Skip to ContentGo to accessibility pageKeyboard shortcuts menu
OpenStax Logo
Organic Chemistry

19.2 Preparing Aldehydes and Ketones

Organic Chemistry19.2 Preparing Aldehydes and Ketones
Search for key terms or text.

19.2 • Preparing Aldehydes and Ketones

Preparing Aldehydes

Perhaps the best method of aldehyde synthesis is by oxidation of a primary alcohol, as we saw in Section 17.7. The reaction is usually carried out using the Dess–Martin periodinane reagent in dichloromethane solvent at room temperature:

E-3,7-dimethyloxta-2,6-dien-1-ol (geraniol) reacts with Dess-Martin periodinane reagent in the presence of dichloromethane to produce E-3,7-dimethyloxta-2,6-dienal (geranial), 84%.

Another method of aldehyde synthesis is one that we’ll mention here just briefly and then return to in Section 21.6. Certain carboxylic acid derivatives can be partially reduced to yield aldehydes. The partial reduction of an ester by diisobutylaluminum hydride (DIBAH, or DIBAL-H), for instance, is an important laboratory-scale method of aldehyde synthesis, and mechanistically related processes also occur in biological pathways. The reaction is normally carried out at –78 °C (dry-ice temperature) in toluene solution.

Methyl dodecanoate reacts with diisobutylaluminum hydride in toluene at minus 78 degree Celsius and then with hydronium ion to yield Dodecanal (88 percent). The structure of diisobutylaluminum hydride is mentioned.
Problem 19-3
How would you prepare pentanal from the following starting materials?
(a)
CH3CH2CH2CH2CH2OH
(b)
CH3CH2CH2CH2CH = CH2
(c)
CH3CH2CH2CH2CO2CH3
(d)
CH3CH2CH2CH = CH2

Preparing Ketones

For the most part, methods of ketone synthesis are similar to those for aldehydes. Secondary alcohols are oxidized by a variety of reagents to give ketones (Section 17.7). The choice of oxidant depends on such factors as reaction scale, cost, and acid or base sensitivity of the alcohol. The Dess–Martin periodinane is a common choice although chromic acid (H2CrO4) was frequently used in older work.

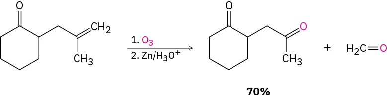
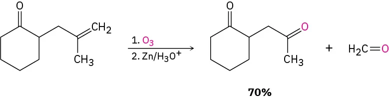
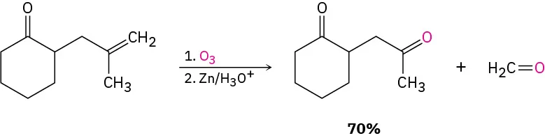
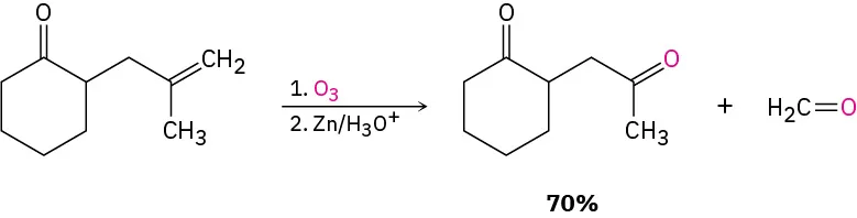
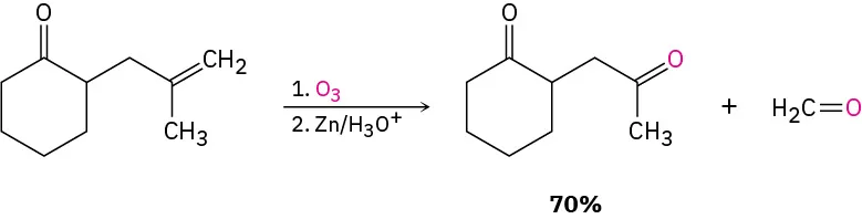
Other methods include the ozonolysis of alkenes in which one of the unsaturated carbon atoms is disubstituted (Section 8.8) and Friedel–Crafts acylation of an aromatic ring with an acid chloride in the presence of AlCl3 catalyst (Section 16.3).

2-methyl-1-propene with C 3 attached to C 2 of cyclohexanone reacts with ozone, then zinc and hydronium, to product with oxo where double bond C H 2 was, plus formaldehyde.
A benzene reacts with acetyl chloride in the presence of aluminum chloride and heat to produce acetophenone (95 percent yield).

In addition to those methods already discussed, ketones can also be prepared from certain carboxylic acid derivatives, just as aldehydes can. Among the most useful reactions of this sort is that between an acid chloride and a lithium diorganocopper reagent, as we saw in Section 10.7. We’ll discuss this reaction in more detail in Section 21.4.

Hexanoyl chloride reacts with (C H 3) 2 C u anion and lithium cation in the presence of ether to form 2-heptanone (81 percent yield).
Problem 19-4
How would you carry out the following reactions? More than one step may be needed.
(a)
3-Hexyne 3-Hexanone
(b)
Benzene m-Bromoacetophenone
(c)
Bromobenzene Acetophenone
(d)
1-Methylcyclohexene 2-Methylcyclohexanone
Citation/Attribution

This book may not be used in the training of large language models or otherwise be ingested into large language models or generative AI offerings without OpenStax's permission.

Want to cite, share, or modify this book? This book uses the Creative Commons Attribution-NonCommercial-ShareAlike License and you must attribute OpenStax.

Attribution information
  • If you are redistributing all or part of this book in a print format, then you must include on every physical page the following attribution:

    Access for free at https://openstax.org/books/organic-chemistry/pages/1-why-this-chapter

  • If you are redistributing all or part of this book in a digital format, then you must include on every digital page view the following attribution:

    Access for free at https://openstax.org/books/organic-chemistry/pages/1-why-this-chapter

Citation information

© Jul 9, 2025 OpenStax. Textbook content produced by OpenStax is licensed under a Creative Commons Attribution-NonCommercial-ShareAlike License . The OpenStax name, OpenStax logo, OpenStax book covers, OpenStax CNX name, and OpenStax CNX logo are not subject to the Creative Commons license and may not be reproduced without the prior and express written consent of Rice University.