Skip to ContentGo to accessibility pageKeyboard shortcuts menu
OpenStax Logo
Organic Chemistry

Additional Problems

Organic ChemistryAdditional Problems
Search for key terms or text.

26 • Additional Problems

26 • Additional Problems

Visualizing Chemistry

Problem 26-19
Identify the following amino acids:
(a)
A ball-and-stick model of a five-carbon amino acid,  with a carboxylate anion , an amine at  C 1, and a methyl group at C 2.
(b)
A ball-and-stick model of a substituted imidazole  connected to a three-carbon chain carboxylic acid containing an amine group at C 1
(c)
A ball-and-stick model of a five-carbon chain with an amide group at C 1, an amine and a  carboxylic acid anion at C 3.
Problem 26-20

Give the sequence of the following tetrapeptide (yellow = S):

A ball-and-stick model of a tripeptide. Black, gray, blue, red, and yellow spheres indicate carbon, hydrogen, nitrogen, oxygen, and sulfur atoms, respectively.
Problem 26-21

Isoleucine and threonine are the only two amino acids with two chirality centers. Assign R or S configuration to the methyl-bearing carbon atom of isoleucine.

A ball-and-stick model of isoleucine, a five-carbon chain with a carboxylate anion at  C 1, amine at C 2, and a methyl group at C 3 position.
Problem 26-22

Is the following structure a D amino acid or an L amino acid? Identify it.

A ball-and-stick model of a four-carbon amino acid with a carboxylate anion at C 1, an amine at  C 1, and a methyl group at  C 3.
Problem 26-23

Give the sequence of the following tetrapeptide:

A ball-and-stick model of a tetrapeptide. Black, gray, blue, and red spheres indicate carbon, hydrogen, nitrogen, and oxygen, respectively.

Mechanism Problems

Problem 26-24
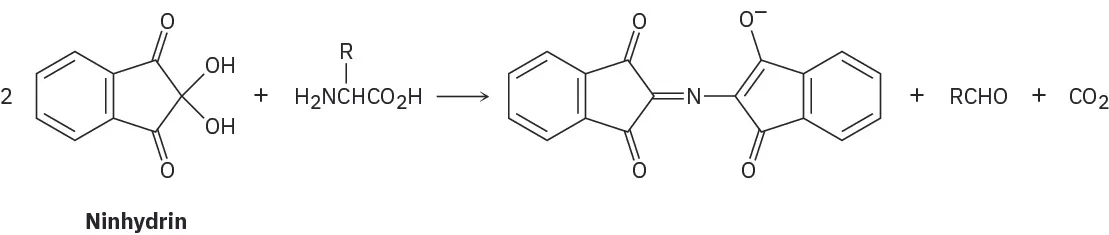
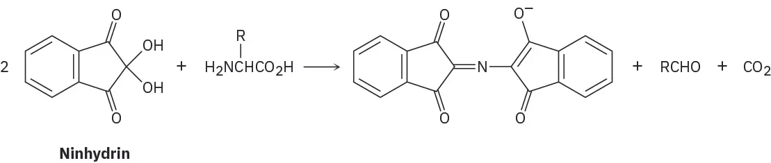
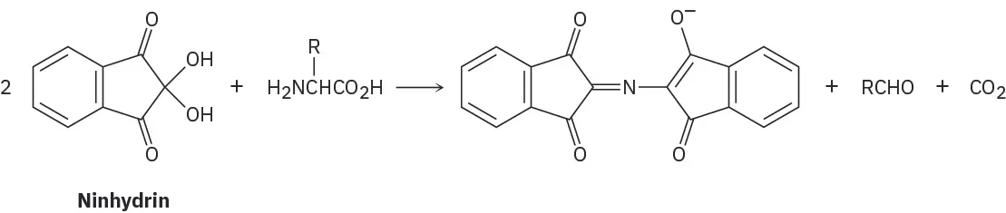
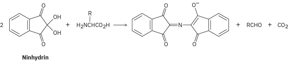
The reaction of ninhydrin with an α-amino acid occurs in several steps.
(a)
The first step is formation of an imine by reaction of the amino acid with ninhydrin. Show its structure and the mechanism of its formation.
(b)
The second step is a decarboxylation. Show the structure of the product and the mechanism of the decarboxylation reaction.
(c)
The third step is hydrolysis of an imine to yield an amine and an aldehyde. Show the structures of both products and the mechanism of the hydrolysis reaction.
(d)

The final step is formation of the purple anion. Show the mechanism of the reaction.

Two molecules of ninhydrin react with an amino acid to form a large compound with multiple ring structures. The other byproducts are aldehyde and carbon dioxide.
Problem 26-25

The chloromethylated polystyrene resin originally used for Merrifield solid-phase peptide synthesis was prepared by treatment of polystyrene with chloromethyl methyl ether and a Lewis acid catalyst. Propose a mechanism for the reaction.

A polystyrene resin reacts with chloro(methoxy)methane and tin (IV) chloride to form  a polystyrene linked benzyl chloride resin for use in Merrifield solid-phase peptide synthesis.
Problem 26-26

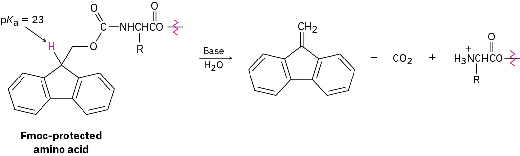
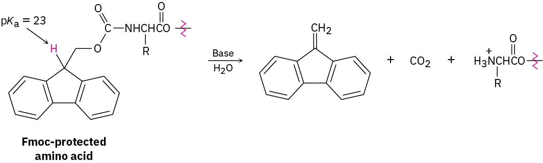
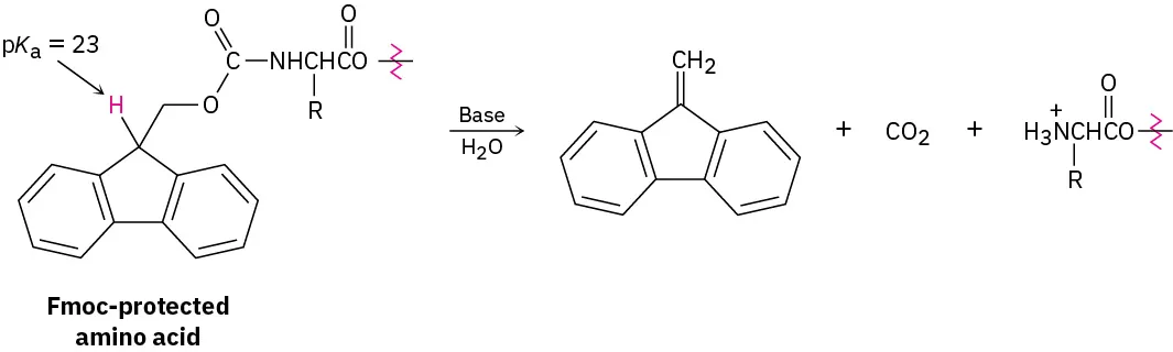
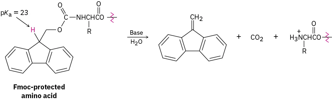
An Fmoc protecting group can be removed from an amino acid by treatment with the amine base piperidine. Propose a mechanism.

An F m o c-protected amino acid reacts with a base to form the free amino acid, carbon dioxide, and the dibenzofulvene (DBF) intermediate.
Problem 26-27

Proteins can be cleaved specifically at the amide bond on the carboxyl side of methionine residues by reaction with cyanogen bromide, BrC≡N.

The reaction occurs in several steps:

(a)

The first step is a nucleophilic substitution reaction of the sulfur on the methionine side chain with BrCN to give a cyanosulfonium ion, [R2SCN]+. Show the structure of the product, and propose a mechanism for the reaction.

(b)

The second step is an internal SN2 reaction, with the carbonyl oxygen of the methionine residue displacing the positively charged sulfur leaving group and forming a five-membered ring product. Show the structure of the product and the mechanism of its formation.

(c)

The third step is a hydrolysis reaction to split the peptide chain. The carboxyl group of the former methionine residue is now part of a lactone (cyclic ester) ring. Show the structure of the lactone product and the mechanism of its formation.

(d)

The final step is a hydrolysis of the lactone to give the product shown. Show the mechanism of the reaction.

Problem 26-28

A clever recent method of peptide synthesis involves formation of an amide bond by reaction of an α-keto acid with an N-alkylhydroxylamine:

An alpha-keto acid reacts with hydroxylamine in the presence of N, N-dimethylformamide to form an amide, with carbon dioxide and water as the products.

The reaction is thought to occur by nucleophilic addition of the N-alkylhydroxylamine to the keto acid as if forming an oxime (Section 19.8), followed by decarboxylation and elimination of water. Show the mechanism.

Amino Acid Structures and Chirality

Problem 26-29
Except for cysteine, only S amino acids occur in proteins. Several R amino acids are also found in nature, however. (R)-Serine is found in earthworms, and (R)-alanine is found in insect larvae. Draw Fischer projections of (R)-serine and (R)-alanine. Are these D or L amino acids?
Problem 26-30
Cysteine is the only amino acid that has L stereochemistry but an R configuration. Make up a structure for another L amino acid of your own creation that also has an R configuration.
Problem 26-31
Draw a Fischer projection of (S)-proline.
Problem 26-32
Show the structures of the following amino acids in their zwitterionic forms:
(a)
Trp
(b)
Ile
(c)
Cys
(d)
His
Problem 26-33
Proline has pKa1 = 1.99 and pKa2 = 10.60. Use the Henderson–Hasselbalch equation to calculate the ratio of protonated and neutral forms at pH = 2.50. Calculate the ratio of neutral and deprotonated forms at pH = 9.70.
Problem 26-34
Using both three- and one-letter codes for amino acids, write the structures of all possible peptides that contain the following amino acids:
(a)
Val, Ser, Leu
(b)
Ser, Leu2, Pro
Problem 26-35
Look at the side chains of the 20 amino acids in Table 26.1, and then think about what is not present. None of the 20 contain either an aldehyde or a ketone carbonyl group, for instance. Is this just one of nature’s oversights, or is there a likely chemical reason? What complications might an aldehyde or ketone carbonyl group cause?

Amino Acid Synthesis and Reactions

Problem 26-36
Show how you could use the acetamidomalonate method to prepare the following amino acids:
(a)
Leucine
(b)
Tryptophan
Problem 26-37
Show how you could prepare the following amino acids using a reductive amination:
(a)
Methionine
(b)
Isoleucine
Problem 26-38
Show how you could prepare the following amino acids enantioselectively:
(a)
Pro
(b)
Val
Problem 26-39
Serine can be synthesized by a simple variation of the amidomalonate method using formaldehyde rather than an alkyl halide. How might this be done?
Problem 26-40
Predict the product of the reaction of valine with the following reagents:
(a)
CH3CH2OH, acid
(b)
Di-tert-butyl dicarbonate
(c)
KOH, H2O
(d)
CH3COCl, pyridine; then H2O
Problem 26-41
Draw resonance forms for the purple anion obtained by reaction of ninhydrin with an α-amino acid (see Problem 26-24).

Peptides and Enzymes

Problem 26-42
Write full structures for the following peptides:
(a)
C-H-E-M
(b)
P-E-P-T-I-D-E
Problem 26-43
Propose two structures for a tripeptide that gives Leu, Ala, and Phe on hydrolysis but does not react with phenyl isothiocyanate.
Problem 26-44
Show the steps involved in a synthesis of Phe-Ala-Val using the Merrifield procedure.
Problem 26-45
Draw the structure of the PTH derivative product you would obtain by Edman degradation of the following peptides:
(a)
I-L-P-F
(b)
D-T-S-G-A
Problem 26-46

Which amide bonds in the following polypeptide are cleaved by trypsin? By chymotrypsin?

Phe-Leu-Met-Lys-Tyr-Asp-Gly-Gly-Arg-Val-Ile-Pro-Tyr

Problem 26-47
What kinds of reactions do the following classes of enzymes catalyze?
(a)
Hydrolases
(b)
Lyases
(c)
Transferases
Problem 26-48
Which of the following amino acids are more likely to be found on the exterior of a globular protein, and which on the interior? Explain.
(a)
Valine
(b)
Aspartic acid
(c)
Phenylalanine
(d)
Lysine
Problem 26-49

Leuprolide is a synthetic nonapeptide used to treat both endometriosis in women and prostate cancer in men.

The wedge-dash structure of leuprolide.
(a)
Both C-terminal and N-terminal amino acids in leuprolide have been structurally modified. Identify the modifications.
(b)
One of the nine amino acids in leuprolide has D stereochemistry rather than the usual L. Which one?
(c)
Write the structure of leuprolide using both one- and three-letter abbreviations.
(d)
What charge would you expect leuprolide to have at neutral pH?

General Problems

Problem 26-50
The α-helical parts of myoglobin and other proteins stop whenever a proline residue is encountered in the chain. Why is proline never present in a protein α helix?
Problem 26-51

Arginine, the most basic of the 20 common amino acids, contains a guanidino functional group in its side chain. Explain, using resonance structures to show how the protonated guanidino group is stabilized.

The structure of L- arginine in which the guanidino group is labeled. It comprises wedged bonded  C1 amine cation and carboxylate ion.
Problem 26-52
Cytochrome c is an enzyme found in the cells of all aerobic organisms. Elemental analysis of cytochrome c shows that it contains 0.43% iron. What is the minimum molecular weight of this enzyme?
Problem 26-53

Evidence for restricted rotation around amide O C N bonds comes from NMR studies. At room temperature, the 1H NMR spectrum of N,N-dimethylformamide shows three peaks: 2.9 δ (singlet, 3 H), 3.0 δ (singlet, 3 H), and 8.0 δ (singlet, 1 H). As the temperature is raised, however, the two singlets at 2.9 δ and 3.0 δ slowly merge. At 180 °C, the 1H NMR spectrum shows only two peaks: 2.95 δ (singlet, 6 H) and 8.0 δ (singlet, 1 H). Explain this temperature-dependent behavior.

The structure of N,N-dimethylformamide, an aldehyde group linked to a nitrogen atom to two methyl groups.
Problem 26-54

Propose a structure for an octapeptide that shows the composition Asp, Gly2, Leu, Phe, Pro2, Val on amino acid analysis. Edman analysis shows a glycine N-terminal group, and leucine is the C-terminal group. Acidic hydrolysis gives the following fragments:

Val-Pro-Leu, Gly, Gly-Asp-Phe-Pro, Phe-Pro-Val

Problem 26-55

Look at the structure of human insulin, and indicate where in each chain the molecule is cleaved by trypsin and chymotrypsin.

The structure of insulin is made up of A and B chains, shown in terms of the three-letter amino acid abbreviations in sequence. Cysteine disulfide bonds are also shown.

Problem 26-56

What is the structure of a nonapeptide that gives the following fragments when cleaved?

Trypsin cleavage: Val-Val-Pro-Tyr-Leu-Arg, Ser-Ile-Arg

Chymotrypsin cleavage: Leu-Arg, Ser-Ile-Arg-Val-Val-Pro-Tyr

Problem 26-57

Oxytocin, a nonapeptide hormone secreted by the pituitary gland, functions by stimulating uterine contraction and lactation during childbirth. Its sequence was determined from the following evidence:

1. Oxytocin is a cyclic compound containing a disulfide bridge between two cysteine residues.

2. When the disulfide bridge is reduced, oxytocin has the constitution Asn, Cys2, Gln, Gly, Ile, Leu, Pro, Tyr.

3. Partial hydrolysis of reduced oxytocin yields seven fragments: Asp-Cys, Ile-Glu, Cys-Tyr, Leu-Gly, Tyr-Ile-Glu, Glu-Asp-Cys, and Cys-Pro-Leu.

4. Gly is the C-terminal group.

5. Both Glu and Asp are present as their side-chain amides (Gln and Asn) rather than as free side-chain acids.

What is the amino acid sequence of reduced oxytocin? What is the structure of oxytocin itself?

Problem 26-58
Aspartame, a nonnutritive sweetener marketed under such trade names as Equal, NutraSweet, and Canderel, is the methyl ester of a simple dipeptide, Asp-Phe-OCH3.
(a)
Draw the structure of aspartame.
(b)
The isoelectric point of aspartame is 5.9. Draw the principal structure present in aqueous solution at this pH.
(c)
Draw the principal form of aspartame present at physiological pH = 7.3.
Problem 26-59
Refer to Figure 26.5 and propose a mechanism for the final step in Edman degradation—the acid-catalyzed rearrangement of the ATZ derivative to the PTH derivative.
Problem 26-60
Amino acids are metabolized by a transamination reaction in which the −NH2 group of the amino acid changes places with the keto group of an α-keto acid. The products are a new amino acid and a new α-keto acid. Show the product from transamination of isoleucine.
Problem 26-61

The first step in the biological degradation of histidine is formation of a 4-methylidene-5-imidazolone (MIO) by cyclization of a segment of the peptide chain in the histidine ammonia lyase enzyme. Propose a mechanism.

A segment of the peptide chain in the histidine ammonia lyase enzyme undergoes cyclization to form 4-methylidene-5-imidazolone (M I O).
Problem 26-62

The first step in the biological degradation of lysine is reductive amination with α-ketoglutarate to give saccharopine. Nicotinamide adenine dinucleotide phosphate (NADPH), a relative of NADH, is the reducing agent. Show the mechanism.

L-Lysine reacts with alpha-ketoglutarate and nicotinamide adenine dinucleotide phosphate hydrogen to form saccharopine and nicotinamide adenine dinucleotide phosphate cation.
Citation/Attribution

This book may not be used in the training of large language models or otherwise be ingested into large language models or generative AI offerings without OpenStax's permission.

Want to cite, share, or modify this book? This book uses the Creative Commons Attribution-NonCommercial-ShareAlike License and you must attribute OpenStax.

Attribution information
  • If you are redistributing all or part of this book in a print format, then you must include on every physical page the following attribution:

    Access for free at https://openstax.org/books/organic-chemistry/pages/1-why-this-chapter

  • If you are redistributing all or part of this book in a digital format, then you must include on every digital page view the following attribution:

    Access for free at https://openstax.org/books/organic-chemistry/pages/1-why-this-chapter

Citation information

© Jul 9, 2025 OpenStax. Textbook content produced by OpenStax is licensed under a Creative Commons Attribution-NonCommercial-ShareAlike License . The OpenStax name, OpenStax logo, OpenStax book covers, OpenStax CNX name, and OpenStax CNX logo are not subject to the Creative Commons license and may not be reproduced without the prior and express written consent of Rice University.