Skip to ContentGo to accessibility pageKeyboard shortcuts menu
OpenStax Logo
Organic Chemistry

18.2 Preparing Ethers

Organic Chemistry18.2 Preparing Ethers
Search for key terms or text.

18.2 • Preparing Ethers

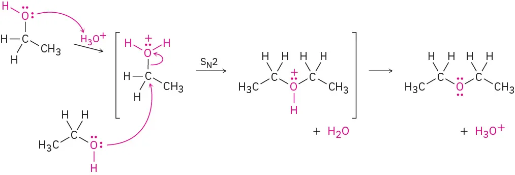
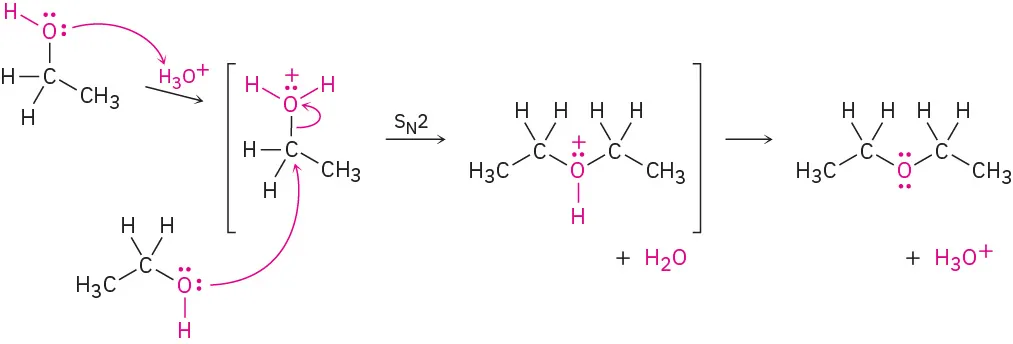
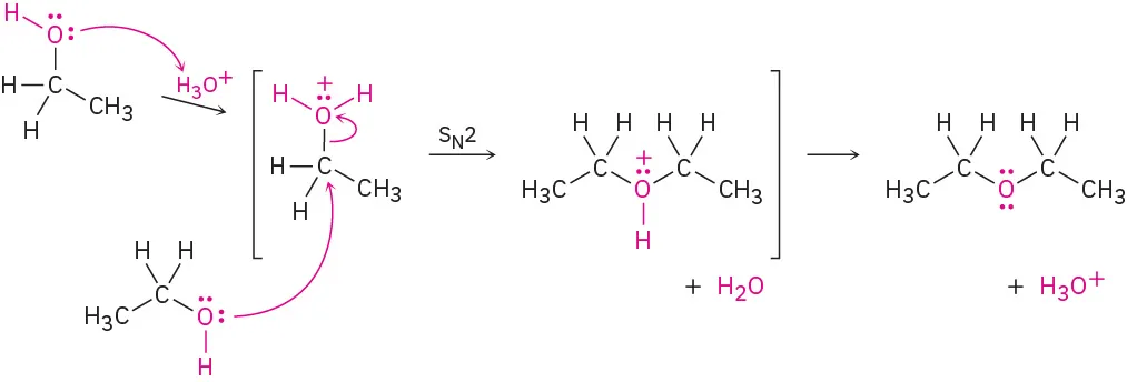
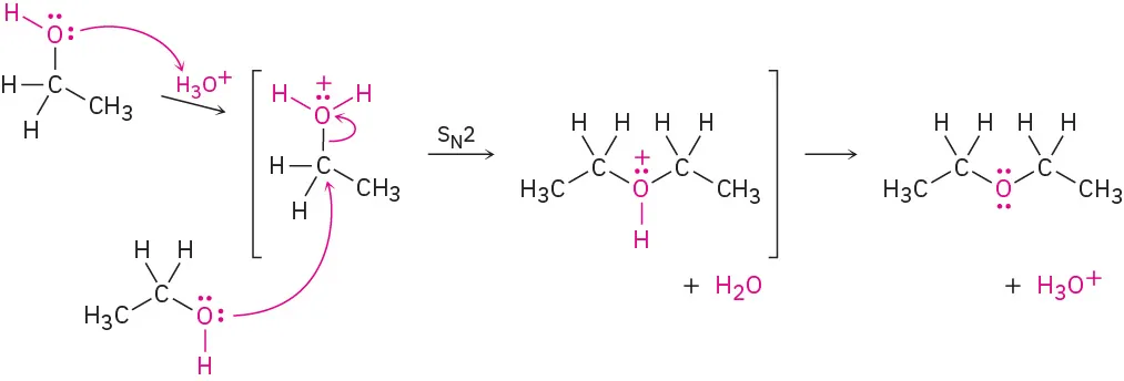
Diethyl ether and other simple symmetrical ethers are prepared industrially by the sulfuric-acid-catalyzed reaction of alcohols. The reaction occurs by SN2 displacement of water from a protonated ethanol molecule by the oxygen atom of a second ethanol. Unfortunately, this method is limited to use with primary alcohols because secondary and tertiary alcohols dehydrate by an E1 mechanism to yield alkenes (Section 17.6).

Reaction mechanism for ethanol to diethyl ether in hydronium involving: protonation of oxygen; ethanol attack, loss of water via S N 2; deprotonation of oxygen to produce neutral product.

The Williamson Ether Synthesis

The most generally useful method of preparing ethers is the Williamson ether synthesis, in which an alkoxide ion reacts with a primary alkyl halide or tosylate in an SN2 reaction. As we saw in Section 17.2, the alkoxide ion is normally prepared by reaction of an alcohol with a strong base such as sodium hydride, NaH.

Cyclopentanol reacts with sodium hydride in T H F to form cyclopentanoxide. This attacks methyl iodide to form cyclopentyl methyl ether product (74%).

A useful variation of the Williamson synthesis involves silver oxide, Ag2O, as a mild base rather than NaH. Under these conditions, the free alcohol reacts directly with the alkyl halide, so there is no need to preform the metal alkoxide intermediate. Sugars react particularly well; glucose, for example, reacts with excess iodomethane in the presence of Ag2O to generate a pentaether in 85% yield.

Alpha-D-glucose reacts with methyl iodide in presence of silver oxide to form alpha-D-glucose pentamethyl ether (85%) and silver iodide. In product, all hydroxyl hydrogens replace by methyl groups.

Because the Williamson synthesis is an SN2 reaction, it is subject to all the usual constraints, as discussed in Section 11.3. Primary halides and tosylates work best because competitive E2 elimination can occur with more hindered substrates. Unsymmetrical ethers should therefore be synthesized by reaction between the more hindered alkoxide partner and less hindered halide partner rather than vice versa. For example, tert-butyl methyl ether, a substance used in the 1990s as an octane booster in gasoline, is best prepared by reaction of tert-butoxide ion with iodomethane rather than by reaction of methoxide ion with 2-chloro-2-methylpropane.

The first reaction generates tert-butyl methyl ether from tert-butoxide and iodomethane. The second reaction shows 2-chloro-2-methylpropane reacts with methoxy ion to form 2-methylpropene, methanol, and chloride ion.
Problem 18-2
Why do you suppose only symmetrical ethers are prepared by the sulfuric-acid-catalyzed dehydration procedure? What product(s) would you expect if ethanol and 1-propanol were allowed to react together? In what ratio would the products be formed if the two alcohols were of equal reactivity?
Problem 18-3
How would you prepare the following ethers using a Williamson synthesis?
(a)
Methyl propyl ether
(b)
Anisole (methyl phenyl ether)
(c)
Benzyl isopropyl ether
(d)
Ethyl 2,2-dimethylpropyl ether

Alkoxymercuration of Alkenes

We saw in Section 8.4 that alkenes react with water in the presence of mercuric acetate to yield a hydroxymercuration product. Subsequent treatment with NaBH4 breaks the C–Hg bond and yields the alcohol. A similar alkoxymercuration reaction occurs when an alkene is treated with an alcohol in the presence of mercuric acetate or, even better, mercuric trifluoroacetate, (CF3CO2)2Hg. Demercuration by reaction with NaBH4 then yields an ether. The net result is Markovnikov addition of the alcohol to the alkene.

Styrene reacts with mercuric trifluoroacetate and methanol, then sodium borohydride forming 1-methoxy-1-phenylethane (97 percent). Cyclohexene reacts with mercuric trifluoroacetate and ethanol, then sodium borohydride forming cyclohexyl ethyl ether (100 percent).

The mechanism of the alkoxymercuration reaction is similar to that described in Section 8.4 for hydroxymercuration. The reaction is initiated by electrophilic addition of Hg2+ to the alkene, followed by reaction of the intermediate cation with alcohol and reduction of the C–Hg bond by NaBH4. A variety of alcohols and alkenes can be used in alkoxymercuration. Primary, secondary, and even tertiary alcohols react well, but ditertiary ethers can’t be prepared because of steric hindrance.

Worked Example 18.1

Synthesizing an Ether

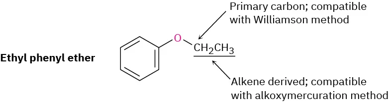
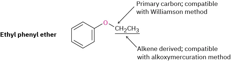
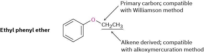
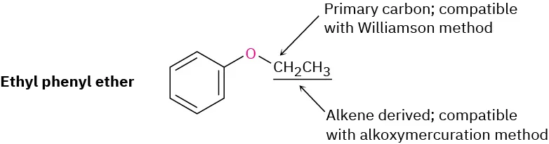
How would you prepare ethyl phenyl ether? Use whichever method you think is more appropriate, Williamson synthesis or the alkoxymercuration reaction.

Strategy

Draw the target ether, identify the two groups attached to oxygen, and recall the limitations of the two methods for preparing ethers. Williamson synthesis uses an SN2 reaction and requires that one of the two groups attached to oxygen be either secondary or (preferably) primary. The alkoxymercuration reaction requires that one of the two groups come from an alkene precursor. Ethyl phenyl ether could be made by either method.
The structure of ethyl phenyl ether where C H 2 is labeled primary carbon, compatible with Williamson method, and ethyl group is labeled alkene-derived, compatible with alkoxymercuration method.

Solution

Phenol undergoes two reactions with different reagents. First with sodium hydroxide, then ethyl bromide; second with mercuric trifluoroacetate, then sodium borohydride. Both pathways form the same product ethyl phenyl ether.
Problem 18-4
Review the mechanism of oxymercuration shown in Figure 8.4, and then write the mechanism of the alkoxymercuration reaction of 1-methylcyclopentene with ethanol. Use curved arrows to show the electron flow in each step.
Problem 18-5
How would you prepare the following ethers? Use whichever method you think is more appropriate, Williamson synthesis or the alkoxymercuration reaction.
(a)
Butyl cyclohexyl ether
(b)
Benzyl ethyl ether (C6H5CH2OCH2CH3)
(c)
sec-Butyl tert-butyl ether
(d)
Tetrahydrofuran
Problem 18-6
Rank the following halides in order of their reactivity in the Williamson synthesis:
(a)
Bromoethane, 2-bromopropane, bromobenzene
(b)
Chloroethane, bromoethane, 1-Iodopropene
Citation/Attribution

This book may not be used in the training of large language models or otherwise be ingested into large language models or generative AI offerings without OpenStax's permission.

Want to cite, share, or modify this book? This book uses the Creative Commons Attribution-NonCommercial-ShareAlike License and you must attribute OpenStax.

Attribution information
  • If you are redistributing all or part of this book in a print format, then you must include on every physical page the following attribution:

    Access for free at https://openstax.org/books/organic-chemistry/pages/1-why-this-chapter

  • If you are redistributing all or part of this book in a digital format, then you must include on every digital page view the following attribution:

    Access for free at https://openstax.org/books/organic-chemistry/pages/1-why-this-chapter

Citation information

© Jul 9, 2025 OpenStax. Textbook content produced by OpenStax is licensed under a Creative Commons Attribution-NonCommercial-ShareAlike License . The OpenStax name, OpenStax logo, OpenStax book covers, OpenStax CNX name, and OpenStax CNX logo are not subject to the Creative Commons license and may not be reproduced without the prior and express written consent of Rice University.