Skip to ContentGo to accessibility pageKeyboard shortcuts menu
OpenStax Logo
Organic Chemistry

Summary of Reactions

Organic ChemistrySummary of Reactions
Search for key terms or text.

26 • Summary of Reactions

26 • Summary of Reactions

  1. Amino acid synthesis (Section 26.3)
    1. From α-bromo acids
      A carboxylic acid reacts with bromine, phosphorus tribromide, and water to form a bromo-substituted acid that reacts with ammonia to form an amino acid.
    2. Diethyl acetamidomalonate synthesis
      Three-step reaction to form an R-substituted alpha amino acid via diethylacetamidomalonate reaction with sodium ethoxide, an alkyl halide (R X), and hydronium ion decarboxylation.
    3. Reductive amination of an α-keto acid
      An alpha-keto acid undergoes reductive amination in the presence of ammonia and sodium borohydride to form an alpha-amino acid.
    4. Enantioselective synthesis
      A (Z) enamido acid reacts with hydrogen, rhodium catalyst and boron tetrafluoride ion, sodium hydroxide, and water to form an (S)-amino acid.
  2. Peptide sequencing by Edman degradation (Section 26.6)
    An illustration shows a reaction wherein two reactants form two products. The first reactant shows a phenyl group bonded to nitrogen double bonded to carbon at the top which is double bonded to a green sulfur at the top. The second reactant shows a carbon bonded to another carbon at the top; the carbon at bottom is bonded to a blue amino group on the left wedge bonded to a hydrogen and dash bonded to R at the bottom right. The top carbon is double bonded to pink oxygen and single bonded to blue nitrogen monohydride bonded to an encircled peptide. The first product shows a cyclopentane with a nitrogen and blue nitrogen monohydride; the ring is double bonded to a pink oxygen and green sulfur; the nitrogen is bonded to a phenyl group; the bottom right position is wedge bonded to hydrogen and dash bonded to R. The second product shows a blue amino group bonded to an encircled peptide.
  3. Peptide synthesis (Section 26.7)
    1. Amine protection
      A zwitterionic amino acid reacts with  di-tert-butyl pyrocarbonate  in the presence of triethylamine to form a B o c-protected amino acid anion.
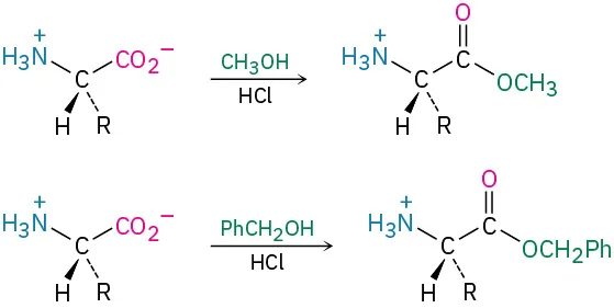
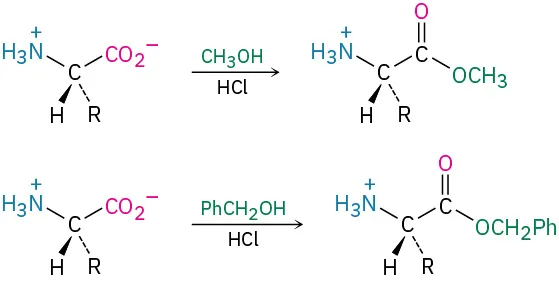
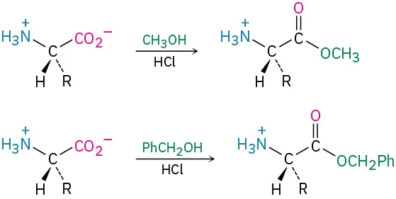
    2. Carboxyl protection
      An amino acid reacts with methanol and hydrochloric acid to form a methyl ester. The same reactant reacts with benzyl alcoholand hydrochloric acid to form a benzyl ester.
Citation/Attribution

This book may not be used in the training of large language models or otherwise be ingested into large language models or generative AI offerings without OpenStax's permission.

Want to cite, share, or modify this book? This book uses the Creative Commons Attribution-NonCommercial-ShareAlike License and you must attribute OpenStax.

Attribution information
  • If you are redistributing all or part of this book in a print format, then you must include on every physical page the following attribution:

    Access for free at https://openstax.org/books/organic-chemistry/pages/1-why-this-chapter

  • If you are redistributing all or part of this book in a digital format, then you must include on every digital page view the following attribution:

    Access for free at https://openstax.org/books/organic-chemistry/pages/1-why-this-chapter

Citation information

© Jul 9, 2025 OpenStax. Textbook content produced by OpenStax is licensed under a Creative Commons Attribution-NonCommercial-ShareAlike License . The OpenStax name, OpenStax logo, OpenStax book covers, OpenStax CNX name, and OpenStax CNX logo are not subject to the Creative Commons license and may not be reproduced without the prior and express written consent of Rice University.