Skip to ContentGo to accessibility pageKeyboard shortcuts menu
OpenStax Logo
Organic Chemistry

B | Acidity Constants for Some Organic Compounds

Organic ChemistryB | Acidity Constants for Some Organic Compounds
Search for key terms or text.

B • Acidity Constants for Some Organic Compounds

B • Acidity Constants for Some Organic Compounds

Table B1
Compound pKa
CH3SO3H −1.8
CH(NO2)3  0.1
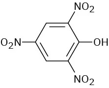
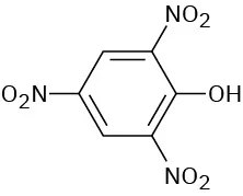
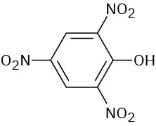
The structure has a phenol ring. C 2, C 4, and C 6 are each bonded to a nitro group.  0.3
CCl3CO2H  0.5
CF3CO2H  0.5
CBr3CO2H  0.7
HO2CCCCO2HHO2CCCCO2H  1.2; 2.5
HO2CCO2H  1.2; 3.7
CHCl2CO2H  1.3
CH2(NO2)CO2H  1.3
HCCCO2HHCCCO2H  1.9
(Z) HO2CCHCHCO2HHO2CCHCHCO2H  1.9; 6.3
The structure has a benzene ring. C 1 is bonded to a carboxylic acid group. C 2 is bonded to a nitro group.  2.4
CH3COCO2H  2.4
NCCH2CO2H  2.5
CH3CCCO2HCH3CCCO2H  2.6
CH2FCO2H  2.7
CH2ClCO2H  2.8
HO2CCH2CO2H  2.8; 5.6
CH2BrCO2H  2.9
The structure has a benzene ring. C 1 is bonded to a carboxylic acid group. C 2 is bonded to a chlorine atom.  3.0
The structure has a benzene ring. C 1 is bonded to a carboxylic acid group. C 2 is bonded to a hydroxyl group.  3.0
CH2ICO2H  3.2
CHOCO2H  3.2
The structure has a benzene ring. C 1 is bonded to a carboxylic acid group. C 4 is bonded to a nitro group.  3.4
The structure has a benzene ring. C 1 is bonded to a carboxylic acid group. C 3 and C 4 are each bonded to a nitro group.  3.5
HSCH2CO2H  3.5; 10.2
CH2(NO2)2  3.6
CH3OCH2CO2H  3.6
CH3COCH2CO2H  3.6
HOCH2CO2H  3.7
HCO2H  3.7
The structure has a benzene ring. C 1 is bonded to a carboxylic acid group. C 3 is bonded to a chlorine atom.  3.8
The structure has a benzene ring. C 1 is bonded to a carboxylic acid group. C 4 is bonded to a chlorine atom.  4.0
CH2BrCH2CO2H  4.0
The structure has a phenol ring. C 2 and C 4 are each bonded to a nitro group.  4.1
The structure has a benzene ring. C 1 is bonded to a carboxylic acid group.  4.2
H2CCHCO2HH2CCHCO2H  4.2
HO2CCH2CH2CO2H  4.2; 5.7
HO2CCH2CH2CH2CO2H  4.3; 5.4
The structure has a phenol ring. C 2 to C 6, each carbon is bonded to a chlorine atom.  4.5
H2CC(CH3)CO2HH2CC(CH3)CO2H  4.7
CH3CO2H  4.8
CH3CH2CO2H  4.8
(CH3)3CCO2H  5.0
CH3COCH2NO2  5.1
The structure has a cyclohexane ring. C 1 and C 3 are oxo groups.  5.3
O2NCH2CO2CH3  5.8
The structure has a cyclopentane ring. C 1 has an oxo group. C 2 is bonded to an aldehyde group.  5.8
The structure has a phenol ring. C 2, C 4, and C 6 are each bonded to a chlorine atom.  6.2
The structure has a benzene ring. C 1 is bonded to an S H group.  6.6
HCO3H  7.1
The structure has a benzene ring. C 1 is bonded to a hydroxyl group. C 2 is bonded to a nitro group.  7.2
(CH3)2CHNO2  7.7
The structure has a benzene ring. C 1 is bonded to a hydroxyl group. C 2 and C 4 are each bonded to a chlorine atom.  7.8
CH3CO3H  8.2
The structure has a benzene ring. C 1 is bonded to a hydroxyl group. C 2 is bonded to a chlorine atom.  8.5
CH3CH2NO2  8.5
The structure has a benzene ring. C 1 is bonded to a hydroxyl group. C 4 is bonded to a trifluoromethyl group.  8.7
CH3COCH2COCH3  9.0
The structure has a benzene ring. C 1 and C 3 are each bonded to a hydroxyl group.  9.3; 11.1
The structure has a benzene ring. C 1 and C 2 are each bonded to a hydroxyl group.  9.3; 12.6
The structure has a benzene ring. C 1 is bonded to a C H 2 S H group.  9.4
The structure has a benzene ring. C 1 and C 4 are each bonded to a hydroxyl group.  9.9; 11.5
The structure has a benzene ring. C 1 is bonded to a hydroxyl group.  9.9
CH3COCH2SOCH3  10.0
The structure has a benzene ring. C 1 is bonded to a hydroxyl group. C 2 is bonded to a methyl group.  10.3
CH3NO2  10.3
CH3SH  10.3
CH3COCH2CO2CH3  10.6
CH3COCHO  11.0
CH2(CN)2  11.2
CCl3CH2OH  12.2
Glucose  12.3
(CH3)2CNOH(CH3)2CNOH  12.4
CH2(CO2CH3)2  12.9
CHCl2CH2OH  12.9
CH2(OH)2  13.3
HOCH2CH(OH)CH2OH  14.1
CH2ClCH2OH  14.3
The structure has a cyclopentane ring. C 1 is double bonded to C 2. C 3 is double bonded to C 4.  15.0
The structure has a benzene ring. C 1 is bonded to a hydroxymethyl group.  15.4
CH3OH  15.5
H2CCHCH2OHH2CCHCH2OH  15.5
CH3CH2OH  16.0
CH3CH2CH2OH  16.1
CH3COCH2Br  16.1
The structure has a cyclohexane ring. C 1 is double bonded to an oxygen atom.  16.7
CH3CHO  17
(CH3)2CHCHO  17
(CH3)2CHOH  17.1
(CH3)3COH  18.0
CH3COCH3  19.3
The structure has a central cyclopentane ring fused to a benzene ring by C 1 and C 2, and to another benzene ring by C 3 and C 4.  23
CH3CO2CH2CH3  25
HCCHHCCH  25
CH3CN  25
CH3SO2CH3  28
(C6H5)3CH  32
(C6H5)2CH2  34
CH3SOCH3  35
NH3  36
CH3CH2NH2  36
(CH3CH2)2NH  40
The structure has a benzene ring. C 1 is bonded to a methyl group.  41
The structure of benzene: a six-membered ring with alternating single and double bonds.  43
H2CCH2H2CCH2  44
CH4  ∼60

An acidity list covering more than 5000 organic compounds has been published: E.P. Serjeant and B. Dempsey (eds.), “Ionization Constants of Organic Acids in Aqueous Solution,” IUPAC Chemical Data Series No. 23, Pergamon Press, Oxford, 1979.

Citation/Attribution

This book may not be used in the training of large language models or otherwise be ingested into large language models or generative AI offerings without OpenStax's permission.

Want to cite, share, or modify this book? This book uses the Creative Commons Attribution-NonCommercial-ShareAlike License and you must attribute OpenStax.

Attribution information
  • If you are redistributing all or part of this book in a print format, then you must include on every physical page the following attribution:

    Access for free at https://openstax.org/books/organic-chemistry/pages/1-why-this-chapter

  • If you are redistributing all or part of this book in a digital format, then you must include on every digital page view the following attribution:

    Access for free at https://openstax.org/books/organic-chemistry/pages/1-why-this-chapter

Citation information

© Jul 9, 2025 OpenStax. Textbook content produced by OpenStax is licensed under a Creative Commons Attribution-NonCommercial-ShareAlike License . The OpenStax name, OpenStax logo, OpenStax book covers, OpenStax CNX name, and OpenStax CNX logo are not subject to the Creative Commons license and may not be reproduced without the prior and express written consent of Rice University.