Skip to ContentGo to accessibility pageKeyboard shortcuts menu
OpenStax Logo
Organic Chemistry

Additional Problems

Organic ChemistryAdditional Problems
Search for key terms or text.

23 • Additional Problems

23 • Additional Problems

Visualizing Chemistry

Problem 23-23
What ketones or aldehydes might the following enones have been prepared from by aldol reaction?
(a)
The ball-and-stick model of a seven-carbon chain with keto on the third, methyl on the fourth, and ethyl on the fifth carbon. The fourth and fifth carbon is double-bonded.
(b)
A ball-and-stick model of a six-carbon chain with aldehyde on C 1, C 2 has C H linked to two methyl, C 4 has C H linked to methyl group.
Problem 23-24

The following structure represents an intermediate formed by addition of an ester enolate ion to a second ester molecule. Identify the reactant, the leaving group, and the product.

Ball-and-stick model of alkoxide ion methyl-3-methoxy-2, 4-diphenylbutanoate where third carbon is connected to oxygen. Grey, white, and red spheres denote C, H, and O, respectively.
Problem 23-25

The following molecule was formed by an intramolecular aldol reaction. What dicarbonyl precursor was used for its preparation?

The ball-and-stick model shows a cyclopentenone with ethyl bonded to second carbon. The second and third carbon is double-bonded. Grey, white, and red spheres show C, H, and O, respectively.
Problem 23-26

The following molecule was formed by a Robinson annulation reaction. What reactants were used?

A ball-and-stick model of cyclopentene with carbonyl, methyl and cyano group.

Mechanism Problems

Problem 23-27
Predict the addition product for each of the following reactions and write the mechanism.
(a)
Cyclobutanone reacts with sodium hydroxide and ethanol to form an unknown product.
(b)
A six-carbon chain with oxo groups on C 2 and C 5 reacts with sodium hydroxide and ethanol to form an unknown product.
Problem 23-28
Based on your answers to Problem 23-27, predict the dehydration product for both reactions and write the mechanism.
Problem 23-29
Predict the product(s) and provide the mechanisms for the following reactions.
(a)
A seven-carbon chain with ethyl esters on terminal carbons and methyl on C 4 reacts with sodium ethoxide, then hydronium to form an unknown product.
(b)
Benzene with C H 2 C O O C H 3 reacts with sodium methoxide, then hydronium ion to form an unknown product.
Problem 23-30
Predict the product(s) and provide the mechanisms for the following reactions.
(a)
(E)-pent-3-en-2-one reacts with ethyl 2-cyanoacetate in the presence of sodium ethoxide, then hydronium ion to form an unknown product.
(b)
Ethyl acrylate reacts with ethyl 3-oxobutanoate in the presence of sodium ethoxide, then hydronium ion to form an unknown product.
Problem 23-31
Predict the product(s) and provide the mechanisms for the following reactions.
(a)
Trans-but-2-enal reacts with (Z)-N,N-dimethylbut-2-en-2-amine in the presence of tetrahydrofuran, then hydronium ion to form an unknown product.
(b)
Methyl acrylate reacts with cyclohexene linked by C 1 to a nitrogen incorporated in a five-membered ring in the presence of tetrahydrofuran, then hydronium ion to form an unknown product.
Problem 23-32

Knoevenagel condensation is a reaction involving an active methylene compound (a CH2 flanked by two electron-withdrawing groups) and an aldehyde and ketone. Propose a mechanism for the reaction below.

The Knoevenagel condensation of diethyl malonate and benzaldehyde with sodium ethoxide forms a conjugated enone. The product shows benzene ring with methine double-bonded to the methylene group of diethyl malonate.
Problem 23-33

Azlactones are important starting materials used in the synthesis of dehydro α-aminoacids. They react with aldehydes to form an intermediate that is hydrolyzed under acidic conditions to give the final amino acid product. Provide the structure of the intermediate and propose a mechanism for its formation.

The reaction shows azlactone with benzaldehyde in the presence of sodium acetate, yielding an unidentified intermediate. Subsequent reaction with hydronium ion and heat produces dehydro-alpha-amino acid.
Problem 23-34

Leucine, one of the twenty amino acids found in proteins, is metabolized by a pathway that includes the following step. Propose a mechanism.

The reaction shows the metabolism of 3-hydroxy-3-methyl-glutaryl coenzyme A to acetyl coenzyme A and acetoacetate. The acetoacetate structure has a negative charge.
Problem 23-35

Isoleucine, another of the twenty amino acids found in proteins, is metabolized by a pathway that includes the following step. Propose a mechanism.

The reaction shows the metabolism of isoleucine (2-methyl-3-keto-butyryl coenzyme A) to acetyl coenzyme A and propionyl coenzyme A.
Problem 23-36

The first step in the citric acid cycle of food metabolism is reaction of oxaloacetate with acetyl CoA to give citrate. Propose a mechanism, using acid or base catalysis as needed.

The reaction shows oxaloacetate with acetyl coenzyme A (first step in citric acid cycle) in multiple steps to form citrate. Oxaloacetate has a 3-carbon chain with two terminal carboxylate groups.
Problem 23-37

The amino acid leucine is biosynthesized from α-ketoisovalerate by the following sequence of steps. Show the mechanism of each.

The reaction shows alpha-ketoisovalerate transforming into leucine through intermediaries 1-isopropylmalate, 2-isopropylmalate, and alpha-ketoisocaproate, leading to leucine.
Problem 23-38

The Knoevenagel reaction was introduced in Problem 23-2. Show the mechanism for the Knoevenagel reaction of diethyl malonate with benzaldehyde.

The reaction shows benzaldehyde with diethyl malonate in the presence of sodium ethoxide and ethanol, yielding an intermediate. In the presence of hydronium ions, the intermediate transforms into cinnamic acid.
Problem 23-39

The Darzens reaction involves a two-step, base-catalyzed condensation of ethyl chloroacetate with a ketone to yield an epoxy ester. The first step is a carbonyl condensation reaction, and the second step is an SN2 reaction. Write both steps, and show their mechanisms.

The reaction shows cyclohexanone and ethyl chloroacetate using sodium ethoxide and ethanol, forming an epoxy ester product. The epoxy ring is attached to the first carbon of the cyclohexane ring.
Problem 23-40

The following reaction involves a hydrolysis followed by an intramolecular nucleophilic acyl substitution reaction. Write both steps, and show their mechanisms.

The reaction shows acid hydrolysis of 2-(2, 2, 4-trimethyl-1,3-dioxan-4-yl)acetic acid giving products in which the sixth carbon of a 3-hydroxy-3-methyl cyclohexanone ring is replaced by oxygen and a propan-2-one.
Problem 23-41

The following reaction involves an intramolecular Michael reaction followed by an intramolecular aldol reaction. Write both steps, and show their mechanisms.

A cyclopentenone ring with a 5-ethyl-6-methylhept-6-en-2-one side chain reacts with sodium hydroxide and ethanol to yield a product in which a cyclohexanone ring is fused with two cyclopentane rings.
Problem 23-42

The following reaction involves a conjugate addition reaction followed by an intramolecular Claisen condensation. Write both steps, and show their mechanisms.

The reaction shows a conjugate addition of dimethyl-5, 5-dimethylhex-2-ynedioate with dimethylcopper lithium forming a product, methyl-2, 4, 4-trimethyl-5-oxocyclopent-1-enecarboxylate.
Problem 23-43

The following reaction involves an intramolecular aldol reaction followed by a retro aldol-like reaction. Write both steps, and show their mechanisms.

The intramolecular aldol reaction shows ethyl-2-oxo-1-(4-oxopentyl)cyclopentanecarboxylate with sodium ethoxide in ethanol, forming a cyclic nine-carbon chain compound with attached substituents.
Problem 23-44

Propose a mechanism for the following base-catalyzed isomerization:

The reaction shows isomerization of a multiple-ring fused compound with sodium ethoxide in ethanol, giving a product in which a cyclohexanone ring is fused between a cyclopentane and cyclobutane ring.
Problem 23-45

The Mannich reaction of a ketone, an amine, and an aldehyde is one of the few three-component reactions in organic chemistry. Cyclohexanone, for example, reacts with dimethylamine and acetaldehyde to yield an amino ketone. The reaction takes place in two steps, both of which are typical carbonyl-group reactions.

The reaction shows cyclohexanone with dimethylamine and acetaldehyde using hydrogen ions as a catalyst, giving aminoketone product (2-(1-(diethylamino)ethyl) cyclohexanone.
(a)
The first step is reaction between the aldehyde and the amine to yield an intermediate iminium ion (R2C NR2+) plus water. Propose a mechanism, and show the structure of the intermediate iminium ion.
(b)
The second step is reaction between the iminium ion intermediate and the ketone to yield the final product. Propose a mechanism.
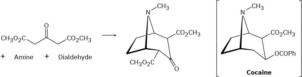
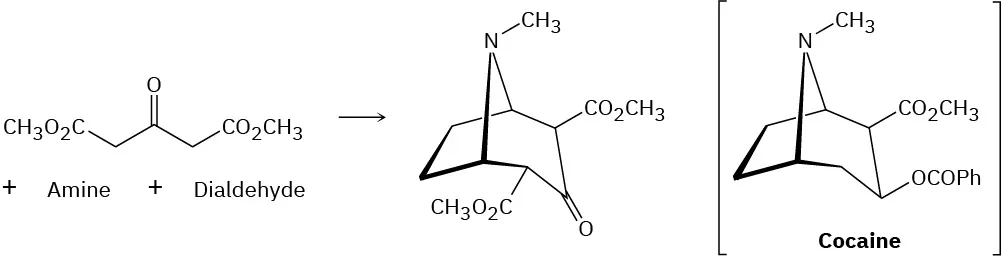
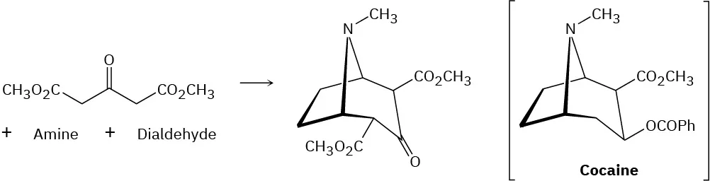
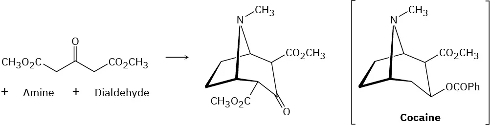
Problem 23-46

Cocaine has been prepared by a sequence beginning with a Mannich reaction (Problem 23-45) between dimethyl acetonedicarboxylate, an amine, and a dialdehyde. Show the structures of the amine and dialdehyde.

The reaction shows dimethyl acetonedicarboxylate with an amine and dialdehyde, forming a cyclic seven-membered carbonyl compound with a bridged N-methyl group. The structure of cocaine is shown in parenthesis.
Problem 23-47

Propose a mechanism to account for the following reaction of an enamine with an alkyl halide:

The reaction shows an enamine reacting with an alkyl halide with oxo and ethyl ether substituenets, producing a product. The structures of enamine and product comprise multiple fused rings.

Aldol Reactions

Problem 23-48

Which of the following compounds would you expect to undergo aldol self-condensation? Show the product of each successful reaction.

(a) Trimethylacetaldehyde (b) Cyclobutanone (c) Benzophenone (diphenyl ketone)
(d) 3-Pentanone (e) Decanal (f) 3-Phenyl-2-propenal

Problem 23-49
How might you synthesize each of the following compounds using an aldol reaction? Show the structure of the starting aldehyde(s) or ketone(s) you would use in each case.
(a)
A three carbon chain with an oxo and phenyl on C 1, trans double bond on C 2, and phenyl on C 3.
(b)
The structure of a cyclohexyl isopropyl ether in which the cyclohexane ring has a double bond from C 1 to C 2.
(c)
The structure of a benzene fused to C 4 and C 5 of 1-formyl-1-cyclopentene.
(d)
The structure of cyclopentadienone with phenyl groups on second, third, fourth, and fifth carbons.
Problem 23-50
What product would you expect to obtain from aldol cyclization of hexanedial, OHCCH2CH2CH2CH2CHO?
Problem 23-51
Intramolecular aldol cyclization of 2,5-heptanedione with aqueous NaOH yields a mixture of two enone products in the approximate ratio 9 : 1. Write their structures, and show how each is formed.
Problem 23-52
The major product formed by intramolecular aldol cyclization of 2,5-heptanedione (Problem 23-51) has two singlet absorptions in the 1H NMR spectrum, at 1.65 δ and 1.90 δ, and has no absorptions in the range 3 to 10 δ. What is its structure?
Problem 23-53
Treatment of the minor product formed in the intramolecular aldol cyclization of 2,5-heptanedione (Problems 23-51 and 23-52) with aqueous NaOH converts it into the major product. Propose a mechanism to account for this base-catalyzed isomerization.
Problem 23-54
How can you account for the fact that 2,2,6-trimethylcyclohexanone yields no detectable aldol product even though it has an acidic α hydrogen?
Problem 23-55
The aldol reaction is catalyzed by acid as well as base. What is the reactive nucleophile in the acid-catalyzed aldol reaction? Propose a mechanism.
Problem 23-56

Cinnamaldehyde, the aromatic constituent of cinnamon oil, can be synthesized by a mixed aldol condensation. Show the starting materials you would use, and write the reaction.

The structure of cinnamaldehyde, or trans-3-phenyl-2-propanal.
Problem 23-57

The following bicyclic ketone does not undergo aldol self-condensation even though it has two α hydrogen atoms. Explain.

The structure of bicyclo[2.2.1]heptane with a  carbonyl group on C 7.

Claisen Condensations

Problem 23-58
Give the structures of the possible Claisen condensation products from the following reactions. Tell which, if any, you would expect to predominate in each case.
(a)
CH3CO2Et + CH3CH2CO2Et
(b)
C6H5CO2Et + C6H5CH2CO2Et
(c)
EtOCO2Et + cyclohexanone
(d)
C6H5CHO + CH3CO2Et
Problem 23-59
In the mixed Claisen reaction of cyclopentanone with ethyl formate, a much higher yield of the desired product is obtained by first mixing the two carbonyl components and then adding base, rather than by first mixing base with cyclopentanone and then adding ethyl formate. Explain.
Problem 23-60

Ethyl dimethylacetoacetate reacts instantly at room temperature when treated with ethoxide ion to yield two products, ethyl acetate and ethyl 2-methylpropanoate. Propose a mechanism for this cleavage reaction.

The reaction of ethyl dimethylacetoacetate with sodium ethoxide and ethanol at twenty-five degrees Celsius results in the formation of ethyl acetate and ethyl 2-methylpropanoate.
Problem 23-61

In contrast to the rapid reaction shown in Problem 23-60, ethyl acetoacetate requires a temperature over 150 °C to undergo the same kind of cleavage reaction. How can you explain the difference in reactivity?

The reaction of ethyl acetoacetate with sodium ethoxide and ethanol at one hundred fifty degrees Celsius, resulted in the production of two molecules of ethyl acetate.

Michael and Enamine Reactions

Problem 23-62
How might the following compounds be prepared using Michael reactions? Show the nucleophilic donor and the electrophilic acceptor in each case.
(a)
A diketone (six-carbon chain) with benzene ring attached to sixth and C O O E t is attached to the third carbon. The second and fifth carbon atoms are carbonyls.
(b)
The structure shows a seven-carbon chain with a carbonyl group on the second and sixth carbon.
(c)
The structure shows diethyl-2-(2-cyanoethyl)malonate where a cyanoethyl group is attached to the second carbon of malonate.
(d)
The structure shows a five-carbon chain carrying a nitro group on the fourth carbon. The first carbon is a carbonyl attached to an ethoxy group.
(e)
The structure shows diethyl-2-(2-nitroethyl)malonate, where a nitroethyl group is attached to the second carbon of malonate.
(f)
The structure shows a cyclohexanone with C H 2 N O 2 on the third carbon.
Problem 23-63

The so-called Wieland–Miescher ketone is a valuable starting material used in the synthesis of steroid hormones. How might you prepare it from 1,3-cyclohexanedione?

A structure with cyclohex-2-enone fused by C 3 to C 3 of cyclohexanone, and by C 4 to C 2 of cyclohexanone. C 2 of cyclohexanone also has methyl substituent.
Problem 23-64

The Stork enamine reaction and the intramolecular aldol reaction can be carried out in sequence to allow the synthesis of cyclohexenones. For example, reaction of the pyrrolidine enamine of cyclohexanone with 3-buten-2-one, followed by enamine hydrolysis and base treatment, yields the product indicated. Write each step, and show the mechanism of each.

Three-step reaction of 1-cyclohexenylpyrrolidine to produce a bicyclo[4.4.0]decane with C 1 double bond, C 3 oxo. Reaction are 3-buten-2-one, then hydronium, then sodium hydroxide and water.
Problem 23-65
How could you prepare the following cyclohexenones by combining a Stork enamine reaction with an intramolecular aldol condensation? (See Problem 23-64.)
(a)
Structure of a bicyclo[4.4.0]decane with double bond C 1 to C 2, oxo on C 3, methyl on C 2.
(b)
Structure of a bicyclo[4.4.0]decane with double bond C 1 to C 2, oxo on C 3, methyl on C 10.
(c)
The structure shows a cyclohexeneone fused to cyclohexane further bonded to benzene.
Problem 23-66

The following reaction involves two successive intramolecular Michael reactions. Write both steps, and show their mechanisms.

The reaction shows two intramolecular Michael addition of a cyclopentenone derivative with sodium ethoxide and ethanol to form a product that comprises cyclohexanone ring fused with cyclopentane and cyclopentanone ring.

General Problems

Problem 23-67
What condensation products would you expect to obtain by treatment of the following substances with sodium ethoxide in ethanol?
(a)
Ethyl butanoate
(b)
Cycloheptanone
(c)
3,7-Nonanedione
(d)
3-Phenylpropanal
Problem 23-68
The following reactions are unlikely to provide the indicated product in high yield. What is wrong with each?
(a)
Acetaldehyde reacts with acetone in the presence of sodium ethoxide and ethanol to form a five-carbon chain with keto on the second and hydroxyl on the fourth carbon.
(b)
3-methylcyclohexan-1-one to product by reaction with but-3-en-2-one. The product has cyclohexanone with methyl at third and C H 2 C H 2 C O C H 3 at second carbon.
(c)
The reaction shows heptane-2, 6-dione with sodium ethoxide in ethanol, forming a product that attaches cyclobutene to methyl at second and C O C H 3 on the first carbon.
Problem 23-69

Fill in the missing reagents a–h in the following scheme:

Cyclohexanone reacts with a series of reagents a, b, c, d, e, f, g and h to form cyclopentanone with methyl on C 2.
Problem 23-70
How would you prepare the following compounds from cyclohexanone?
(a)
Cyclohexanone with double bond linked to C H C 6 H 5 on C 2 and C 6.
(b)
Cyclohexanone with C H 2 C H 2 C N on C 2.
(c)
Cyclohexanone with C H 2 C H double bonded C H 2 at C 2.
(d)
Cyclohexanone with carbonyl linked to C O O E t on C 2.
Problem 23-71

The compound known as Hagemann’s ester is prepared by treatment of a mixture of formaldehyde and ethyl acetoacetate with base, followed by acid-catalyzed decarboxylation.

Ethyl acetoacetate reacts with formaldehyde in the presence of sodium ethoxide and ethanol, then hydronium ion to yield Hagemann’s ester, carbon dioxide, and ethanol.
(a)
The first step is an aldol-like condensation between ethyl acetoacetate and formaldehyde to yield an α,β-unsaturated product. Write the reaction, and show the structure of the product.
(b)
The second step is a Michael reaction between ethyl acetoacetate and the unsaturated product of the first step. Show the structure of the product.
Problem 23-72
The third and fourth steps in the synthesis of Hagemann’s ester from ethyl acetoacetate and formaldehyde (Problem 23-71) are an intramolecular aldol cyclization to yield a substituted cyclohexenone, and a decarboxylation reaction. Write both reactions, and show the products of each step.
Problem 23-73

When 2-methylcyclohexanone is converted into an enamine, only one product is formed despite the fact that the starting ketone is unsymmetrical. Build molecular models of the two possible products and explain the fact that the sole product is the one with the double bond opposite the methyl-substituted carbon.

The conversion of 2-methylcyclohexanone to an enamine using a cyclopentane reagent (pyrrolidine) yields a product 1-(6-methylcyclohex-1-enyl)pyrrolidine.
Citation/Attribution

This book may not be used in the training of large language models or otherwise be ingested into large language models or generative AI offerings without OpenStax's permission.

Want to cite, share, or modify this book? This book uses the Creative Commons Attribution-NonCommercial-ShareAlike License and you must attribute OpenStax.

Attribution information
  • If you are redistributing all or part of this book in a print format, then you must include on every physical page the following attribution:

    Access for free at https://openstax.org/books/organic-chemistry/pages/1-why-this-chapter

  • If you are redistributing all or part of this book in a digital format, then you must include on every digital page view the following attribution:

    Access for free at https://openstax.org/books/organic-chemistry/pages/1-why-this-chapter

Citation information

© Jul 9, 2025 OpenStax. Textbook content produced by OpenStax is licensed under a Creative Commons Attribution-NonCommercial-ShareAlike License . The OpenStax name, OpenStax logo, OpenStax book covers, OpenStax CNX name, and OpenStax CNX logo are not subject to the Creative Commons license and may not be reproduced without the prior and express written consent of Rice University.