Przejdź do treściPrzejdź do informacji o dostępnościMenu skrótów klawiszowych
Logo OpenStax
Psychologia

14.1 Czym jest stres?

Psychologia14.1 Czym jest stres?
Wyszukaj kluczowe pojęcia lub tekst.

Po raz pierwszy termin „stres” (ang. stress) odnoszący się do ludzkiego stanu pojawił się w literaturze naukowej w latach 30. XX wieku, ale do powszechnego użycia wszedł w latach 70. (Lyon, 2012). Obecnie często używamy go do opisania różnych nieprzyjemnych uczuć. Na przykład zdarza się nam mówić, że się stresujemy, gdy czujemy się sfrustrowani, źli, rozdarci, przytłoczeni lub przemęczeni. Mimo że termin ten jest powszechnie używany, „stres” jest dość niejasnym i trudnym do precyzyjnego zdefiniowania pojęciem.

Badaczom trudno było uzgodnić jego powszechnie akceptowaną definicję. Niektórzy przyjęli koncepcję stresu jako wymagającego lub groźnego wydarzenia bądź sytuacji (np. mocno stresująca praca, zatłoczona komunikacja miejska i długie dojazdy do pracy). Koncepcje te określa się mianem „definicji opartych na bodźcach”, gdyż uznają one stres za bodziec wywołujący określone reakcje. Definicje stresu oparte na bodźcach są jednak problematyczne, ponieważ nie uwzględniają faktu, że ludzie różnie postrzegają wymagające życiowe wydarzenia oraz sytuacje i różnie na nie reagują. Przykładowo, sumienny student, który przez cały semestr pilnie się uczył, prawdopodobnie doświadczy słabszego stresu podczas sesji niż student mniej odpowiedzialny, nieprzygotowany.

Inni badacze przyjęli koncepcję stresu w ujęciu podkreślającym fizjologiczne reakcje pojawiające się w obliczu wymagających lub groźnych sytuacji (np. większe pobudzenie). Koncepcje te określa się mianem „definicji opartych na reakcji”, gdyż opisują one stres jako reakcję na warunki środowiskowe. Przykładowo, endokrynolog Hans Selye (1907–1982), znany badacz tego zagadnienia, zdefiniował stres jako „reakcję organizmu na wymagania, niezależnie od tego, czy zostały one spowodowane lub skutkują przyjemnymi, czy też nieprzyjemnymi wydarzeniami” (Selye, 1976, str. 74). Definicja stresu Sely'ego opiera się na reakcji, gdyż definiuje stres głównie w kategoriach fizjologicznej reakcji organizmu na dowolne nałożone na niego wymaganie.

Ani definicje oparte na bodźcach, ani te oparte na reakcji nie są pełne. Wiele reakcji fizjologicznych (np. przyspieszone tętno) może występować również w odpowiedzi na czynniki, których większość ludzi nie uzna za naprawdę stresujące, np. otrzymanie niespodziewanej dobrej wiadomości o nieoczekiwanym awansie lub podwyżce.

Przydatnym sposobem pojmowania stresu jest postrzeganie go jako procesu, w którym osoba dostrzega wydarzenia, które ocenia jako przytłaczające lub zagrażające jej dobremu samopoczuciu, i odpowiada na nie (Lazarus i Folkman, 1984). Krytyczny aspekt tej definicji dotyczy faktu, że podkreśla ona istotę tego, jak oceniamy (innymi słowy: postrzegamy) wymagające lub groźne wydarzenia (często zwane stresorami (ang. stressors)). Ocena ta wpływa z kolei na nasze reakcje na dane wydarzenia.

W tym kontekście szczególnie ważne są dwa rodzaje oceny: pierwotna i wtórna. Ocena pierwotna (ang. primary appraisal) obejmuje oszacowanie stopnia potencjalnej krzywdy, jaką może spowodować stresor, lub zagrożenia dla dobrostanu, jakie może on stwarzać. Dany stresor zostanie najprawdopodobniej oceniony jako zagrożenie, jeśli przewidujemy, że może on wywołać krzywdę, stratę lub inne negatywne konsekwencje. Z kolei stresor zostanie oceniony jako wyzwanie, gdy dana osoba uważa, że wiąże się z nim potencjalny zysk lub rozwój osobisty. Przykładowo, pracownica, która dostaje awans na stanowisko kierownicze, prawdopodobnie będzie postrzegać go jako znacznie większe zagrożenie, jeśli uzna, że doprowadzi on do obarczenia jej nadmiernymi wymaganiami zawodowymi, niż w przypadku, gdy potraktuje go jako możliwość zdobycia nowych umiejętności i rozwoju kariery zawodowej. Podobnie student, który niedługo kończy studia, może uznać nadchodzącą zmianę za zagrożenie lub wyzwanie (Ilustracja 14.2).

Zdjęcie uśmiechniętego studenta w czapce i todze absolwenta.
Ilustracja 14.2 Ukończenie studiów i wejście na rynek pracy może być postrzegane jako zagrożenie (utrata wsparcia finansowego) lub jako wyzwanie (możliwość rozwoju i zyskania niezależności). (Źródło: Timothy Zanker).

Postrzeganie zagrożenia prowadzi do oceny wtórnej (ang. secondary appraisal): dotyczy ona określenia możliwości poradzenia sobie ze stresorem oraz stwierdzenia, na ile każda z tych możliwości będzie skuteczna (Lyon, 2012) (Ilustracja 14.3).

Jak być może pamiętasz z rozważań o wierze we własne możliwości, ważna jest tutaj wiara jednostki w zdolność realizacji danego zadania (Bandura, 1994). Zagrożenie postrzega się jako mniej dramatyczne, jeśli ktoś wierzy, że można mu zaradzić (Lazarus i Folkman, 1984). Wyobraź sobie, że pewnego ranka dwie kobiety w średnim wieku, Robin i Maria, wykonują samobadanie piersi i każda z nich zauważa guzek w dolnej części lewej piersi. Mimo że obie postrzegają guzek w piersi jako zagrożenie (ocena pierwotna), ich oceny wtórne bardzo się różnią. Myśli przebiegające przez głowę Robin w kontekście wykrytego guzka są następujące:, „O Boże, to może być rak piersi! A co jeśli będę miała przerzuty na inne organy i nie wyzdrowieję? A co jeśli będę musiała się poddać chemioterapii? Słyszałam, że to okropne doświadczenie! A jeśli będę musiała zrezygnować z pracy? Będzie nam brakować pieniędzy na spłatę kredytu. Och, to straszne… Nie mogę się z tym pogodzić!”. Z kolei Maria myśli tak: „Hmm, to może być zły znak. Mimo że zazwyczaj takie guzki są niegroźne, to muszę się zbadać. Jeśli się okaże, że to rak piersi, są lekarze, którzy się tym zajmą, bo dzisiejsza technologia medyczna jest dość zaawansowana. Będę miała sporo opcji do wyboru, będzie dobrze”. Robin i Maria mają zdecydowanie różne nastawienia do tego, jak może rozwinąć się poważna sytuacja. Robin sprawia wrażenie, że nic się nie da zrobić, natomiast Maria wierzy, że – w najgorszym razie – dostępnych będzie wiele skutecznych opcji leczenia raka. W związku z tym Robin doświadczy zdecydowanie większego stresu niż Maria.

Rysunek przedstawia schemat oceny stresora. U góry widnieje ramka z napisem "stresor", od której biegnie w dół strzałka do pola z tekstem "ocena pierwotna - wyzwanie czy zagrożenie?". Od tej ramki odchodzą dwie strzałki w różnych kierunkach. Strzałka z lewej strony, z podpisem "wyzwanie", prowadzi tylko do ramki z napisem "potencjalny zysk lub rozwój". Strzałka z prawej strony, podpisana jako "zagrożenie", wiedzie do ramki ze zdaniem "może doprowadzić do szkody, straty lub negatywnych konsekwencji". Z tego miejsca w dół biegnie strzałka prowadząca do pola z tekstem "ocena wtórna - potencjalne opcje i ich skuteczność". Stąd zaś, w przeciwnych kierunkach, wychodzą ostatnie dwie strzałki. Strzałka z lewej podpisana jest słowami "skuteczne opcje" i wiedzie do ramki z tekstem "małe zagrożenie", zaś prawa strzałka, nazwana "nieskuteczne opcje lub ich brak", biegnie do ramki z napisem "duże zagrożenie".
Ilustracja 14.3 Gdy pojawia się stresor, najpierw poddajemy ocenie związane z nim zagrożenie (ocena pierwotna), a następnie stwierdzamy, czy dostępne są skuteczne opcje poradzenia sobie z daną sytuacją. Większe prawdopodobieństwo wystąpienia stresu jest wówczas, gdy stresor postrzegany jest jako mocno zagrażający albo wydaje się, że opcji skutecznego poradzenia sobie z nim jest niewiele bądź w ogóle ich nie ma.

Nie ulega wątpliwości, że niektóre stresory są z natury bardziej obciążające niż inne, ponieważ stanowią większe zagrożenie i dają mniejsze szanse na zróżnicowane interpretacje (np. obiektywne zagrożenia dla czyjegoś zdrowia lub bezpieczeństwa). Mimo to ocena nadal odgrywa pewną rolę we wzmacnianiu lub łagodzeniu naszych reakcji na takie wydarzenia (Everly i Lating, 2002).

Jeśli jednostka ocenia określoną sytuację jako szkodliwą i uważa, że dostępne jej zasoby do poradzenia sobie z problemem lub dostosowania się do sytuacji są niewystarczające, doświadczy stanu stresu. Ktoś inny może tego samego wydarzenia nie oceniać jako szkodliwe lub groźne i wówczas prawdopodobnie stresu nie odczuje. Zgodnie z tą definicją to interpretacja wydarzenia środowiskowego i przypisanie mu określonego znaczenia wywołują reakcje stresowe. Krótko mówiąc, stres to w dużej mierze pojęcie względne – nie chodzi o to, co się dzieje, ale jak się je postrzega i na nie reaguje (Selye, 1976).

Stres pozytywny?

Mimo że stres budzi negatywne skojarzenia, to czasem miewa korzystny wpływ. Może nas motywować do podejmowania działań we własnym interesie, np. do uczenia się do egzaminów, chodzenia na regularne kontrole do lekarza, ćwiczeń lub do wykonywania pracy najlepiej, jak potrafimy. Selye (1974) słusznie zauważył, że nie każdy stres jest szkodliwy. Jego zdaniem czasem może być pozytywną, motywującą siłą, która poprawia jakość naszego życia. Ten rodzaj stresu, nazwany przez Selyego „eustresem” (ang. eustress) (od greckiego eu – ‘dobry'), jest stresem pozytywnym, związanym z pozytywnymi uczuciami, optymalnym zdrowiem i optymalną wydajnością. Umiarkowana ilość stresu bywa korzystna w wymagających sytuacjach. Na przykład stres przed meczem może motywować sportowców i dodawać im energii, a studenci mogą doświadczać podobnego korzystnego stresu przed ważnym egzaminem. Badania potwierdzają, że umiarkowany stres zwiększa zarówno natychmiastowe, jak i opóźnione przypominanie sobie wyuczonych informacji. W jednym z badań mężczyźni, którzy mieli zapamiętać fragment tekstu naukowego, lepiej to zrobili bezpośrednio po ekspozycji na łagodny stresor oraz następnego dnia (Hupbach i Fieman, 2012).

Wzrost poziomu stresu u danej osoby w przewidywalny sposób wpłynie na zmianę wydajności. Jak pokazano na Ilustracji 14.4, wraz ze wzrostem stresu rośnie również wydajność i ogólne dobre samopoczucie (eustres). Gdy osiągnięty zostanie optymalny poziom stresu (najwyższy punkt krzywej), wydajność jest szczytowa. Kolokwialnie mówiąc, osoba z takim poziomem stresu jest w najlepszej formie, co oznacza, że czuje się pełna energii, skoncentrowana i może pracować przy minimalnym wysiłku z maksymalną wydajnością. Jednak gdy stres przekracza optymalny poziom, przestaje być pozytywną siłą napędową – staje się nadmierny i wyniszczający; Selye określił go mianem „dystresu” (ang. distress) (od łacińskiego dis – ‘zły'). Ludzie osiągający zbyt wysoki poziom stresu czują się wypaleni, są zmęczeni, wyczerpani, a ich wydajność zaczyna spadać. Przy utrzymującym się nadmiernym stresie możemy też zacząć podupadać na zdrowiu (Everly i Lating, 2002). Dobrym przykładem dystresu jest silny lęk przed testem egzaminacyjnym. Kiedy studenci odczuwają duży stres związany z testem, negatywne emocje w połączeniu z objawami fizycznymi mogą utrudniać koncentrację, a tym samym negatywnie wpływać na wyniki egzaminu.

Wykres przedstawia krzywą dzwonową zależności między poziomem wydajności człowieka a poziomem stresu. Na osi Y przedstawiono poziom wydajności (od niskiego do wysokiego), a na osi X - poziom stresu (również od niskiego do wysokiego). Zależność ta rośnie od zera, wartość maksymalną osiąga w punkcie zwanym „poziomem optymalnym”, po czym znów opada aż do zera. Wykres pokazuje, że wzrostowi stresu towarzyszy wzrost wydajności aż do momentu osiągnięcia przez stres optymalnej wartości (mówimy wówczas o eustresie), a po jej przekroczeniu wydajność spada (mamy wtedy do czynienia z dystresem).
Ilustracja 14.4 Wraz ze wzrostem poziomu stresu z niskiego do umiarkowanego wzrasta wydajność (eustres). Na optymalnym poziomie (środek krzywej) wydajność osiąga swój szczyt. Gdy stres przekroczy optymalny poziom, przejdzie w dystres, czyli nadmierny i wyniszczający stres, a wydajność spadnie (Everly i Lating, 2002).

Występowanie stresu

Stres jest obecny wszędzie, a jego poziom w populacji od kilku lat rośnie, jak pokazano na Ilustracji 14.5. Każdy z nas wie, co to jest stres – niektórzy znają go lepiej niż inni. Pod wieloma względami wydaje się on obciążeniem nie do udźwignięcia – to uczucie, którego doświadczasz, gdy, na przykład, musisz pojechać gdzieś podczas straszliwej zamieci, za późno się budzisz w dniu ważnej rozmowy o pracę, kończą ci się pieniądze przed następną wypłatą albo zbliża się ważny egzamin, do którego nie udało ci się w pełni przygotować.

Wykres kołowy przedstawia rozkład zyu dorosłych Amerykanów . Stres wzrósł u  osób, o u osób, a n uz nich
Ilustracja 14.5 Prawie połowa dorosłych Amerykanów przyznała, że ich poziom stresu wzrósł w ciągu ostatnich pięciu lat (Neelakantan, 2013).

Stres to doświadczenie wywołujące szereg różnych reakcji, wśród których można wyodrębnić reakcje fizjologiczne (np. przyspieszone tętno, bóle głowy lub problemy żołądkowo-jelitowe), poznawcze (np. problemy z koncentracją lub podejmowaniem decyzji) oraz behawioralne (np. picie alkoholu, palenie papierosów lub podejmowanie działań mających wyeliminować przyczynę stresu).

Jak zostało już wspomniane wyżej, nadmierny stres może przyczyniać się do powstawanie chorób. Badania naukowe nad wpływem stresu i innych czynników psychologicznych na zdrowie zalicza się do psychologii zdrowia (ang. health psychology), dziedziny zajmującej się zrozumieniem istoty psychologicznych czynników wpływających na zdrowie, choroby i reakcje na dolegliwości (Taylor, 1999). Psychologia zdrowia jako dyscyplina pojawiła się w latach 70. XX wieku, w okresie wzrostu świadomości roli, jaką odgrywają zachowania i styl życia w rozwoju chorób i dolegliwości (Straub, 2007).

Oprócz badania związku między stresem a chorobami psychologowie zdrowia analizują, np. przyczyny, dla których ludzie dokonują wyboru określonego stylu życia (jak palenie papierosów lub niezdrowe odżywianie się, mimo że znają szkodliwe konsekwencje takich zachowań dla zdrowia). Ponadto badają skuteczność działań mających na celu zmianę niezdrowych przyzwyczajeń. Jednym z najbardziej podstawowych zadań psychologów zdrowia jest ustalenie, które grupy ludzi są szczególnie narażone na negatywne następstwa zdrowotne, oraz określenie charakterystyki psychologicznej i behawioralnej tych grup. Na przykład analiza różnic w poziomach stresu między różnymi grupami demograficznymi oraz ich zmian w czasie może pomóc zidentyfikować populacje o podwyższonym ryzyku zachorowania.

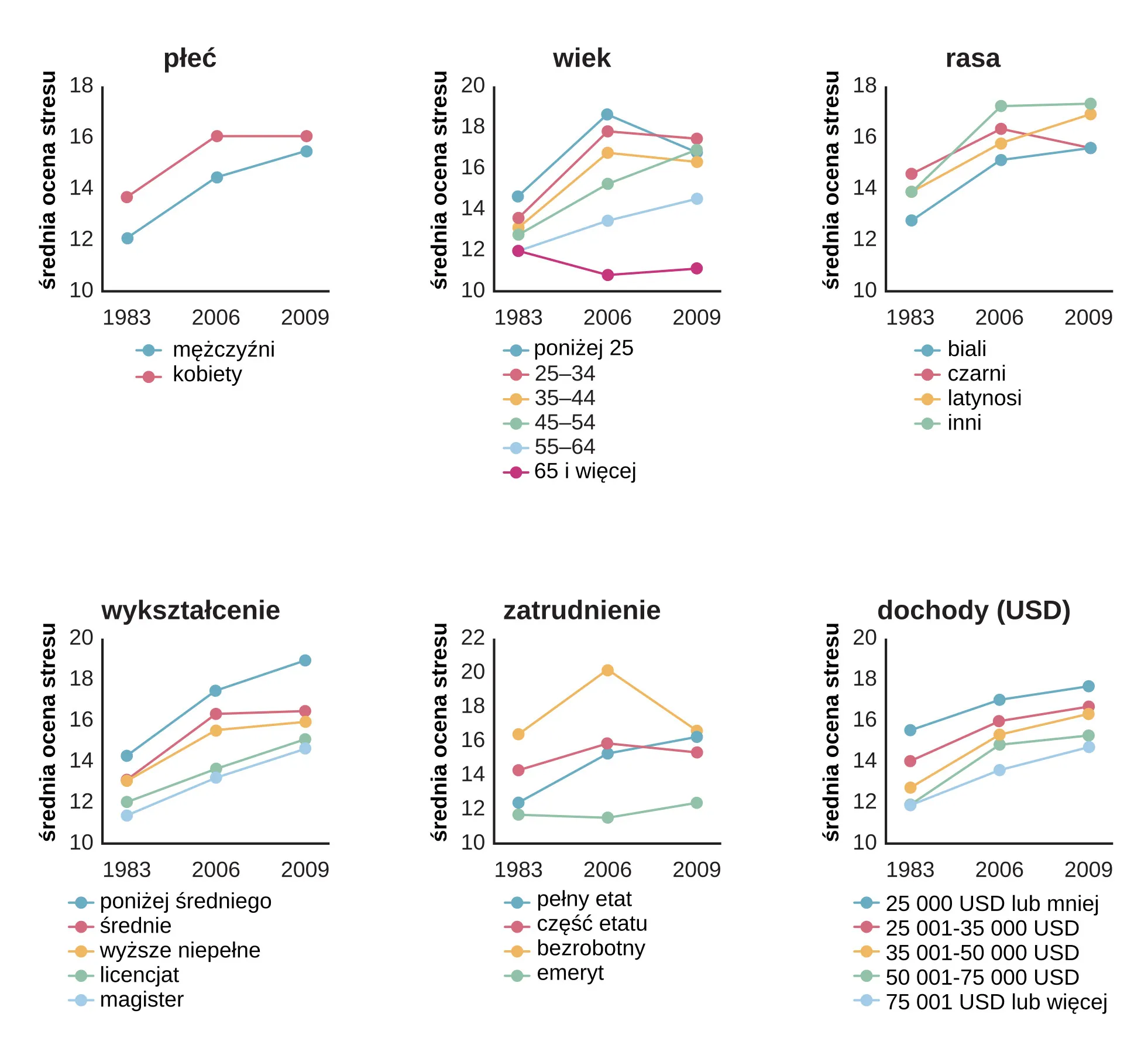
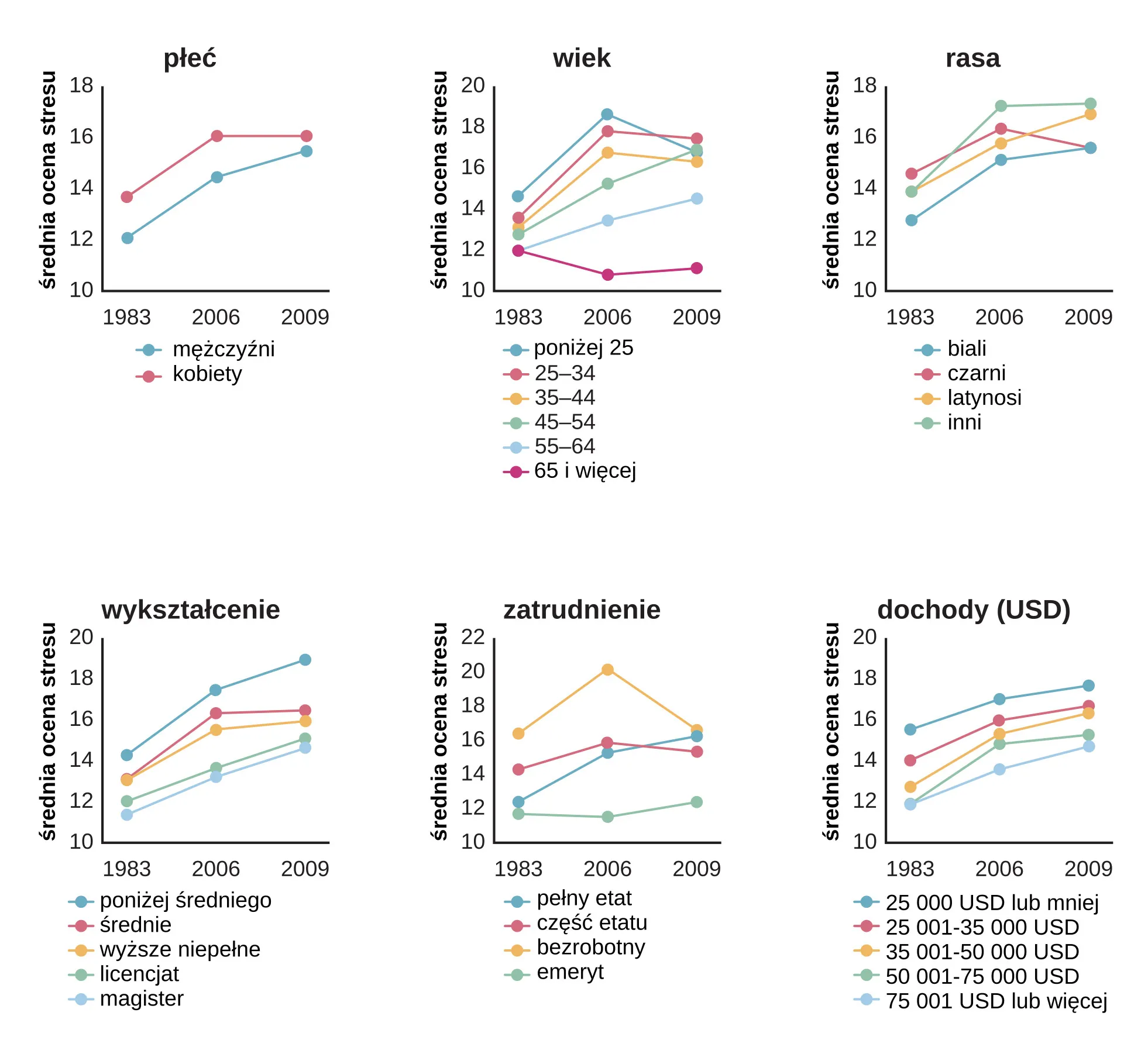
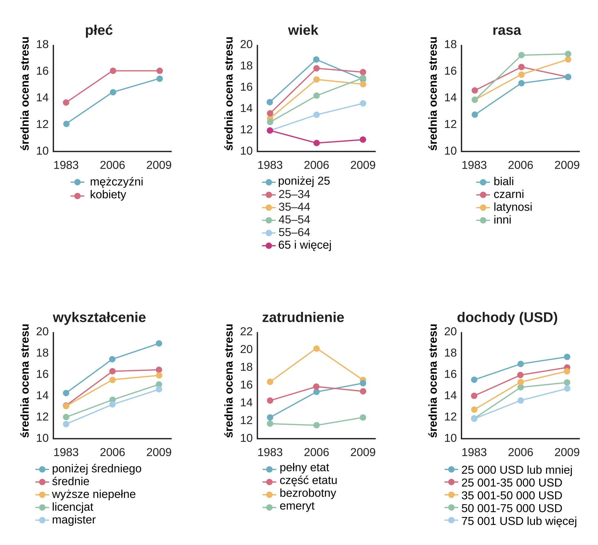
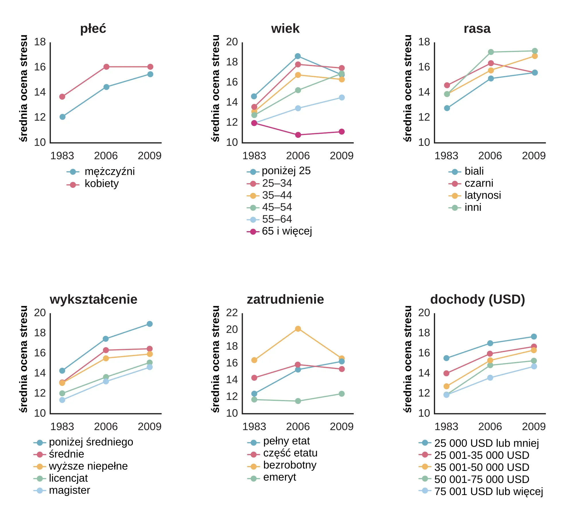
Ilustracja 14.6 przedstawia wyniki trzech przeprowadzonych w Stanach Zjednoczonych badań, w których kilka tysięcy osób z różnych grup demograficznych wypełniło krótką ankietę na temat stresu. Badania przeprowadzono w latach 1983, 2006 i 2009 (Cohen i Janicki-Deverts, 2012). Wszystkie wykazały wyższy poziom stresu u kobiet niż u mężczyzn. We wszystkich trzech wysoki poziom stresu stwierdzono u osób bezrobotnych, a także u ankietowanych deklarujących niższe wykształcenie i dochody. Najniższy poziom stresu odnotowano wśród emerytów. Między rokiem 2006 a 2009 największy wzrost poziomu stresu wystąpił wśród mężczyzn, przedstawicieli rasy kaukaskiej, osób w wieku 45–64 lata, absolwentów szkół wyższych, a także osób zatrudnionych na pełny etat. Jedna z interpretacji tych wyników zakłada, że obawy związane z kryzysem finansowym w latach 2008–2009 (m.in. ryzyko utraty pracy lub otrzymanie wypowiedzenia oraz znaczna utrata oszczędności emerytalnych) mogły być szczególnie stresujące dla osób rasy kaukaskiej, wykształconych, zatrudnionych, mężczyzn, którym pozostało niewiele lat aktywności zawodowej.

Graphs a through f show mean stress scores in 1983, 2006, and 2009, and how they have been impacted by different factors. Graph a shows the relationship between mean stress score and sex. The mean stress score for men steadily increased from 12 in 1983 to a little over 14 in 2006 to a little over 15 in 2009. The mean stress score for women increased rapidly from a little under 13 in 1983 to 16 in 2006 and remained the same in 2009. The graph indicates that the mean stress score for women is higher than the mean stress score for men overall. Graph b shows the relationship between mean stress score and age. The mean stress scores for people under 25 years old increased from a little over 14 in 1983 to a little over 18 in 2006, and then decreased to 17 in 2009. The mean stress scores for people 25 to 34 years old increased from a little under 14 in 1983 to 18 in 2006, then decreased to a little over 16 in 2009. The mean stress scores for people 35–44 years old increased from 13 in 1983 to a little under 17 in 2006, then decreased to a little over 16 in 2009. The mean stress scores for people 45–54 years old from a little under 13 in 1983 to 15 in 2006, then increased to a little under 17 in 2009. The mean stress scores for people 55–64 years old steadily increased from 12 in 1983 to a little over 13 in 2006 to a little over 14 in 2009. The mean stress scores for people 65 years old or older decreased from 12 in 1983 to a little under 11 in 2006, then slightly increased to 11 in 2009.  Graph c shows the relationship between mean stress score and race. The mean stress scores for White people steadily increased from a little under 13 in 1983 to 15 in 2006 to a little over 15 in 2009. The mean stress scores for Black people increased from a little over 15 in 1983 to a little over 16 in 2006, then slightly decreased to a little over 15 in 2009. The mean stress scores for Hispanic people steadily increased from 14 in 1983 to a little under 16 in 2006 to 17 in 2009. The mean stress score for people classified as “Other” increased from 14 in 1983 to a little over 17 in 2006 where it remained. Graph d shows the relationship between mean stress scores and education. The mean stress scores for those with less than a high school education steadily increased from a little over 14 in 1983 to a little over 17 in 2006 to 19 in 2009. The mean stress scores for those with a high school education increased from 12 in 1983 to a little over 16 in 2006 and remained the same in 2009. The mean stress scores for those with some college education increased from 12 in 1983 to a little over 15 in 2006, then slightly increased to a little under 16 in 2009. The mean stress scores for those with a bachelor’s degree steadily increased from 12 in 1983 to a little over 13 in 2006 to 15 in 2009. The mean stress scores for those with advanced degrees also steadily increased, from a little over 11 in 1983 to 13 in 2006 to a little under 15 in 2009. Graph e shows the relationship between mean stress scores and employment status. The mean stress scores for those with full time employment status steadily increased from a little over 12 in 1983 to 15 in 2006 to 16 in 2009. The mean stress scores for those with part time employment status increased from 14 in 1983 to 16 in 2006, then decreased to 15 in 2009.The mean stress scores for those who were unemployed rapidly increased from a little over 16 in 1983 to 20 in 2006, then decreased back to a little over 16 in 2009. The mean stress scores for those who were retired remained lower than the other groups, remaining at a little under 12 in 1983 and 2006, then slightly increasing to a little over 12 in 2009. Graph f shows the relationship between the mean stress score and income in U.S. dollars. The mean stress scores for those with an income of $25,000 or lower steadily increased from a little over 15 in 1983 to 17 in 2006 to a little under 18 in 2009. The mean stress scores for those with an income of  $25,001 to $35,000 steadily increased from 14 in 1983 to 16 in 2006 to a little under 17 in 2009. The mean stress scores for those with an income of $35,001–$50,000 steadily increased from a little under 13 in 1983 to a little over 15 in 2006 to a little over 16 in 2009. The mean stress scores for those with an income of $50,001–$75,000 increased rapidly from 12 in 1983 to a little under 15 in 2006, then slightly increased to a little over 15 in 2009. The mean stress scores for those with an income of $75,001 or more steadily increased from 12 in 1983 to a little under 13 in 2006 to a little over 14 in 2009.
Ilustracja 14.6 Powyższe wykresy, zaczerpnięte z pracy Cohen i Janicki-Deverts (2012), przedstawiają średnią ocenę poziomu stresu w różnych grupach demograficznych w USA w latach 1983, 2006 i 2009. Na przestrzeni 25 lat poziom stresu znacznie wzrósł we wszystkich analizowanych kategoriach: płci, wieku, rasy, poziomu wykształcenia, statusu zatrudnienia i osiąganych dochodów.

Wczesny wkład w badania nad stresem

Jak już wcześniej wspomnieliśmy, naukowcy zainteresowali się zagadnieniem stresu prawie sto lat temu. Jednym z pionierów badań nad stresem był Walter Cannon (1871-1945), wybitny amerykański fizjolog z Harvard Medical School (Ilustracja 14.7). Na początku XX wieku Cannon jako pierwszy zidentyfikował fizjologiczne reakcje organizmu na stres.

Zdjęcie przedstawia Waltera Cannona.
Ilustracja 14.7 Fizjolog z Harvardu – Walter Cannon – jako pierwszy opisał i nazwał reakcję „walcz lub uciekaj”, tj. reakcję współczulnego układu nerwowego na istotny stresor.

Cannon i reakcja „walcz lub uciekaj”

Wyobraź sobie, że jesteś na wycieczce w górach w ciepły i słoneczny wiosenny dzień. W pewnym momencie zza drzew wychodzi wielki, groźnie wyglądający niedźwiedź i siada jakieś 50 metrów od ciebie. Zauważa cię, wstaje i zaczyna iść w twoją stronę. Oprócz tego, że myślisz wtedy „Oj, nie jest dobrze”, w twoim organizmie dochodzi do szeregu reakcji fizjologicznych. Źrenice rozszerzają się pod wpływem adrenaliny (epinefryny) i noradrenaliny (norepinefryny) wydzielanych przez nadnercza. Serce zaczyna ci łomotać, ciężko oddychasz i pocisz się, czujesz „motyle” w brzuchu, a mięśnie się napinają, przygotowując cię do podjęcia wysiłku. Cannon stwierdził, że ta reakcja, którą nazwał reakcją „walcz lub uciekaj” (ang. fight or flight response), występuje, gdy dana osoba doświadcza bardzo silnych emocji – szczególnie tych wywołanych dostrzeżonym zagrożeniem (Cannon, 1932). Podczas niej organizm zostaje szybko pobudzony w efekcie aktywacji współczulnego układu nerwowego i układu hormonalnego (Ilustracja 14.8). Pobudzenie to pomaga przygotować daną osobę albo do walki z dostrzeżonym zagrożeniem, albo do ucieczki przed nim.

Rysunek przedstawia sylwetkę ludzkiego ciała ze wskazaniem obszarów związanych z reakcją "walcz lub uciekaj". Pobudzenie wynikające z tej reakcji przybiera różne formy: ź, o, t, p, m.
Ilustracja 14.8 „Walcz lub uciekaj” to fizjologiczna reakcja na silny stresor.

Zdaniem Cannona reakcja „walcz lub uciekaj” jest wrodzonym mechanizmem pomagającym w utrzymaniu homeostazy, czyli względnie stałego stanu naszych parametrów fizjologicznych, takich jak ciśnienie krwi, oddychanie, trawienie i temperatura, na poziomie optymalnym do przeżycia. Cannon uważał zatem, że jest to reakcja przystosowawcza, gdyż umożliwia ludziom wewnętrzne i zewnętrzne dostosowanie się do zagrożeń pojawiających się w ich środowisku oraz unikanie niebezpieczeństwa.

Selye i ogólny zespół adaptacyjny

Kolejną ważną osobą, która miała wkład we wczesny rozwój formowania się koncepcji stresu, był wcześniej wspomniany Hans Selye. Ostatecznie stał się on jednym z największych światowych ekspertów zajmujących się badaniami nad stresem (Ilustracja 14.9). Jako młody asystent na Wydziale Biochemii na Uniwersytecie McGilla w latach 30. XX wieku Selye prowadził eksperymenty dotyczące hormonów płciowych u szczurów. W ich trakcie przez przypadek odkrył, że przy ekspozycji na długotrwałą negatywną stymulację (stresory) – np. ekstremalnie niskie temperatury, ranę pooperacyjną, przetrenowanie mięśni i wstrząs – u badanych zwierząt pojawiały się symptomy powiększenia nadnerczy, zmniejszenia grasicy i węzłów chłonnych oraz owrzodzenia żołądka. Selye uświadomił sobie, że zmiany te są wywołane przez złożone reakcje fizjologiczne, które rozwijają się podczas ekspozycji na stresor. Te fizjologiczne reakcje były niespecyficzne, co oznacza, że pojawiały się niezależnie od rodzaju stresora. Selye odkrył ogólny zespół adaptacyjny (ang. general adaptation syndrome), niespecyficzną fizjologiczną reakcję organizmu na stres.

Zdjęcie przedstawia znaczek pocztowy z przedstawiający Hansa Selye'a.
Ilustracja 14.9 Hans Selye specjalizował się w badaniach nad stresem. W 2009 roku jego rodzime Węgry uhonorowały jego pracę tym znaczkiem wyemitowanym z okazji drugiej corocznej światowej konferencji na temat stresu.

Ogólny zespół adaptacyjny, który przedstawiono na Ilustracji 14.10, dzieli się na trzy fazy:

  • reakcja alarmowa,
  • stadium odporności,
  • stadium wyczerpania (Selye, 1936; 1976).

Reakcja alarmowa (ang. alarm reaction) to natychmiastowa reakcja organizmu na zetknięcie się z sytuacją zagrożenia lub niebezpieczeństwa, podobna do reakcji „walcz lub uciekaj” opisanej przez Cannona. Podczas reakcji alarmowej odbierasz informacje o stresorze, a twoje ciało alarmuje cię za pośrednictwem wielu reakcji fizjologicznych, dostarczających ci energii do poradzenia sobie z daną sytuacją. Reakcji alarmowej doświadcza np. ktoś, kto budzi się w środku nocy i zauważa w domu pożar.

Wykres przedstawia zależność odporności na stres od czasu. Oś X obrazuje odporność na stres (niską do wysokiej), a oś Y - czas.
Ilustracja 14.10 Wykres pokazuje trzy fazy ogólnego zespołu adaptacyjnego Selyego. Długotrwały stres ostatecznie prowadzi do wyczerpania.

W przypadku długotrwałej ekspozycji na stresor organizm wchodzi w stadium odporności (ang. stage of resistance). Na tym etapie początkowy szok wywołany reakcją alarmową ustępuje, a ciało dostosowuje się do stresora. Organizm cały czas pozostaje w stanie gotowości do działania, podobnie jak miało to miejsce podczas reakcji alarmowej, ale z mniejszą intensywnością. Załóżmy na przykład, że zaginione dziecko nie odnalazło się po 72 godzinach. Mimo że rodzice są nadal bardzo zaniepokojeni, to w ciągu tych minionych 72 godzin skala reakcji fizjologicznych prawdopodobnie zmniejszyła się dzięki pewnego rodzaju przystosowaniu do tej sytuacji.

Jeśli ekspozycja na stresor utrzymuje się przez dłuższy czas, dochodzi do stadium wyczerpania (ang. stage of exhaustion). Na tym etapie dana osoba nie jest w stanie dłużej dostosowywać się do stresora: zdolność organizmu do stawiania oporu wyczerpuje się, a tkankom i organom daje się we znaki fizyczne zmęczenie. W rezultacie mogą pojawić się: choroba, trwałe uszkodzenie ciała, a nawet śmierć. Jeśli zaginione dziecko nie odnalazło się przez trzy miesiące, to długotrwały stres związany z tą sytuacją może sprawić, że w pewnym momencie rodzic dosłownie zasłabnie z wyczerpania lub rozwinie się u niego poważna i nieodwracalna choroba.

Krótko mówiąc, ogólny zespół adaptacyjny Selyego sugeruje, że stresory poddają organizm próbie w trójfazowym procesie – najpierw następuje wstrząs, po nim dostosowanie, później osłabienie wszystkich fizycznych zasobów, co ostatecznie może doprowadzić do poważnych problemów zdrowotnych, a nawet śmierci. Należy jednak podkreślić, że ten model uznaje koncepcję stresu opartą na reakcji, skupiającą się wyłącznie na fizycznych odpowiedziach organizmu, w znacznym stopniu pomija zaś czynniki psychologiczne, takie jak ocena i interpretacja zagrożeń. Mimo to model Selyego miał olbrzymi wpływ na formowanie koncepcji stresu, gdyż stanowi ogólnie wyjaśnienie sposobu, w jaki prowadzi on do fizycznych uszkodzeń i, tym samym, chorób. Jak dowiesz się z dalszej części rozdziału, długotrwały lub powracający stres ma związek z powstaniem wielu zaburzeń, takich jak nadciśnienie tętnicze i choroby serca.

Fizjologiczne podłoże stresu

Co dzieje się wewnątrz naszego organizmu, gdy doświadczamy stresu? Fizjologiczne mechanizmy stresu są bardzo złożone, ale zasadniczo angażują pracę dwóch układów – współczulnego układu nerwowego (ang. sympathetic nervous system) oraz osi podwzgórze–przysadka–nadnercza (ang. hypothalamic-pituitary-adrenal (HPA) axis). Gdy ktoś po raz pierwszy uznaje daną sytuację za stresującą (reakcja alarmowa wg Selyego), wówczas współczulny układ nerwowy wywołuje pobudzenie przez wydzielanie adrenaliny z rdzenia nadnerczy. Wydzielenie tych hormonów aktywuje reakcję „walcz lub uciekaj”, czyli m.in przyspieszone tętno i oddech. Jednocześnie oś podwzgórze–przysadka–nadnercza staje się szczególnie aktywna, mimo że pracuje znacznie wolniej niż współczulny układ nerwowy (ma charakter głównie hormonalny).

W odpowiedzi na stres podwzgórze (jedna ze struktur limbicznych mózgu) wydziela hormon uwalniający kortykotropinę, który pobudza przysadkę mózgową do wydzielania hormonu adrenokortykotropowego (ACTH) (Ilustracja 14.11). Następnie ACTH pobudza nadnercza do uwalniania licznych hormonów do krwiobiegu. Wśród nich ważną rolę odgrywa kortyzol, który wpływa praktycznie na każdy organ naszego ciała. Kortyzol (ang. cortisol) jest powszechnie nazywany hormonem stresu i zapewnia zastrzyk energii przy pierwszym zetknięciu ze stresorem, przygotowując nas do ucieczki lub podjęcia walki.

A figure shows an outline of the human body that indicates various parties of the body related to the hypothalamic-pituitary-adrenal axis. The hypothalamus, pituitary gland, and adrenal glands are labeled. There is an arrow from hypothalamus to pituitary gland and another arrow from pituitary gland to adrenal glands. These arrows represent the flow between these organs.
Ilustracja 14.11 Wykres przedstawia funkcjonowanie osi podwzgórze–przysadka–nadnercza. Podwzgórze aktywuje przysadkę mózgową, która z kolei pobudza nadnercza do zwiększonego wydzielania kortyzolu.

Na krótką metę proces ten może mieć korzystne skutki, na przykład zapewnia dodatkową energię, poprawia tymczasowe funkcjonowanie układu odpornościowego (ang. immune system), a także zmniejsza wrażliwość na ból. Jednak przedłużające się wydzielanie kortyzolu – występujące przy długotrwałym lub chronicznym stresie – często wiele nas kosztuje. Stwierdzono, że wysokie stężenie kortyzolu wywołuje szereg szkodliwych konsekwencji. Może ono w istotny sposób osłabić nasz układ odpornościowy (Glaser i Kiecolt-Glaser, 2005). Wysokie stężenia kortyzolu często obserwuje się u osób cierpiących na depresję (Geoffroy et al., 2013).

Bardzo silny lub chroniczny stres może mieć jednak poważne negatywne konsekwencje. Na przykład często przyczynia się do rozwoju zaburzeń psychicznych, takich jak zespół stresu pourazowego lub ciężki epizod depresyjny. Ponadto, jak wspomnieliśmy wcześniej, stres jest powiązany z rozwojem różnych dolegliwości fizycznych i chorób. Przykładowo w jednym z badań autorzy stwierdzili znacznie wyższy wskaźnik występowania chorób serca u ofiar ataku na World Trade Center 11 września 2001 roku oraz u osób z późniejszymi objawami zespołu stresu pourazowego (Jordan et al., 2011). Na podstawie innego badania stwierdzono, że subiektywne objawy stresu u starzejących się i emerytowanych pracowników fińskiego przemysłu spożywczego były powiązane ze stanami chorobowymi stwierdzanymi 11 lat później. W badaniu tym przewidziano również rozwój zaburzeń układu mięśniowo-szkieletowego, układu nerwowego, zaburzeń hormonalnych i metabolicznych (Salonen et al., 2008). Jeszcze inne badanie pokazało, że mężczyźni z Korei Południowej zatrudnieni w przemyśle wytwórczym, deklarujący wysoki poziom stresu w miejscu pracy, częściej przeziębiali się w ciągu kolejnych kilku miesięcy niż pracownicy deklarujący niższy poziom stresu (Park et al., 2011). W dalszej części rozdziału poznasz mechanizmy rozwoju dolegliwości fizycznych i chorób w wyniku oddziaływania stresu.

Cytowanie i udostępnianie

Ten podręcznik nie może być wykorzystywany do trenowania sztucznej inteligencji ani do przetwarzania przez systemy sztucznej inteligencji bez zgody OpenStax lub OpenStax Poland.

Chcesz zacytować, udostępnić albo zmodyfikować treść tej książki? Została ona wydana na licencji Uznanie autorstwa (CC BY) , która wymaga od Ciebie uznania autorstwa OpenStax.

Cytowanie i udostępnienia
  • Jeśli rozpowszechniasz tę książkę w formie drukowanej, umieść na każdej jej kartce informację:
    Treści dostępne za darmo na https://openstax.org/books/psychologia-polska/pages/1-wprowadzenie
  • Jeśli rozpowszechniasz całą książkę lub jej fragment w formacie cyfrowym, na każdym widoku strony umieść informację:
    Treści dostępne za darmo na https://openstax.org/books/psychologia-polska/pages/1-wprowadzenie
Cytowanie

© 12 paź 2022 OpenStax. Treść książki została wytworzona przez OpenStax na licencji Uznanie autorstwa (CC BY) . Nazwa OpenStax, logo OpenStax, okładki OpenStax, nazwa OpenStax CNX oraz OpenStax CNX logo nie podlegają licencji Creative Commons i wykorzystanie ich jest dozwolone wyłącznie na mocy uprzedniego pisemnego upoważnienia przez Rice University.