Skip to ContentGo to accessibility pageKeyboard shortcuts menu
OpenStax Logo
Organic Chemistry

Additional Problems

Organic ChemistryAdditional Problems
Search for key terms or text.

6 • Additional Problems

6 • Additional Problems

Visualizing Chemistry

Problem 6-14

The following alkyl halide can be prepared by addition of HBr to two different alkenes. Draw the structures of both (reddish-brown = Br).

The ball-and-stick model has a 5-carbon chain. C2 is bonded to a bromine atom. The gray, white, and reddish-brown spheres represent carbon, hydrogen, and bromine, respectively.
Problem 6-15

The following structure represents the carbocation intermediate formed in the addition reaction of HBr to two different alkenes. Draw the structures of both.

The ball-and-stick model has a cyclohexane ring in its chair conformation. C1 is bonded to a methyl group.
Problem 6-16
Electrostatic potential maps of (a) formaldehyde (CH2O) and (b) methanethiol (CH3SH) are shown. Is the formaldehyde carbon atom likely to be electrophilic or nucleophilic? What about the methanethiol sulfur atom? Explain.
(a)
The electrostatic potential map of formaldehyde. The gray, white, and red spheres at the center represent carbon, hydrogen, and oxygen atoms, respectively.
(b)
The electrostatic potential map of methanethiol shows a ball-and-stick model in the center, in which gray, white, and yellow spheres represent carbon, hydrogen, and sulfur atoms, respectively.
Problem 6-17

Look at the following energy diagram:

An energy diagram shows a curve forming two crests and one trough. The second crest is higher than the first, and the endpoint is higher than the start.
(a)
Is ΔG° for the reaction positive or negative? Label it on the diagram.
(b)
How many steps are involved in the reaction?
(c)
How many transition states are there? Label them on the diagram.
Problem 6-18

Look at the following energy diagram for an enzyme-catalyzed reaction:

An energy diagram shows a curve forming four crests of varying height. The endpoint is lower than the start.
(a)
How many steps are involved?
(b)
Which step is most exergonic?
(c)
Which step is slowest?

Energy Diagrams and Reaction Mechanisms

Problem 6-19
What is the difference between a transition state and an intermediate?
Problem 6-20
Draw an energy diagram for a one-step reaction with Keq < 1. Label the parts of the diagram corresponding to reactants, products, transition state, ΔG°, and ΔG. Is ΔG° positive or negative?
Problem 6-21
Draw an energy diagram for a two-step reaction with Keq > 1. Label the overall ΔG°, transition states, and intermediate. Is ΔG° positive or negative?
Problem 6-22
Draw an energy diagram for a two-step exergonic reaction whose second step is faster than its first step.
Problem 6-23
Draw an energy diagram for a reaction with Keq = 1. What is the value of ΔG° in this reaction?
Problem 6-24

The addition of water to ethylene to yield ethanol has the following thermodynamic parameters:

A reversible reaction shows ethene reacting favorably with water to form ethanol. Delta H naught and delta S naught are negative, and K E Q is 24.
(a)
Is the reaction exothermic or endothermic?
(b)
Is the reaction favorable (spontaneous) or unfavorable (nonspontaneous) at room temperature (298 K)?
Problem 6-25

When isopropylidenecyclohexane is treated with strong acid at room temperature, isomerization occurs by the mechanism shown below to yield 1-isopropylcyclohexene:

A 2-step reversible reaction shows isopropylidenecyclohexane in the presence of acid catalyst forming 1-isopropylcyclohexene via a carbocation intermediate.

At equilibrium, the product mixture contains about 30% isopropylidenecyclohexane and about 70% 1-isopropylcyclohexene.

(a)
What is an approximate value of Keq for the reaction?
(b)
Since the reaction occurs slowly at room temperature, what is its approximate ΔG?
(c)
Draw an energy diagram for the reaction.
Problem 6-26
Add curved arrows to the mechanism shown in Problem 6-25 to indicate the electron movement in each step.
Problem 6-27
Draw the complete mechanism for each of the following polar reactions.
(a)
2-methylbut-1-ene reacts with hydrogen chloride to form 2-chloro-2-methylbutane.
(b)
Styrene reacts with hydrogen bromide to form 1-bromoethylbenzene.
(c)
2-methylbut-2-ene reacts with hydrogen chloride to form 2-chloro-2-methylbutane.
Problem 6-28
Use curved arrows to show the flow of electrons, and draw the carbon radical that is formed when the halogen radicals below add to the corresponding alkenes.
(a)
A chlorine radical reacts with but-2-ene to form unknown product(s).
(b)
A bromine radical reacts with cyclohexene to form unknown product(s).
(c)
Chlorine radical reacts with a five-membered ring made of four carbon and one oxygen, with a double bond at C2 to form unknown product(s).

Polar Reactions

Problem 6-29
Identify the functional groups in the following molecules, and show the polarity of each:
(a)
A chemical structure of propionitrile.
(b)
A chemical structure of methoxycyclopentane.
(c)
A methyl ester with a four-carbon alkyl chain. There is a ketone group at C3.
(d)
The structure has a cyclohexadiene ring with double bonds at C2 and C5, and carbonyls at C1 and C4.
(e)
A chemical structure of 2E-but-2-enamide.
(f)
A chemical structure of benzaldehyde.
Problem 6-30
Identify the following reactions as additions, eliminations, substitutions, or rearrangements:
(a)
Ethyl bromide reacts with sodium cyanide to form ethyl cyanide and sodium bromide.
(b)
A chemical structure of methamphetamine, N-methyl-1-phenylpropan-2-amine.
(c)
Cyclopentadiene reacts with a but-3-en-2-one in the presence of heat to form a ketone with a methyl group and a bridged cyclic group.
(d)
Cyclohexane reacts with nitro group bonded to another nitro group in the presence of light to form nitrocyclohexane  and nitrous acid.
Problem 6-31
Identify the likely electrophilic and nucleophilic sites in each of the following molecules:
(a)
The wedge-dash structure of testosterone.
(b)
The wedge-dash structure of methamphetamine.
Problem 6-32
Identify the electrophile and the nucleophile.
(a)
The figure shows azide anion reacts with chloromethane to form C H 3 N 3 and chloride.
(b)
Benzene reacts with nitronium cation to form nitrocyclohexa-2,4-diene with a cation on C 6.
(c)
Cyclohexanone reacts with methanide anion to form 1-methylcyclohexanoxide.
Problem 6-33
Add curved arrows to the following polar reactions to indicate the flow of electrons in each:
(a)
A 2-step reversible reaction shows benzene reacting with deuterium chloride via a carbocation intermediate to form benzene with D at C1 and hydrogen chloride.
(b)
A 2-step reaction shows propylene oxide reacting with hydrogen chloride via a protonated oxirane intermediate. The product is 3-chloroisopropanol.
Problem 6-34
Follow the flow of electrons indicated by the curved arrows in each of the following polar reactions, and predict the products that result:
(a)
2-methoxypropan-2-ol undergoes a reversible reaction with hydroxide to produce unknown product(s), depicted by a question mark. Arrows indicate hydroxide abstracts alcohol hydrogen, and methoxide leaves.
(b)
Acetone undergoes a reversible reaction with hydroxide to produce unknown product(s), depicted by a question mark. Arrows indicate hydroxide abstracts alpha hydrogen, pushing electrons toward carbonyl oxygen.
(c)
Protonated acetone undergoes a reversible reaction with water to produce unknown product(s), depicted by a question mark. Arrows indicate water attacks carbonyl, pushing electrons toward carbonyl oxygen.
(d)
1-bromo-1,2-dimethylcyclohexane undergoes a reversible reaction with methoxide to produce unknown product(s), depicted by a question mark. Arrows indicate methoxide abstracts C2 hydrogen, bromine leaves.

Radical Reactions

Problem 6-35
Radical chlorination of pentane is a poor way to prepare 1-chloropentane, but radical chlorination of neopentane, (CH3)4C, is a good way to prepare neopentyl chloride, (CH3)3CCH2Cl. Explain.
Problem 6-36

Despite the limitations of radical chlorination of alkanes, the reaction is still useful for synthesizing certain halogenated compounds. For which of the following compounds does radical chlorination give a single monochloro product?

(a)The condensed structural formula reads, C H 3 C H 3.(b)The condensed structural formula reads, C H 3 C H 2 C H 3.(c)A chemical structure of cyclohexane.(d)A chemical structure of 2,2-dimethylbutane.(e)A condensed structure of 2-butyne.
(f)A chemical structure of hexamethylbenzene.

Problem 6-37
Draw the different monochlorinated constitutional isomers you would obtain by the radical chlorination of the following compounds.
(a)
A chemical structure of n-butane.
(b)
A chemical structure of isopentane.
(c)
A chemical structure of methylcyclopentane.
Problem 6-38
Answer question 6-37 taking all stereoisomers into account.
Problem 6-39
Show the structure of the carbocation that would result when each of the following alkenes reacts with an acid, H+.
(a)
A chemical structure of trans-2-butene.
(b)
A chemical structure of cyclopentene.
(c)
A chemical structure of 2,3-dimethylbut-2-ene.

General Problems

Problem 6-40

2-Chloro-2-methylpropane reacts with water in three steps to yield 2-methyl-2-propanol. The first step is slower than the second, which in turn is much slower than the third. The reaction takes place slowly at room temperature, and the equilibrium constant is approximately 1.

A three-step reversible reaction shows the formation of 2-methyl-2-propanol, hydronium ion, and chloride ion from 2-chloro-2-methylpropane via a carbocation intermediate.
(a)
Give approximate values for ΔG and ΔG° that are consistent with the above information.
(b)
Draw an energy diagram for the reaction, labeling all points of interest and placing relative energy levels on the diagram consistent with the information given.
Problem 6-41
Add curved arrows to the mechanism shown in Problem 6-40 to indicate the electron movement in each step.
Problem 6-42

The reaction of hydroxide ion with chloromethane to yield methanol and chloride ion is an example of a general reaction type called a nucleophilic substitution reaction:

HO + CH3Cl ⇄ CH3OH + Cl

The value of ΔH° for the reaction is −75 kJ/mol, and the value of ΔS° is +54 J/(K·mol). What is the value of ΔG° (in kJ/mol) at 298 K? Is the reaction exothermic or endothermic? Is it exergonic or endergonic?

Problem 6-43

Methoxide ion (CH3O) reacts with bromoethane in a single step according to the following equation:

A methoxide ion reacts with ethyl bromide to form ethene, methanol, and a bromide ion.

Identify the bonds broken and formed, and draw curved arrows to represent the flow of electrons during the reaction.

Problem 6-44

Ammonia reacts with acetyl chloride (CH3COCl) to give acetamide (CH3CONH2). Identify the bonds broken and formed in each step of the reaction, and draw curved arrows to represent the flow of electrons in each step.

A 3-step reaction of acetyl chloride with ammonia. Step 1: ammonia addition to carbonyl; step 2: chlorine is eliminated; step 3: acetamide product is deprotonated by ammonia, ammonium chloride formed.
Problem 6-45

The naturally occurring molecule α-terpineol is biosynthesized by a route that includes the following step:

A carbocation forms isomeric carbocation, which further reacts with water to form alpha-terpineol.
(a)
Propose a likely structure for the isomeric carbocation intermediate.
(b)
Show the mechanism of each step in the biosynthetic pathway, using curved arrows to indicate electron flow.
Problem 6-46
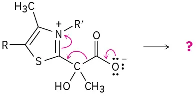
Predict the product(s) of each of the following biological reactions by interpreting the flow of electrons as indicated by the curved arrows:
(a)
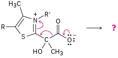
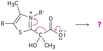
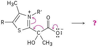
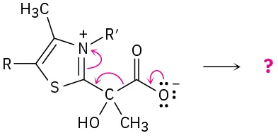
An incomplete reaction shows a substituted thiazole ring forming unknown product(s), depicted by a question mark. Three arrows depict the movement of electrons.
(b)
Five-carbon chain with carboxylate at C1, methyl and phosphate at C3, and pyrophosphate at C5 reacts forms unknown product(s). Arrows show electron flow from carboxylate toward phosphate (leaving group).
(c)
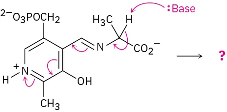
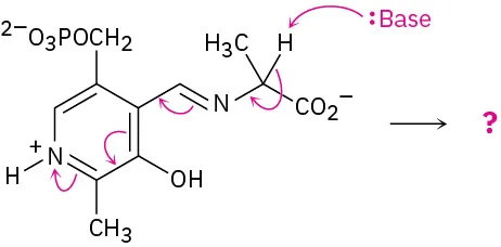
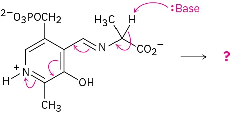
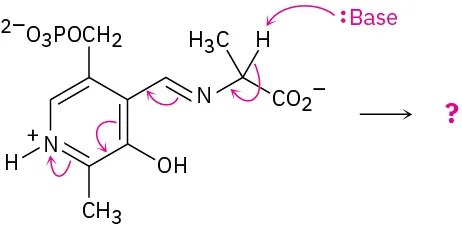
An incomplete reaction shows substituted pyridine reacting with a base to form unknown product(s), depicted by a question mark. Arrows show the movement of electrons.
Problem 6-47
Reaction of 2-methylpropene with HBr might, in principle, lead to a mixture of two alkyl bromide addition products. Name them, and draw their structures.
Problem 6-48
Draw the structures of the two carbocation intermediates that might form during the reaction of 2-methylpropene with HBr (Problem 6-47). We’ll see in the next chapter that the stability of carbocations depends on the number of alkyl substituents attached to the positively charged carbon—the more alkyl substituents there are, the more stable the cation. Which of the two carbocation intermediates you drew is more stable?
Citation/Attribution

This book may not be used in the training of large language models or otherwise be ingested into large language models or generative AI offerings without OpenStax's permission.

Want to cite, share, or modify this book? This book uses the Creative Commons Attribution-NonCommercial-ShareAlike License and you must attribute OpenStax.

Attribution information
  • If you are redistributing all or part of this book in a print format, then you must include on every physical page the following attribution:

    Access for free at https://openstax.org/books/organic-chemistry/pages/1-why-this-chapter

  • If you are redistributing all or part of this book in a digital format, then you must include on every digital page view the following attribution:

    Access for free at https://openstax.org/books/organic-chemistry/pages/1-why-this-chapter

Citation information

© Jul 9, 2025 OpenStax. Textbook content produced by OpenStax is licensed under a Creative Commons Attribution-NonCommercial-ShareAlike License . The OpenStax name, OpenStax logo, OpenStax book covers, OpenStax CNX name, and OpenStax CNX logo are not subject to the Creative Commons license and may not be reproduced without the prior and express written consent of Rice University.