Skip to ContentGo to accessibility pageKeyboard shortcuts menu
OpenStax Logo
Organic Chemistry

Additional Problems

Organic ChemistryAdditional Problems
Search for key terms or text.

9 • Additional Problems

9 • Additional Problems

Visualizing Chemistry

Problem 9-14
Name the following alkynes, and predict the products of their reaction with (1) H2 in the presence of a Lindlar catalyst and (2) H3O+ in the presence of HgSO4:
(a)
A ball and stick model of a C8 alkyne. Carbon and hydrogen are denoted using gray and white spheres, respectively.
(b)
A ball and stick model of a C10 alkyne. Carbon and hydrogen are denoted using gray and white spheres, respectively.
Problem 9-15
From what alkyne might each of the following substances have been made? (Green = Cl.)
(a)
A ball and stick model of a C6 alkyne. Carbon, oxygen, and hydrogen are denoted using gray, red, and white spheres, respectively.
(b)
A ball and stick model of a substituted cyclohexanxe. Carbon and hydrogen are denoted using gray and white spheres, respectively. Two chlorine groups are denoted using green spheres.
Problem 9-16
How would you prepare the following substances, starting from any compounds having four carbons or fewer?
(a)
A ball and stick model of a cyclopropane that is further linked to a three-carbon chain. Carbon, hydrogen, and oxygen are denoted using gray, white, and red spheres, respectively.
(b)
A ball and stick model of a C6 chain with a double bond and carbonyl.  Carbon, hydrogen, and oxygen are denoted using gray, white, and red spheres, respectively.
Problem 9-17

The following cycloalkyne is too unstable to exist. Explain.

A ball and stick model of a five-membered chain with a triple bond. Carbon and hydrogen are denoted using gray and white spheres, respectively.

Mechanism Problems

Problem 9-18
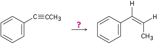
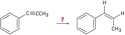
Assuming that halogens add to alkynes in the same manner as they add to alkenes, propose a mechanism for and predict the product(s) of the reaction of phenylpropyne with Cl2.
Problem 9-19
Assuming that strong acids add to alkynes in the same manner as they add to alkenes, propose a mechanism for each of the following reactions.
(a)
A C5 terminal alkyne reacts with two moles of hydrogen chloride to form 2,2-dichloropentane.
(b)
A C4 internal alkyne reacts with two moles of hydrogen bromide to form 2,2-dibromobutane.
(c)
A phenyl alkyne reacts with two moles of hydrogen chloride to form a benzene ring with a carbon connected to a  dichloroethyl group
Problem 9-20
The mercury-catalyzed hydration of alkynes involves the formation of an organomercury enol intermediate. Draw the electron-pushing mechanism to show how each of the following intermediates is formed.
(a)
A phenyl alkyne reacts with water, sulfuric acid, and mercuric sulfate to form a benzene ring connected to an ionic organomercury enol sulfate intermediate.
(b)
A C3 alkyne reacts with water, sulfuric acid, and mercuric sulfate to form a C3 ionic organomercury enol sulfate  intermediate.
(c)
A C4 terminal alkyne reacts with water, sulfuric acid, and mercuric sulfate to form a C4 ionic organomercury enol sulfate  intermediate.
Problem 9-21
The final step in the hydration of an alkyne under acidic conditions is the tautomerization of an enol intermediate to give the corresponding ketone. The mechanism involves a protonation followed by a deprotonation. Show the mechanism for each of the following tautomerizations.
(a)
A benzene ring connected to an OH-substituted alkene reacts with hydronium ions to form a benzene ring with a C O C H 3 group.
(b)
A C3 OH-substituted alkene reacts with hydronium ions  to form acetone.
(c)
A  C5  OH-substituted alkene reacts with hydronium ion to form a C5 methyl ketone.
Problem 9-22
Predict the product(s) and show the complete electron-pushing mechanism for each of the following dissolving metal reductions.
(a)
The figure shows a C5 terminal alkyne reacting with lithium and ammonia.
(b)
The figure shows a C5  terminal alkyne reacting with lithium and deuterated ammonia.
(c)
The figure shows a phenyl-substituted C3 internal alkyne reacting with lithium and deuterated ammonia.
Problem 9-23
Identify the mechanisms for the following reactions as polar, radical, or both.
(a)
A C6 internal alkyne reacts with lithium and ammonia to form a trans alkene.
(b)
A C6 internal alkyne reacts with bromine to form a trans dibromoalkene
(c)
A C6 internal alkyne reacts with two moles of hydrogen bromide to form a dibromo substituted alkane
Problem 9-24
Predict the product and provide the complete electron-pushing mechanism for the following two-step synthetic processes.
(a)
A benzene ring connected to a C2 alkyne reacts with sodium amide and methyl iodide.
(b)
A C5 keto substituted alkyne reacts with sodium amide and ethyl iodide.
(c)
A C4 terminal alkyne reacts with sodium amide and phenyl methyl bromide.
Problem 9-25

Reaction of acetone with D3O+ yields hexadeuterioacetone. That is, all the hydrogens in acetone are exchanged for deuterium. Review the mechanism of mercuric-ion-catalyzed alkyne hydration, and then propose a mechanism for this deuterium incorporation.

The figure shows the reaction of acetone with tri-deuterium oxide to form hexadeuterioacetone.

Naming Alkynes

Problem 9-26
Give IUPAC names for the following compounds:
(a)
A C8 internal alkyne with two methyl groups at C2 and a triple bond at C3.
(b)
A C8 dialkyne with triple bonds at C2 and C5 positions.
(c)
A C9 enyne with a  triple bond at C3, double bond at C5 , and two methyl groups at C2 and C5.
(d)
A C8 dialkyne with triple bonds at C1 , C5, and two methyl groups at C4.
(e)
A C6 dienyne with a triple bond at C2 and two double bonds at C3 and C5.
(f)
A C13 alkyne with a methyl group at C2,  a triple bond at C4, and two ethyl groups at C3 and C6.
Problem 9-27
Draw structures corresponding to the following names:
(a)
3,3-Dimethyl-4-octyne
(b)
3-Ethyl-5-methyl-1,6,8-decatriyne
(c)
2,2,5,5-Tetramethyl-3-hexyne
(d)
3,4-Dimethylcyclodecyne
(e)
3,5-Heptadien-1-yne
(f)
3-Chloro-4,4-dimethyl-1-nonen-6-yne
(g)
3-sec-Butyl-1-heptyne
(h)
5-tert-Butyl-2-methyl-3-octyne
Problem 9-28
The following two hydrocarbons have been isolated from various plants in the sunflower family. Name them according to IUPAC rules.
(a)
CH3CH = CHC CC CCH = CHCH = CHCH = CH2 (all trans)
(b)
CH3C CC CC CC CC CCH = CH2

Reactions of Alkynes

Problem 9-29

Terminal alkynes react with Br2 and water to yield bromo ketones. For example:

A phenyl alkyne reacts with bromine and water to form a phenyl bromo methyl ketone.

Propose a mechanism for the reaction. To what reaction of alkenes is the process analogous?

Problem 9-30

Predict the products of the following reactions:

A terminal enyne reacts with hydrogen and palladium catalyst to form an unknown product A. The reactant also reacts with hydrogen and Lindlar catalyst to form an unknown product B.
Problem 9-31
Predict the products from reaction of 1-hexyne with the following reagents:
(a)
1 equiv HBr
(b)
1 equiv Cl2
(c)
H2, Lindlar catalyst
(d)
NaNH2 in NH3, then CH3Br
(e)
H2O, H2SO4, HgSO4
(f)
2 equiv HCl
Problem 9-32
Predict the products from reaction of 5-decyne with the following reagents:
(a)
H2, Lindlar catalyst
(b)
Li in NH3
(c)
1 equiv Br2
(d)
BH3 in THF, then H2O2, OH
(e)
H2O, H2SO4, HgSO4
(f)
Excess H2, Pd/C catalyst
Problem 9-33
Predict the products from reaction of 2-hexyne with the following reagents:
(a)
2 equiv Br2
(b)
1 equiv HBr
(c)
Excess HBr
(d)
Li in NH3
(e)
H2O, H2SO4, HgSO4
Problem 9-34
Propose structures for hydrocarbons that give the following products on oxidative cleavage by KMnO4 or O3:
(a)
The figure shows carbon dioxide and heptanoic acid, the products of oxidative cleavage.
(b)
The figure shows acetic acid and benzoic acid, the products of oxidative cleavage.
(c)
C10 dicarboxylic acid with carboxylate groups at C1 and C10.
(d)
Acetal aldehyde, a C5  carboxylic acid with a C2 carbonyl, and carbon dioxide, the products of oxidative cleavage.
(e)
C7 carboxylic acid with carbonyl at C2, aldehyde at C7, and carbon dioxide, the products of oxidative cleavage.
Problem 9-35

Identify the reagents a–c in the following scheme:

A C5 terminal alkyne reacts with reagent  a to add an ethyl group at C1, forming a cis alkene via reagent b and a substituted cyclopropane ring  with reagent c.

Organic Synthesis

Problem 9-36

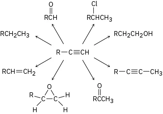
How would you carry out the following multistep conversions? More than one step may be needed in some instances.

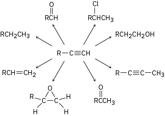
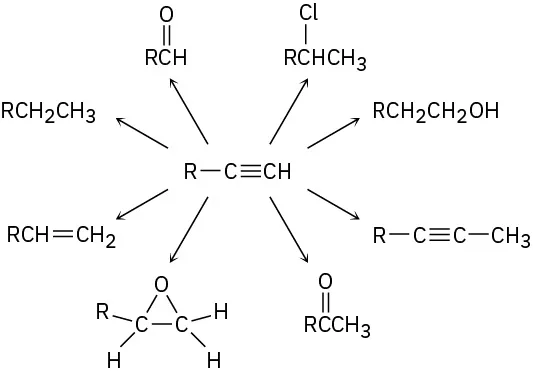
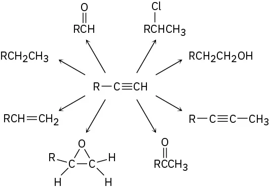
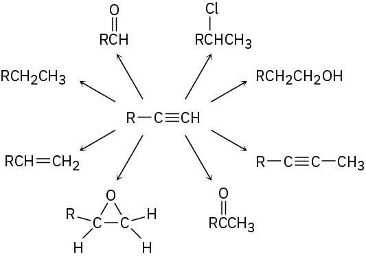
Figure shows eight reactions of a terminal alkyne. Each arrow points in different directions to give either an aldehyde, alkane, alkene, epoxide, ketone, alkyne, alcohol, or an alkyl halide.
Problem 9-37
How would you carry out the following reactions?
(a)
A C4 alkyne chain reacts in the presence of an unknown reagent represented as a question mark to form  methyl ethyl ketone.
(b)
A C4 alkyne chain reacts in the presence of an unknown reagent represented as a question mark to form butyraldehyde
(c)
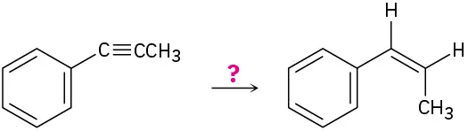
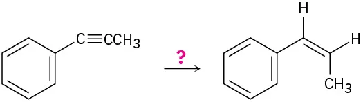
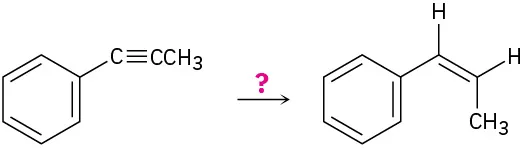
A phenyl alkyne reacts with an unknown reagent represented as a question mark forming a phenyl alkyne with a terminal methyl group.
(d)
A phenyl alkyne reacts with an unknown reagent represented as a question mark forming a cis-phenyl alkene with a terminal methyl group.
(e)
1-Butyne reacts in the presence of an unknown reagent represented as a question mark to form propionic acid
(f)
A C6 alkene reacts in the presence of an unknown reagent indicated as a question mark via two steps to form 1-hexyne.
Problem 9-38
Each of the following syntheses requires more than one step. How would you carry them out?
(a)
Figure shows pentyne reacting  in the presence of an unknown reagent indicated as a question mark to form butanal.
(b)
A C6 alkyne reacts in the presence of an unknown reagent indicated as a question mark to form an alkene.
Problem 9-39

How would you carry out the following multistep transformation?

1-Hexyne reacts in the presence of an unknown reagent indicated by a question mark to form a C8 compound having a cyclopropane ring.
Problem 9-40

How would you carry out the following multistep conversions?

Styrene reacts in the presence of an unknown reagent indicated by a question mark to form 2-phenyl acetaldehyde. Styrene reacts in the presence of an unknown reagent indicated by a question mark to form prop-1-en-1ylbenzene.
Problem 9-41
Synthesize the following compounds using 1-butyne as the only source of carbon, along with any inorganic reagents you need. More than one step may be needed.
(a)
1,1,2,2-Tetrachlorobutane
(b)
1,1-Dichloro-2-ethylcyclopropane
Problem 9-42
How would you synthesize the following compounds from acetylene and any alkyl halides with four or fewer carbons? More than one step may be needed.
(a)
The structure of 1-pentyne.
(b)
The structure of hex-3-yne.
(c)
The structure of 4-methylpent-1-ene.
(d)
The figure shows an C8 carbon chain with a carbonyl group at C4.
(e)
The figure shows a C6 carbon chain with an aldehyde group.
Problem 9-43
How would you carry out the following reactions to introduce deuterium into organic molecules?
(a)
A C6 alkyne reacts in the presence of an unknown reagent denoted as a question mark to form a cis-deuterated alkene.
(b)
A C6 alkyne reacts in the presence of an unknown reagent denoted as a question mark to form a trans-deuterated alkene.
(c)
Pentyne reacts with an unknown reagent denoted as a question mark to form a deuterium-substituted alkyne.
(d)
Ethynylbenzene reacts with an unknown reagent indicated as a question mark to form a deuterium-substituted alkene.
Problem 9-44
How would you prepare cyclodecyne starting from acetylene and any required alkyl halide?
Problem 9-45

The sex attractant given off by the common housefly is an alkene named muscalure. Propose a synthesis of muscalure starting from acetylene and any alkyl halides needed. What is the IUPAC name for muscalure?

The structure of muscalure.

General Problems

Problem 9-46
A hydrocarbon of unknown structure has the formula C8H10. On catalytic hydrogenation over the Lindlar catalyst, 1 equivalent of H2 is absorbed. On hydrogenation over a palladium catalyst, 3 equivalents of H2 are absorbed.
(a)
How many degrees of unsaturation are present in the unknown structure?
(b)
How many triple bonds are present?
(c)
How many double bonds are present?
(d)
How many rings are present?
(e)
Draw a structure that fits the data.
Problem 9-47
Compound A (C9H12) absorbed 3 equivalents of H2 on catalytic reduction over a palladium catalyst to give B (C9H18). On ozonolysis, compound A gave, among other things, a ketone that was identified as cyclohexanone. On treatment with NaNH2 in NH3, followed by addition of iodomethane, compound A gave a new hydrocarbon, C (C10H14). What are the structures of A, B, and C?
Problem 9-48
Hydrocarbon A has the formula C12H8. It absorbs 8 equivalents of H2 on catalytic reduction over a palladium catalyst. On ozonolysis, only two products are formed: oxalic acid (HO2CCO2H) and succinic acid (HO2CCH2CH2CO2H). Write the reactions, and propose a structure for A.
Problem 9-49
Occasionally, a chemist might need to invert the stereochemistry of an alkene—that is, to convert a cis alkene to a trans alkene, or vice versa. There is no one-step method for doing an alkene inversion, but the transformation can be carried out by combining several reactions in the proper sequence. How would you carry out the following reactions?
(a)
trans-5-Decene reacting in the presence of an unknown reagent indicated as a question mark to form cis-5-decene.
(b)
cis-5-Decene reacting in the presence of an unknown reagent indicated as a question mark to form trans-5-decene.
Problem 9-50

Organometallic reagents such as sodium acetylide undergo an addition reaction with ketones, giving alcohols:

Acetone reacts in the presence of sodium acetylide and hydronium ion to form an alcohol.

How might you use this reaction to prepare 2-methyl-1,3-butadiene, the starting material used in the manufacture of synthetic rubber?

Problem 9-51

The oral contraceptive agent Mestranol is synthesized using a carbonyl addition reaction like that shown in Problem 9-50. Draw the structure of the ketone needed.

The structure of mestranol.
Problem 9-52

1-Octen-3-ol, a potent mosquito attractant commonly used in mosquito traps, can be prepared in two steps from hexanal, CH3CH2CH2CH2CH2CHO. The first step is an acetylide-addition reaction like that described in Problem 9-50. What is the structure of the product from the first step, and how can it be converted into 1-octen-3-ol?

The structure of 1-octen-3-ol.
Problem 9-53
Erythrogenic acid, C18H26O2, is an acetylenic fatty acid that turns a vivid red on exposure to light. On catalytic hydrogenation over a palladium catalyst, 5 equivalents of H2 are absorbed, and stearic acid, CH3(CH2)16CO2H, is produced. Ozonolysis of erythrogenic acid gives four products: formaldehyde, CH2O; oxalic acid, HO2CCO2H; azelaic acid, HO2C(CH2)7CO2H; and the aldehyde acid OHC(CH2)4CO2H. Draw two possible structures for erythrogenic acid, and suggest a way to tell them apart by carrying out some simple reactions.
Problem 9-54

Hydrocarbon A has the formula C9H12 and absorbs 3 equivalents of H2 to yield B, C9H18, when hydrogenated over a Pd/C catalyst. On treatment of A with aqueous H2SO4 in the presence of mercury(II), two isomeric ketones, C and D, are produced. Oxidation of A with KMnO4 gives a mixture of acetic acid (CH3CO2H) and the tricarboxylic acid E. Propose structures for compounds AD, and write the reactions.

The structure of a C7 tricarboxylic acid labeled E.
Problem 9-55

A cumulene is a compound with three adjacent double bonds. Draw an orbital picture of a cumulene. What kind of hybridization do the two central carbon atoms have? What is the geometric relationship of the substituents on one end to the substituents on the other end? What kind of isomerism is possible? Make a model to help see the answer.

The structure of a cumulene.
Problem 9-56

Which of the following bases could be used to deprotonate 1-butyne?

(a)The structure of potassium hydroxide.(b)The structure of the sodium salt of the methylene anion connected to a sulfonyl group that is further connected to a methyl group.(c)The structure of butyllithium.(d)The structure of the sodium salt of the methylene anion  of acetone.

Problem 9-57
Arrange the following carbocations in order of increasing stability.
(a)
The structure of three cyclopentene carbocations with positive charges at C 4, C 1, and C 3.
(b)
The structure of three 1-pentene carbocations, with positive charges at C 3, C 2, and C 4.
(c)
The structure of three 4-methylcyclohexene carbocations with positive charges at C 1, C 4, and C 5.
Citation/Attribution

This book may not be used in the training of large language models or otherwise be ingested into large language models or generative AI offerings without OpenStax's permission.

Want to cite, share, or modify this book? This book uses the Creative Commons Attribution-NonCommercial-ShareAlike License and you must attribute OpenStax.

Attribution information
  • If you are redistributing all or part of this book in a print format, then you must include on every physical page the following attribution:

    Access for free at https://openstax.org/books/organic-chemistry/pages/1-why-this-chapter

  • If you are redistributing all or part of this book in a digital format, then you must include on every digital page view the following attribution:

    Access for free at https://openstax.org/books/organic-chemistry/pages/1-why-this-chapter

Citation information

© Jul 9, 2025 OpenStax. Textbook content produced by OpenStax is licensed under a Creative Commons Attribution-NonCommercial-ShareAlike License . The OpenStax name, OpenStax logo, OpenStax book covers, OpenStax CNX name, and OpenStax CNX logo are not subject to the Creative Commons license and may not be reproduced without the prior and express written consent of Rice University.