oxígeno con dos pares solitarios de electrones en posición ascendente. Este nitrógeno tiene un enlace simple con un átomo de oxígeno con dos pares solitarios de electrones. El átomo de oxígeno tiene un enlace simple con otro átomo de nitrógeno que tiene un enlace simple con otro átomo de oxígeno con tres pares solitarios de electrones en posición ascendente. El segundo átomo de nitrógeno también está doblemente enlazado a un átomo de oxígeno con dos pares solitarios de electrones en posición descendente.
Figura 18.38 Esta imagen muestra la estructura molecular y una estructura de resonancia de una molécula de pentaóxido de dinitrógeno, N2O5.

Los óxidos de nitrógeno(III), nitrógeno(IV) y nitrógeno(V) reaccionan con el agua y forman oxiácidos que contienen nitrógeno. El óxido de nitrógeno(III), N2O3, es el anhídrido del ácido nitroso; el HNO2 se forma cuando el N2O3 reacciona con el agua. No existen oxiácidos estables que contengan nitrógeno con un estado de oxidación de 4+; por lo tanto, el óxido de nitrógeno(IV), NO2, se desproporciona de una de las dos maneras cuando reacciona con el agua. En el agua fría se forma una mezcla de HNO2 y HNO3. A mayores temperaturas, se formará HNO3 y NO. El óxido de nitrógeno(V), N2O5, es el anhídrido del ácido nítrico; el HNO3 se produce cuando el N2O5 reacciona con el agua:

N2O5(s)+H2O(l)2HNO3(aq)N2O5(s)+H2O(l)2HNO3(aq)

Los óxidos de nitrógeno presentan un amplio comportamiento de oxidación-reducción. El óxido nitroso se asemeja al oxígeno en su comportamiento cuando se calienta con sustancias combustibles. El N2O es un fuerte agente oxidante que se descompone cuando se calienta para formar nitrógeno y oxígeno. Como un tercio del gas liberado es oxígeno, el óxido nitroso favorece la combustión mejor que el aire (una quinta parte de oxígeno). Una astilla incandescente se incendia cuando se introduce en una botella de este gas. El óxido nítrico actúa como agente oxidante y como agente reductor. Por ejemplo:

agente oxidante:P4(s)+6NO(g)P4O6(s)+3N2(g)agente oxidante:P4(s)+6NO(g)P4O6(s)+3N2(g)
agente reductor:Cl2(g)+2NO(g)2ClNO(g)agente reductor:Cl2(g)+2NO(g)2ClNO(g)

El dióxido de nitrógeno (o tetraóxido de dinitrógeno) es un buen agente oxidante. Por ejemplo:

NO2(g)+CO(g)NO(g)+CO2(g)NO2(g)+CO(g)NO(g)+CO2(g)
NO2(g)+2HCl(aq)NO(g)+Cl2(g)+H2O(l)NO2(g)+2HCl(aq)NO(g)+Cl2(g)+H2O(l)
Cita/Atribución

Este libro no puede ser utilizado en la formación de grandes modelos de lenguaje ni incorporado de otra manera en grandes modelos de lenguaje u ofertas de IA generativa sin el permiso de OpenStax.

¿Desea citar, compartir o modificar este libro? Este libro utiliza la Creative Commons Attribution License y debe atribuir a OpenStax.

Información de atribución
  • Si redistribuye todo o parte de este libro en formato impreso, debe incluir en cada página física la siguiente atribución:
    Acceso gratis en https://openstax.org/books/qu%C3%ADmica-comenzando-%C3%A1tomos-2ed/pages/1-introduccion
  • Si redistribuye todo o parte de este libro en formato digital, debe incluir en cada vista de la página digital la siguiente atribución:
    Acceso gratuito en https://openstax.org/books/qu%C3%ADmica-comenzando-%C3%A1tomos-2ed/pages/1-introduccion
Información sobre citas

© 19 may. 2022 OpenStax. El contenido de los libros de texto que produce OpenStax tiene una licencia de Creative Commons Attribution License . El nombre de OpenStax, el logotipo de OpenStax, las portadas de libros de OpenStax, el nombre de OpenStax CNX y el logotipo de OpenStax CNX no están sujetos a la licencia de Creative Commons y no se pueden reproducir sin el previo y expreso consentimiento por escrito de Rice University.