Skip to ContentGo to accessibility page
Prealgebra 2e

8.2 Solve Equations Using the Division and Multiplication Properties of Equality

Prealgebra 2e8.2 Solve Equations Using the Division and Multiplication Properties of Equality

8.2 Solve Equations Using the Division and Multiplication Properties of Equality

Learning Objectives

By the end of this section, you will be able to:

  • Solve equations using the Division and Multiplication Properties of Equality
  • Solve equations that need to be simplified

Be Prepared 8.4

Before you get started, take this readiness quiz.

Simplify: −7(1−7).−7(1−7).
If you missed this problem, review Example 4.28.

Be Prepared 8.5

What is the reciprocal of 38?38?
If you missed this problem, review Example 4.29.

Be Prepared 8.6

Evaluate 9x+29x+2 when x=−3.x=−3.
If you missed this problem, review Example 3.56.

Solve Equations Using the Division and Multiplication Properties of Equality

We introduced the Multiplication and Division Properties of Equality in Solve Equations Using Integers; The Division Property of Equality and Solve Equations with Fractions. We modeled how these properties worked using envelopes and counters and then applied them to solving equations (See Solve Equations Using Integers; The Division Property of Equality). We restate them again here as we prepare to use these properties again.

Division and Multiplication Properties of Equality

Division Property of Equality: For all real numbers a,b,c,a,b,c, and c0,c0, if a=b,a=b, then ac=bc.ac=bc.

Multiplication Property of Equality: For all real numbers a,b,c,a,b,c, if a=b,a=b, then ac=bc.ac=bc.

When you divide or multiply both sides of an equation by the same quantity, you still have equality.

Let’s review how these properties of equality can be applied in order to solve equations. Remember, the goal is to ‘undo’ the operation on the variable. In the example below the variable is multiplied by 4,4, so we will divide both sides by 44 to ‘undo’ the multiplication.

Example 8.13

Solve: 4x=−28.4x=−28.

Try It 8.25

Solve: 3y=−48.3y=−48.

Try It 8.26

Solve: 4z=−52.4z=−52.

In the previous example, to ‘undo’ multiplication, we divided. How do you think we ‘undo’ division?

Example 8.14

Solve: a−7=−42.a−7=−42.

Try It 8.27

Solve: b−6=−24.b−6=−24.

Try It 8.28

Solve: c−8=−16.c−8=−16.

Example 8.15

Solve: r=2.r=2.

Try It 8.29

Solve: k=8.k=8.

Try It 8.30

Solve: g=3.g=3.

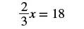
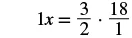
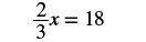
Example 8.16

Solve: 23x=18.23x=18.

Try It 8.31

Solve: 25n=14.25n=14.

Try It 8.32

Solve: 56y=15.56y=15.

Solve Equations That Need to be Simplified

Many equations start out more complicated than the ones we’ve just solved. First, we need to simplify both sides of the equation as much as possible

Example 8.17

Solve: 8x+9x5x=−3+15.8x+9x5x=−3+15.

Try It 8.33

Solve: 7x+6x4x=−8+26.7x+6x4x=−8+26.

Try It 8.34

Solve: 11n3n6n=717.11n3n6n=717.

Example 8.18

Solve: 1120=17y8y6y.1120=17y8y6y.

Try It 8.35

Solve: 1827=15c9c3c.1827=15c9c3c.

Try It 8.36

Solve: 1822=12xx4x.1822=12xx4x.

Example 8.19

Solve: −3(n2)6=21.−3(n2)6=21.

Try It 8.37

Solve: −4(n2)8=24.−4(n2)8=24.

Try It 8.38

Solve: −6(n2)12=30.−6(n2)12=30.

Section 8.2 Exercises

Practice Makes Perfect

Solve Equations Using the Division and Multiplication Properties of Equality

In the following exercises, solve each equation for the variable using the Division Property of Equality and check the solution.

68.

8 x = 32 8 x = 32

69.

7 p = 63 7 p = 63

70.

−5 c = 55 −5 c = 55

71.

−9 x = −27 −9 x = −27

72.

−90 = 6 y −90 = 6 y

73.

−72 = 12 y −72 = 12 y

74.

−16 p = −64 −16 p = −64

75.

−8 m = −56 −8 m = −56

76.

0.25 z = 3.25 0.25 z = 3.25

77.

0.75 a = 11.25 0.75 a = 11.25

78.

−3 x = 0 −3 x = 0

79.

4 x = 0 4 x = 0

In the following exercises, solve each equation for the variable using the Multiplication Property of Equality and check the solution.

80.

x 4 = 15 x 4 = 15

81.

z 2 = 14 z 2 = 14

82.

−20 = q −5 −20 = q −5

83.

c −3 = −12 c −3 = −12

84.

y 9 = −6 y 9 = −6

85.

q 6 = −8 q 6 = −8

86.

m −12 = 5 m −12 = 5

87.

−4 = p −20 −4 = p −20

88.

2 3 y = 18 2 3 y = 18

89.

3 5 r = 15 3 5 r = 15

90.

5 8 w = 40 5 8 w = 40

91.

24 = 3 4 x 24 = 3 4 x

92.

2 5 = 1 10 a 2 5 = 1 10 a

93.

1 3 q = 5 6 1 3 q = 5 6

Solve Equations That Need to be Simplified

In the following exercises, solve the equation.

94.

8 a + 3 a 6 a = −17 + 27 8 a + 3 a 6 a = −17 + 27

95.

6 y 3 y + 12 y = −43 + 28 6 y 3 y + 12 y = −43 + 28

96.

−9 x 9 x + 2 x = 50 2 −9 x 9 x + 2 x = 50 2

97.

−5 m + 7 m 8 m = −6 + 36 −5 m + 7 m 8 m = −6 + 36

98.

100 16 = 4 p 10 p p 100 16 = 4 p 10 p p

99.

−18 7 = 5 t 9 t 6 t −18 7 = 5 t 9 t 6 t

100.

7 8 n 3 4 n = 9 + 2 7 8 n 3 4 n = 9 + 2

101.

5 12 q + 1 2 q = 25 3 5 12 q + 1 2 q = 25 3

102.

0.25 d + 0.10 d = 6 0.75 0.25 d + 0.10 d = 6 0.75

103.

0.05 p 0.01 p = 2 + 0.24 0.05 p 0.01 p = 2 + 0.24

Everyday Math

104.

Balloons Ramona bought 1818 balloons for a party. She wants to make 33 equal bunches. Find the number of balloons in each bunch, b,b, by solving the equation 3b=18.3b=18.

105.

Teaching Connie’s kindergarten class has 2424 children. She wants them to get into 44 equal groups. Find the number of children in each group, g,g, by solving the equation 4g=24.4g=24.

106.

Ticket price Daria paid $36.25$36.25 for 55 children’s tickets at the ice skating rink. Find the price of each ticket, p,p, by solving the equation 5p=36.25.5p=36.25.

107.

Unit price Nishant paid $12.96$12.96 for a pack of 1212 juice bottles. Find the price of each bottle, b,b, by solving the equation 12b=12.96.12b=12.96.

108.

Fuel economy Tania’s SUV gets half as many miles per gallon (mpg) as her husband’s hybrid car. The SUV gets 18 mpg.18 mpg. Find the miles per gallons, m,m, of the hybrid car, by solving the equation 12m=18.12m=18.

109.

Fabric The drill team used 1414 yards of fabric to make flags for one-third of the members. Find how much fabric, f,f, they would need to make flags for the whole team by solving the equation 13f=14.13f=14.

Writing Exercises

110.

Frida started to solve the equation −3x=36−3x=36 by adding 33 to both sides. Explain why Frida’s method will result in the correct solution.

111.

Emiliano thinks x=40x=40 is the solution to the equation 12x=80.12x=80. Explain why he is wrong.

Self Check

After completing the exercises, use this checklist to evaluate your mastery of the objectives of this section.

After reviewing this checklist, what will you do to become confident for all objectives?

Citation/Attribution

This book may not be used in the training of large language models or otherwise be ingested into large language models or generative AI offerings without OpenStax's permission.

Want to cite, share, or modify this book? This book uses the Creative Commons Attribution-NonCommercial-ShareAlike License and you must attribute OpenStax.

Attribution information
  • If you are redistributing all or part of this book in a print format, then you must include on every physical page the following attribution:

    Access for free at https://openstax.org/books/prealgebra-2e/pages/1-introduction

  • If you are redistributing all or part of this book in a digital format, then you must include on every digital page view the following attribution:

    Access for free at https://openstax.org/books/prealgebra-2e/pages/1-introduction

Citation information

© Apr 23, 2026 OpenStax. Textbook content produced by OpenStax is licensed under a Creative Commons Attribution-NonCommercial-ShareAlike License . The OpenStax name, OpenStax logo, OpenStax book covers, OpenStax CNX name, and OpenStax CNX logo are not subject to the Creative Commons license and may not be reproduced without the prior and express written consent of Rice University.