Skip to ContentGo to accessibility pageKeyboard shortcuts menu
OpenStax Logo
Organic Chemistry

Additional Problems

Organic ChemistryAdditional Problems
Search for key terms or text.

28 • Additional Problems

28 • Additional Problems

Visualizing Chemistry

Problem 28-13
Identify the following bases, and tell whether each is found in DNA, RNA, or both:
(a)
The ball-and-stick model of Guanine. It is a purine base with two rings and one oxygen atom is attached to the five-membered ring.
(b)
The ball-and-stick model of Uracil. It is a pyrimidine base with one ring to which two oxygen atoms are attached.
(c)
The ball-and-stick model of Cytosine. It is a pyrimidine base with one ring to which one oxygen atom is attached.
Problem 28-14

Identify the following nucleotide, and tell how it is used:

The ball-and-stick model of deoxythymidine monophosphate, a nucleotide. It consists of a phosphate group, pentose sugar deoxyribose and nucleobase thymine.
Problem 28-15

Amine bases in nucleic acids can react with alkylating agents in typical SN2 reactions. Look at the following electrostatic potential maps, and tell which is the better nucleophile, guanine or adenine. The reactive positions in each are indicated.

The ball-and-stick model along with electrostatic potential maps of 9-methylguanine and 9-methyladenine. The reactive positions of 9-methylguanine and 9-methyladenine are N 7 and N 3, respectively.

Mechanism Problems

Problem 28-16

The final step in DNA synthesis is deprotection by treatment with aqueous ammonia. Show the mechanisms by which deprotection occurs at the points indicated in the following structure:

Deprotection mechanism in two linked deoxynucleosides occurs at points 1 and 2 where cleavages occur. N H C O and O C O bonds are labeled 1 and 2, respectively.
Problem 28-17

The final step in the metabolic degradation of uracil is the oxidation of malonic semialdehyde to give malonyl CoA. Propose a mechanism.

The oxidation reaction of malonic semialdehyde gives malonyl-coenzyme A. Co A S H is involved and N A D plus gets converted to N A D H and H plus.
Problem 28-18

One of the steps in the biosynthesis of a nucleotide called inosine monophosphate is the formation of aminoimidazole ribonucleotide from formylglycinamidine ribonucleotide. Propose a mechanism.

The formation of aminoimidazole ribonucleotide from formylglycinamide ribonucleotide. In the process, adenosine triphosphate is converted to adenosine diphosphate.
Problem 28-19

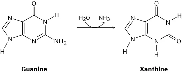
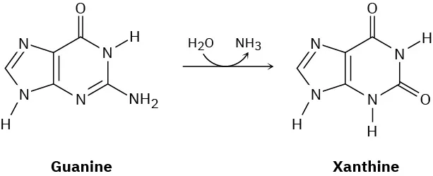
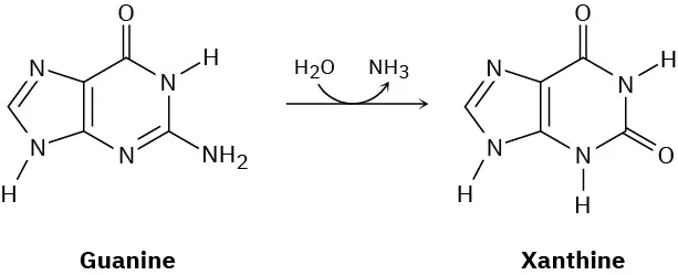
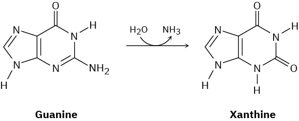
One of the steps in the metabolic degradation of guanine is hydrolysis to give xanthine. Propose a mechanism.

The hydrolysis reaction of guanine involves the formation of xanthine. In the process, ammonia is released.
Problem 28-20

One of the steps in the biosynthesis of uridine monophosphate is the reaction of aspartate with carbamoyl phosphate to give carbamoyl aspartate followed by cyclization to form dihydroorotate. Propose mechanisms for both steps.

The reaction of aspartate with carbamoyl phosphate gives carbamoyl aspartate with the removal of phosphate. It further undergoes cyclization to form dihydroorotate with the removal of a water molecule.

General Problems

Problem 28-21
Human brain natriuretic peptide (BNP) is a small peptide of 32 amino acids used in the treatment of congestive heart failure. How many nitrogen bases are present in the DNA that codes for BNP?
Problem 28-22
Human and horse insulin both have two polypeptide chains, with one chain containing 21 amino acids and the other containing 30 amino acids. They differ in primary structure at two places. At position 9 in one chain, human insulin has Ser and horse insulin has Gly; at position 30 in the other chain, human insulin has Thr and horse insulin has Ala. How must the DNA for the two insulins differ?
Problem 28-23
The DNA of sea urchins contains about 32% A. What percentages of the other three bases would you expect in sea urchin DNA? Explain.
Problem 28-24

The codon UAA stops protein synthesis. Why does the sequence UAA in the following stretch of mRNA not cause any problems?

-GCA-UUC-GAG-GUA-ACG-CCC-

Problem 28-25
Which of the following base sequences would most likely be recognized by a restriction endonuclease? Explain.
(a)
GAATTC
(b)
GATTACA
(c)
CTCGAG
Problem 28-26
For what amino acids do the following ribonucleotide triplets code?
(a)
AAU
(b)
GAG
(c)
UCC
(d)
CAU
Problem 28-27
From what DNA sequences were each of the mRNA codons in Problem 28-26 transcribed?
Problem 28-28
What anticodon sequences of tRNAs are coded for by the codons in Problem 28-26?
Problem 28-29
Draw the complete structure of the ribonucleotide codon UAC. For what amino acid does this sequence code?
Problem 28-30
Draw the complete structure of the deoxyribonucleotide sequence from which the mRNA codon in Problem 28-29 was transcribed.
Problem 28-31

Give an mRNA sequence that will code for the synthesis of metenkephalin.

Tyr-Gly-Gly-Phe-Met

Problem 28-32

Give an mRNA sequence that will code for the synthesis of angiotensin II.

Asp-Arg-Val-Tyr-Ile-His-Pro-Phe

Problem 28-33

What amino acid sequence is coded for by the following DNA coding strand (sense strand)?

(5′) CTT-CGA-CCA-GAC-AGC-TTT (3′)

Problem 28-34

What amino acid sequence is coded for by the following mRNA base sequence?

(5′) CUA-GAC-CGU-UCC-AAG-UGA (3′)

Problem 28-35
If the DNA coding sequence -CAA-CCG-GAT- were miscopied during replication and became -CGA-CCG-GAT-, what effect would there be on the sequence of the protein produced?
Problem 28-36
Show the steps involved in a laboratory synthesis of the DNA fragment with the sequence CTAG.
Problem 28-37
Draw the structure of cyclic adenosine monophosphate (cAMP), a messenger involved in the regulation of glucose production in the body. Cyclic AMP has a phosphate ring connecting the 3′- and 5′-hydroxyl groups on adenosine.
Problem 28-38

Valganciclovir, marketed as Valcyte, is an antiviral agent used for the treatment of cytomegalovirus. Called a prodrug, valganciclovir is inactive by itself but is rapidly converted in the intestine by hydrolysis of its ester bond to produce an active drug, called ganciclovir, along with an amino acid.

The structure of Valganciclovir.
(a)
What amino acid is produced by hydrolysis of the ester bond in valganciclovir?
(b)
What is the structure of ganciclovir?
(c)
What atoms present in the nucleotide deoxyguanine are missing from ganciclovir?
(d)
What role do the atoms missing from deoxyguanine play in DNA replication?
(e)
How might valganciclovir interfere with DNA synthesis?
Citation/Attribution

This book may not be used in the training of large language models or otherwise be ingested into large language models or generative AI offerings without OpenStax's permission.

Want to cite, share, or modify this book? This book uses the Creative Commons Attribution-NonCommercial-ShareAlike License and you must attribute OpenStax.

Attribution information
  • If you are redistributing all or part of this book in a print format, then you must include on every physical page the following attribution:

    Access for free at https://openstax.org/books/organic-chemistry/pages/1-why-this-chapter

  • If you are redistributing all or part of this book in a digital format, then you must include on every digital page view the following attribution:

    Access for free at https://openstax.org/books/organic-chemistry/pages/1-why-this-chapter

Citation information

© Jul 9, 2025 OpenStax. Textbook content produced by OpenStax is licensed under a Creative Commons Attribution-NonCommercial-ShareAlike License . The OpenStax name, OpenStax logo, OpenStax book covers, OpenStax CNX name, and OpenStax CNX logo are not subject to the Creative Commons license and may not be reproduced without the prior and express written consent of Rice University.