Skip to ContentGo to accessibility pageKeyboard shortcuts menu
OpenStax Logo
Organic Chemistry

17.7 Oxidation of Alcohols

Organic Chemistry17.7 Oxidation of Alcohols
Search for key terms or text.

17.7 • Oxidation of Alcohols

Perhaps the most valuable reaction of alcohols is their oxidation to give carbonyl compounds—the opposite of the reduction of carbonyl compounds to give alcohols. Primary alcohols are oxidized either to aldehydes or carboxylic acids, and secondary alcohols are oxidized to ketones, but tertiary alcohols don’t normally react with most oxidizing agents.

Primary alcohol oxidizes to an aldehyde that can be further oxidized to a carboxylic acid. A secondary alcohol oxidizes to form a ketone. A tertiary alcohol does not undergo oxidation.

Primary and secondary alcohols can be oxidized by any of a number of reagents, including CrO3 in aqueous acetic acid and KMnO4 in aqueous NaOH, but chromium-based reagents are rarely used today because of their toxicity and fire danger. Today, primary and secondary alcohols are oxidized to aldehydes and ketones, respectively, using the iodine-containing Dess–Martin periodinane in dichloromethane solution.

Geraniol reacts with methylene chloride and Dess-Martin periodinane to form geranial with 84 percent yield. The structure of Dess-Martin periodinane is also represented. O A c denotes acetate group.
4-tert-butylcyclohexanol reacts with sodium dichromate, water, acetic acid, and water to form 4-tert-butylcyclohexanone with 91 percent yield.

Primary alcohols are oxidized to carboxylic acids by heating with KMnO4 in a basic aqueous solution. An aldehyde is involved as an intermediate in the KMnO4 reaction but can’t usually be isolated because it is further oxidized too rapidly.

1-decanol reacts with chromium trioxide, hydronium ion and acetone to form decanoic acid with 93 percent yield.

All these oxidations occur by a mechanism that is closely related to the E2 reaction (Section 11.8). In the Dess–Martin oxidation, for instance, the first step involves a substitution reaction between the alcohol and the I(V) reagent to form a new periodinane intermediate, followed by expulsion of reduced I(III) as the leaving group. Similarly, when a Cr(VI) reagent, such as CrO3, is the oxidant, reaction with the alcohol gives a chromate intermediate followed by expulsion of a reduced Cr(VI) species.

A primary alcohol reacts with Dess-Martin periodinane to form periodinane intermediate. This reacts to form an aldehyde.
A primary alcohol reacts with chromium trioxide to form chromate intermediate. A base reacts with chromate intermediate to form aldehyde and chromate ion.

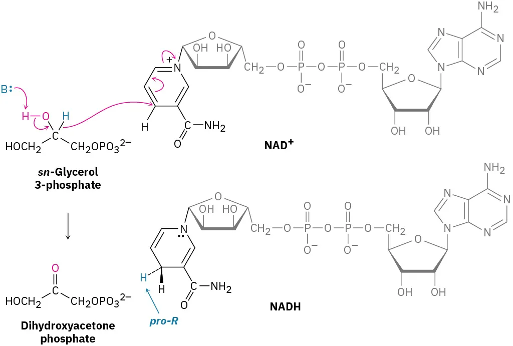
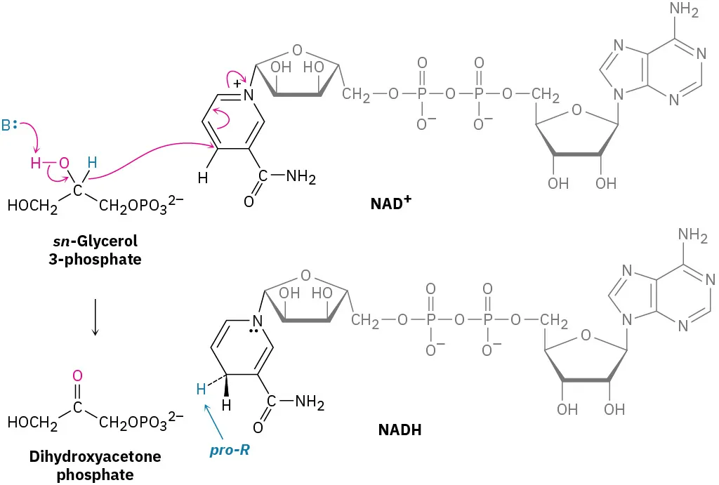
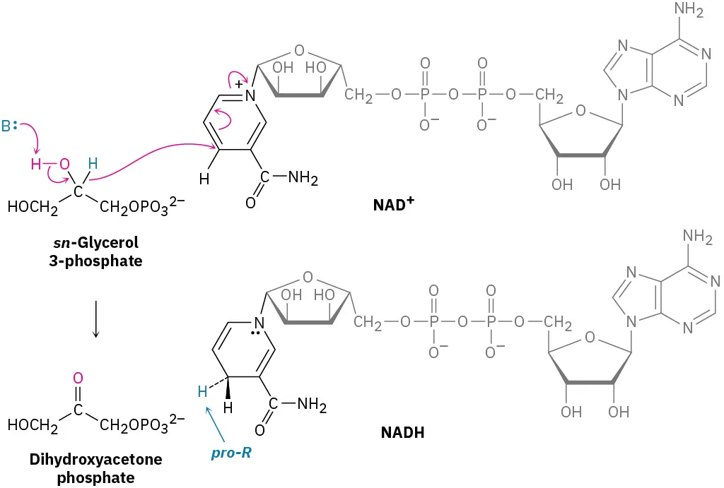
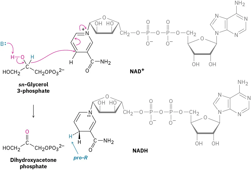
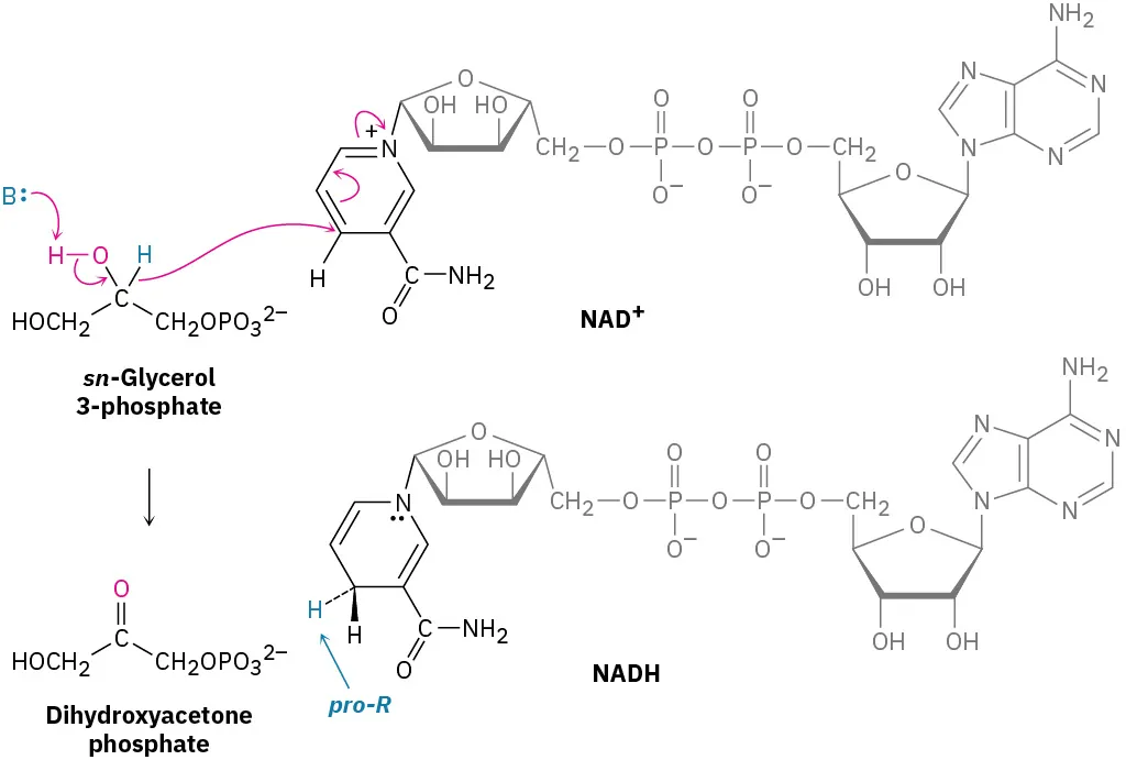
Biological alcohol oxidations are the opposite of biological carbonyl reductions and are facilitated by the coenzymes NAD+ and NADP+. A base removes the –OH proton, and the alkoxide ion transfers a hydride ion to the coenzyme. An example is the oxidation of sn-glycerol 3-phosphate to dihydroxyacetone phosphate, a step in the biological metabolism of fats (Figure 17.9). Note that addition occurs exclusively on the Re face of the NAD+ ring, adding a hydrogen with pro-R stereochemistry.

A base reacts with sn-glycerol-3-phosphate that further reacts with nicotinamide adenine dinucleotide plus to form dihydroxyacetone phosphate and nicotinamide adenine dinucleotide hydrogen.
Figure 17.9 The biological oxidation of an alcohol (sn-glycerol 3-phosphate) to give a ketone (dihydroxyacetone phosphate). This mechanism is the exact opposite of the ketone reduction shown previously in Figure 17.5.
Problem 17-14
What alcohols would give the following products on oxidation?
(a)
Chemical structure of acetophenone
(b)
Chemical structure of 2-methylpropanal.
(c)
Chemical structure of cyclopentanone.
Problem 17-15
What products would you expect from oxidation of the following compounds with chromium trioxide in hydronium? In the Dess–Martin periodinane?
(a)
1-Hexanol
(b)
2-Hexanol
(c)
Hexanal
Citation/Attribution

This book may not be used in the training of large language models or otherwise be ingested into large language models or generative AI offerings without OpenStax's permission.

Want to cite, share, or modify this book? This book uses the Creative Commons Attribution-NonCommercial-ShareAlike License and you must attribute OpenStax.

Attribution information
  • If you are redistributing all or part of this book in a print format, then you must include on every physical page the following attribution:

    Access for free at https://openstax.org/books/organic-chemistry/pages/1-why-this-chapter

  • If you are redistributing all or part of this book in a digital format, then you must include on every digital page view the following attribution:

    Access for free at https://openstax.org/books/organic-chemistry/pages/1-why-this-chapter

Citation information

© Jul 9, 2025 OpenStax. Textbook content produced by OpenStax is licensed under a Creative Commons Attribution-NonCommercial-ShareAlike License . The OpenStax name, OpenStax logo, OpenStax book covers, OpenStax CNX name, and OpenStax CNX logo are not subject to the Creative Commons license and may not be reproduced without the prior and express written consent of Rice University.