Skip to ContentGo to accessibility pageKeyboard shortcuts menu
OpenStax Logo
Organic Chemistry

21.1 Naming Carboxylic Acid Derivatives

Organic Chemistry21.1 Naming Carboxylic Acid Derivatives
Search for key terms or text.

21.1 • Naming Carboxylic Acid Derivatives

Acid Halides, RCOX

Acid halides are named by identifying first the acyl group and then the halide. As described in Section 20.1 and shown in Table 20.1, the acyl group name is derived from the carboxylic acid name by replacing the -ic acid or -oic acid ending with -oyl, or the -carboxylic acid ending with -carbonyl. To keep things interesting, however, IUPAC recognizes eight exceptions for which a -yl rather than an -oyl ending is used: formic (formyl), acetic (acetyl), propionic (propionyl), butyric (butyryl), oxalic (oxalyl), malonic (malonyl), succinic (succinyl), and glutaric (glutaryl).

The structures of three acid halides. The first is acetyl chloride, the second is benzoyl bromide, and the third is cyclohexanecarbonyl chloride.

Acid Anhydrides, RCO2COR

Symmetrical anhydrides of unsubstituted monocarboxylic acids and cyclic anhydrides of dicarboxylic acids are named by replacing the word acid with anhydride.

The structures of three acid anhydrides. The first is acetic anhydride, the second is benzoic anhydride, and the third is succinic anhydride.

Unsymmetrical anhydrides—those prepared from two different carboxylic acids—are named by listing the two acids alphabetically and then adding anhydride.

The structure of acetic benzoic anhydride which comprises of two carbonyl groups linked by an oxygen atom. A methyl group is attached to one of the carbonyls and a benzene ring to the other.

Esters, RCO2R

Esters are named by first identifying the alkyl group attached to oxygen and then the carboxylic acid, with the -ic acid ending replaced by -ate.

The structures of three esters. The first is ethyl acetate, the second is dimethyl malonate, and the third is tert-butyl cyclohexane carboxylate.

Amides, RCONH2

Amides with an unsubstituted –NH2 group are named by replacing the -oic acid or -ic acid ending with -amide, or by replacing the -carboxylic acid ending with -carboxamide.

The structures of three amides. The first is acetamide, the second is hexanamide, and the third is cyclopentane carboxamide.

If the nitrogen atom is further substituted, the compound is named by first identifying the substituent groups and then the parent amide. The substituents are preceded by the letter N to identify them as being directly attached to nitrogen.

The structures of a secondary and a tertiary amide. The first structure is N-methylpropanamide and the second is N, N-diethylcyclohexanecarboxamide.

Thioesters, RCOSR

Thioesters are named like the corresponding esters. If the related ester has a common name, the prefix thio- is added to the name of the carboxylate: acetate becomes thioacetate, for instance. If the related ester has a systematic name, the -oate or -carboxylate ending is replaced by -thioate or -carbothioate: butanoate becomes butanethioate and cyclohexanecarboxylate becomes cyclohexanecarbothioate, for instance.

The structures of three thioesters. The first is methyl thioacetate, the second is ethyl butanethioate, and the third is methyl cyclohexanecarbothioate.

Acyl Phosphates, RCO2PO32– and RCO2PO3R

Acyl phosphates are named by citing the acyl group and adding the word phosphate. If an alkyl group is attached to one of the phosphate oxygens, it is identified after the name of the acyl group. In biological chemistry, acyl adenosyl phosphates are particularly common.

The structures of two acyl phosphates. The first is benzoyl phosphate and the second structure is acetyl adenosyl phosphate.

A summary of nomenclature rules for carboxylic acid derivatives is given in Table 21.1.

Table 21.1 Nomenclature of Carboxylic Acid Derivatives
Functional group Structure Name ending
Carboxylic acid The structure of a carboxylic acid where an R group is attached to a carbonyl group which in turn is attached to a hydroxyl group. -ic acid
(-carboxylic acid)
Acid halide The structure of an acid halide where an R group is attached to a carbonyl group which in turn is attached to an X group. -oyl halide
(-carbonyl halide)
Acid anhydride The structure of an acid anhydride where two carbonyl groups are linked by an oxygen atom. An R group is attached to one of the carbonyls and an R dash group to the other. anhydride
Amide The structure of an amide where an R group and an amino groups are connected to a carbonyl carbon. -amide
(-carboxamide)
Ester The structure of an ester where an R group is attached to a carbonyl group which in turn is attached to an O R dash group. -oate
(-carboxylate)
Thioester The structure of a thioester where an R group is attached to a carbonyl group which in turn is attached to an S R dash group. -thioate
(-carbothioate)
Acyl phosphate The structure of an acyl phosphate where an R group is attached to a carbonyl group which in turn is attached to an O P O 3 group. -oyl phosphate
Problem 21-1
Give IUPAC names for the following substances:
(a)
The structure shows an acid chloride with a five-carbon chain. A methyl group is attached to C 4 The chlorine atom is attached to the carbonyl carbon.
(b)
The structure shows a cyclohexane ring with a side chain C H 2 C O N H 2 attached to the first carbon.
(c)
The structure shows an ester with seven carbon atoms. An isopropyl group is attached to the carbonyl carbon and another isopropyl group is attached to the ester oxygen.
(d)
The structure shows a benzene ring attached to a carbonyl group enclosed in parentheses with a subscript two. The carbonyl carbon is single-bonded to an oxygen atom.
(e)
The structure of an ester shows a cyclopentane ring attached to a carbonyl group which in turn is attached to an oxygen atom bound to an isopropyl group.
(f)
The structure of an ester shows a cyclopentane ring attached to an oxygen atom which in turn is bound to a carbonyl group bearing an isopropyl group.
(g)
The structure shows a five-carbon chain amide with a double bond between the fourth and fifth carbon. An N-methyl group is attached to the carbonyl carbon.
(h)
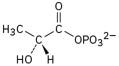
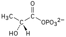
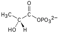
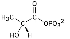
The structure shows a three-carbon chain of an acyl phosphate. A hydroxyl group (dash-wedged) and hydrogen atom (wedged) are attached to the second carbon. The phosphate group is attached to the carbonyl carbon.
(i)
The structure shows a thioester where thioethyl and 2,3-dimethylbut-2-ene groups are attached to the carbonyl carbon.
Problem 21-2
Draw structures corresponding to the following names:
(a)
Phenyl benzoate
(b)
N-Ethyl-N-methylbutanamide
(c)
2,4-Dimethylpentanoyl chloride
(d)
Methyl 1-methylcyclohexanecarboxylate
(e)
Ethyl 3-oxopentanoate
(f)
Methyl p-bromobenzenethioate
(g)
Formic propanoic anhydride
(h)
cis-2-Methylcyclopentanecarbonyl bromide
Citation/Attribution

This book may not be used in the training of large language models or otherwise be ingested into large language models or generative AI offerings without OpenStax's permission.

Want to cite, share, or modify this book? This book uses the Creative Commons Attribution-NonCommercial-ShareAlike License and you must attribute OpenStax.

Attribution information
  • If you are redistributing all or part of this book in a print format, then you must include on every physical page the following attribution:

    Access for free at https://openstax.org/books/organic-chemistry/pages/1-why-this-chapter

  • If you are redistributing all or part of this book in a digital format, then you must include on every digital page view the following attribution:

    Access for free at https://openstax.org/books/organic-chemistry/pages/1-why-this-chapter

Citation information

© Jul 9, 2025 OpenStax. Textbook content produced by OpenStax is licensed under a Creative Commons Attribution-NonCommercial-ShareAlike License . The OpenStax name, OpenStax logo, OpenStax book covers, OpenStax CNX name, and OpenStax CNX logo are not subject to the Creative Commons license and may not be reproduced without the prior and express written consent of Rice University.