Skip to ContentGo to accessibility pageKeyboard shortcuts menu
OpenStax Logo
Organic Chemistry

Additional Problems

Organic ChemistryAdditional Problems
Search for key terms or text.

15 • Additional Problems

15 • Additional Problems

Visualizing Chemistry

Problem 15-13
Give IUPAC names for the following substances (red = O, blue = N):
(a)
The ball-and-stick model of a molecule has a 6-membered ring with alternate double bonds. C 1 is bonded to hydroxyl. C 3 is bonded to an isopropyl group.
(b)
The ball-and-stick model of a molecule has a 6-membered ring with alternate double bonds. C 1 is bonded to a carboxylic acid group and C 2 to a nitro group.
Problem 15-14

All-cis cyclodecapentaene is a stable molecule that shows a single absorption in its 1H NMR spectrum at 5.67 δ. Tell whether it is aromatic, and explain its NMR spectrum.

The ball-and-stick model of all-cis cyclodecapentaene has a 10-carbon ring with alternate double bonds.
Problem 15-15

1,6-Methanonaphthalene has an interesting 1H NMR spectrum in which the eight hydrogens around the perimeter absorb at 6.9 to 7.3 δ, while the two CH2 protons absorb at –0.5 δ. Tell whether it is aromatic, and explain its NMR spectrum.

The ball-and-stick model of 1,6-methanonaphthalene has a cycloheptatriene ring fused to a cycloheptadiene ring.
Problem 15-16

The following molecular model is that of a carbocation. Draw two resonance structures for the carbocation, indicating the positions of the double bonds.

The ball-and-stick model of a cationic molecule has three six-membered rings fused together.
Problem 15-17

Azulene, an isomer of naphthalene, has a remarkably large dipole moment for a hydrocarbon (μ = 1.0 D). Explain, using resonance structures.

The ball-and-stick model with the electrostatic potential map of azulene. In the structure, a seven-membered ring is fused with a 5-membered ring.

Naming Aromatic Compounds

Problem 15-18
Give IUPAC names for the following compounds:
(a)
In a benzene ring, C 1 is bonded to a 5-carbon chain, in which C 1 and C 4 are each bonded to a methyl group.
(b)
In a benzene ring, C 1 and C 3 are bonded to a carboxylic acid group and a bromine atom, respectively.
(c)
In a benzene ring, C 1 is bonded to a bromine atom and C3 and C5 to methyl groups.
(d)
In a benzene ring, C 1 is bonded to a bromine atom and C 2 is bonded to a 3-carbon chain.
(e)
In a benzene ring, C 1 is bonded to a fluorine atom and C2 and C4 are each bonded to a nitro group.
(f)
In a benzene ring, C 1 and C 4 are bonded to an amine group and a chlorine atom, respectively.
Problem 15-19
Draw structures corresponding to the following names:
(a)
3-Methyl-1,2-benzenediamine
(b)
1,3,5-Benzenetriol
(c)
3-Methyl-2-phenylhexane
(d)
o-Aminobenzoic acid
(e)
m-Bromophenol
(f)
2,4,6-Trinitrophenol (picric acid)
Problem 15-20
Draw and name all possible isomers of the following:
(a)
Dinitrobenzene
(b)
Bromodimethylbenzene
(c)
Trinitrophenol
Problem 15-21
Draw and name all possible aromatic compounds with the formula C7H7Cl.
Problem 15-22
Draw and name all possible aromatic compounds with the formula C8H9Br. (There are 14.)

Structure of Aromatic Compounds

Problem 15-23
Propose structures for aromatic hydrocarbons that meet the following descriptions:
(a)
C9H12; gives only one C9H11Br product on substitution of a hydrogen on the aromatic ring with bromine
(b)
C10H14; gives only one C10H13Cl product on substitution of a hydrogen on the aromatic ring with chlorine
(c)
C8H10; gives three C8H9Br products on substitution of a hydrogen on the aromatic ring with bromine
(d)
C10H14; gives two C10H13Cl products on substitution of a hydrogen on the aromatic ring with chlorine
Problem 15-24
Look at the three resonance structures of naphthalene shown in Section 15.6, and account for the fact that not all carbon–carbon bonds have the same length. The C1–C2 bond is 136 pm long, whereas the C2–C3 bond is 139 pm long.
Problem 15-25

Anthracene has four resonance structures, one of which is shown. Draw the other three.

Anthracene has three benzene rings fused to one another in a straight line.
Problem 15-26

Phenanthrene has five resonance structures, one of which is shown. Draw the other four.

Phenanthrene has three benzene rings fused to one another, two of them in a straight line and the third up to the top right..
Problem 15-27
Look at the five resonance structures for phenanthrene (Problem 26), and predict which of its carbon–carbon bonds is shortest.
Problem 15-28

In 1932, A. A. Levine and A. G. Cole studied the ozonolysis of o-xylene and isolated three products: glyoxal, 2,3-butanedione, and pyruvaldehyde:

Benzene with methyl groups at C 1 and C 2 reacts with ozone in the presence of zinc to form glyoxal, 2,3-butanedione, and pyruvaldehyde.

In what ratio would you expect the three products to be formed if o-xylene is a resonance hybrid of two structures? The actual ratio found was 3 parts glyoxal, 1 part 2,3-butanedione, and 2 parts pyruvaldehyde. What conclusions can you draw about the structure of o-xylene?

Aromaticity and Hückel’s Rule

Problem 15-29

3-Chlorocyclopropene, on treatment with AgBF4, gives a precipitate of AgCl and a stable solution of a product that shows a single 1H NMR absorption at 11.04 δ. What is a likely structure for the product, and what is its relation to Hückel’s rule?

3-Chlorocyclopropene has a 3-carbon ring. C 1 is double bonded to C 2. C 3 is bonded to a chlorine atom and a hydrogen atom.
Problem 15-30
Draw an energy diagram for the three molecular orbitals of the cyclopropenyl system (C3H3). How are these three molecular orbitals occupied in the cyclopropenyl anion, cation, and radical? Which of the three substances is aromatic according to Hückel’s rule?
Problem 15-31

Cyclopropanone is highly reactive because of its large amount of angle strain. Methylcyclopropenone, although even more strained than cyclopropanone, is nevertheless quite stable and can even be distilled. Explain, taking the polarity of the carbonyl group into account.

Cyclopropanone has a 3-carbon ring. C 1 is a carbonyl group. Methylcyclopropenone has a cyclopropene ring. C 1 is a carbonyl group and C2 is bonded to a methyl group.
Problem 15-32

Cycloheptatrienone is stable, but cyclopentadienone is so reactive that it can’t be isolated. Explain, taking the polarity of the carbonyl group into account.

Cycloheptatrienone has a 7-carbon ring with three alternate double bonds. C 1 is carbonyl group. Cyclopentadienone has a 5-carbon ring with two alternate double bonds. C 1 is carbonyl group.
Problem 15-33
Which would you expect to be most stable, cyclononatetraenyl radical, cation, or anion? (Cyclononatetraene has a ring of nine carbons and four double bonds.)
Problem 15-34
How might you convert 1,3,5,7-cyclononatetraene to an aromatic substance?
Problem 15-35

Calicene, like azulene (Problem 17), has an unusually large dipole moment for a hydrocarbon. Explain, using resonance structures.

Calicene has a cyclopentadiene ring double bonded to a cyclopropene ring.
Problem 15-36

Pentalene is a most elusive molecule that has been isolated only at liquid-nitrogen temperature. The pentalene dianion, however, is well known and quite stable. Explain.

Pentalene has two fused cyclopentadiene rings. Pentalene dianion structure is similar to pentalene, except that pentalene dianion is enclosed in square brackets with 2 minus charge.
Problem 15-37
Indole is an aromatic heterocycle that has a benzene ring fused to a pyrrole ring. Draw an orbital picture of indole.
(a)

How many π electrons does indole have?

(b)

What is the electronic relationship of indole to naphthalene?

Indole has a benzene ring fused to a 5-membered ring made of a nitrogen atom and four carbon atoms, in which the two carbons not fused to the benzene ring have a double bond between them.
Problem 15-38

Ribavirin, an antiviral agent used against hepatitis C and viral pneumonia, contains a 1,2,4-triazole ring. Why is the ring aromatic?

Ribavirin has 1,2,4-triazole ring. N 1 is bonded to ribose ring. The carbon at position 3 is bonded to a carbonyl group, which itself is bonded to an amine.

Spectroscopy

Problem 15-39
Compound A, C8H10, yields three substitution products, C8H9Br, on reaction with Br2. Propose two possible structures for A. The 1H NMR spectrum of A shows a complex four-proton multiplet at 7.0 δ and a six-proton singlet at 2.30 δ. What is the structure of A?
Problem 15-40

What is the structure of a hydrocarbon that has M+ = 120 in its mass spectrum and has the following 1H NMR spectrum?

7.25 δ (5 H, broad singlet); 2.90 δ (1 H, septet, J = 7 Hz); 1.22 δ (6 H, doublet, J = 7 Hz)

Problem 15-41
Propose structures for compounds that fit the following descriptions:
(a)

C10H14

1H NMR: 7.18 δ (4 H, broad singlet); 2.70 δ (4 H, quartet, J = 7 Hz); 1.20 δ (6 H, triplet, J = 7 Hz)

IR absorption at 745 cm–1

(b)

C10H14

1H NMR: 7.0 δ (4 H, broad singlet); 2.85 δ (1 H, septet, J = 8 Hz); 2.28 δ (3 H, singlet); 1.20 δ (6 H, doublet, J = 8 Hz)

IR absorption at 825 cm–1

General Problems

Problem 15-42

On reaction with acid, 4-pyrone is protonated on the carbonyl-group oxygen to give a stable cationic product. Using resonance structures and the Hückel 4n + 2 rule, explain why the protonated product is so stable.

4-Pyrone, when treated wuth acid is protonated at the carbonyl group, the oxygen of which now carries a positive charge.
Problem 15-43

Bextra, a COX-2 inhibitor once used in the treatment of arthritis, contains an isoxazole ring. Why is the ring aromatic?

Phenanthrene has three benzene rings fused to one another, two of them in a straight line and the third up to the top right..
Problem 15-44

N-Phenylsydnone, so-named because it was first studied at the University of Sydney, Australia, behaves like a typical aromatic molecule. Explain, using the Hückel 4n + 2 rule.

Two interconvertible structures of N-phenylsydnone. In both structures, the nitrogen atom bonded to the benzene ring has a positive charge.
Problem 15-45
Show the relative energy levels of the seven π molecular orbitals of the cycloheptatrienyl system. Tell which of the seven orbitals are filled in the cation, radical, and anion, and account for the aromaticity of the cycloheptatrienyl cation.
Problem 15-46
1-Phenyl-2-butene has an ultraviolet absorption at λmax = 208 nm (ε = 8000). On treatment with a small amount of strong acid, isomerization occurs and a new substance with λmax = 250 nm (ε = 15,800) is formed. Propose a structure for this isomer, and suggest a mechanism for its formation.
Problem 15-47
Propose structures for aromatic compounds that have the following 1H NMR spectra:
(a)

C8H9Br

IR absorption at 820 cm–1

The 1 H N M R spectrum of C 8 H 9 Br shows peaks in parts per million at 0 (T M S), 1.2 (triplet), 2.6 (quartet), 7.1 (doublet), and 7.4 (doublet).
(b)

C9H12

IR absorption at 750 cm–1

The 1 H N M R spectrum of C 9 H 12 shows peaks in parts per million at 0 (T M S), 1.2 (triplet), 2.3 (singlet), 2.6 (quartet) and 7.1 (multiplet).
(c)

C11H16

IR absorption at 820 cm–1

The 1 H N M R spectrum of C 11 H 6 shows peaks in parts per million at 0 (T M S), 1.3 (singlet), 2.3 (singlet), 7.0 (doublet), and 7.3 (doublet).
Problem 15-48

Propose a structure for a molecule C14H12 that has the following 1H NMR spectrum and has IR absorptions at 700, 740, and 890 cm–1:

The 1 H N M R spectrum of C 14 H 12 shows peaks in parts per million at 0 (T M S), 5.4 (singlet), and 7.3 (singlet).
Problem 15-49

The proton NMR spectrum for a compound with formula C10H12O2 is shown. The infrared spectrum has a strong band at 1711 cm–1. The normal carbon-13 NMR spectral results are tabulated along with the DEPT-135 and DEPT-90 information. Draw the structure of this compound.

Normal Carbon DEPT-135 DEPT-90
 29 ppm Positive No peak
 50 Negative No peak
 55 Positive No peak
114 Positive Positive
126 No peak No peak
130 Positive Positive
159 No peak No peak
207 No peak No peak
The 1 H N M R spectrum of C 10 H 12 O 2 shows peaks in parts per million at 2.1 (singlet), 3.6 (singlet), 3.7 (singlet), 6.8 (doublet), and 7.1 (doublet).
Problem 15-50

The proton NMR spectrum of a compound with formula C6H5NCl2 is shown. The normal carbon-13 and DEPT experimental results are tabulated. The infrared spectrum shows peaks at 3432 and 3313 cm–1 and a series of medium-sized peaks between 1618 and 1466 cm–1. Draw the structure of this compound.

Normal Carbon DEPT-135 DEPT-90
118.0 ppm Positive Positive
119.5 No peak No peak
128.0 Positive Positive
140.0 No peak No peak
The 1 H N M R spectrum of C 6 H 5 N C l 2 shows peaks in parts per million at 4.4 (broad), 6.6 (triplet), and 7.3 (doublet).
Problem 15-51
Aromatic substitution reactions occur by addition of an electrophile such as Br+ to an aromatic ring to yield an allylic carbocation intermediate, followed by loss of H+. Show the structure of the intermediate formed by reaction of benzene with Br+.
Problem 15-52
The substitution reaction of toluene with Br2 can, in principle, lead to the formation of three isomeric bromotoluene products. In practice, however, only o- and p-bromotoluene are formed in substantial amounts. The meta isomer is not formed. Draw the structures of the three possible carbocation intermediates (Problem 51), and explain why ortho and para products predominate over meta products.
Problem 15-53
Look at the following aromatic anions and their linear counterparts, and draw all of the resonance forms for each. What patterns emerge?
(a)
To the left, cycloheptatriene ring with a positive charge at the single-bonded carbon. To the right, a seven-carbon chain with three alternate double bonds. C 7 carries a positive charge.
(b)
To the left, a five-membered ring comprising of a nitrogen anion and four carbons with double bonds between them. To the right, a 4-carbon chain with two alternate double bonds bonded to N-H minus.
Problem 15-54

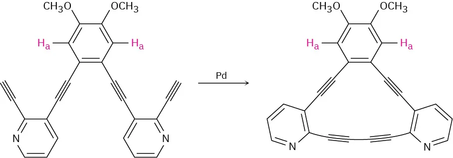
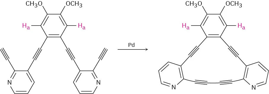
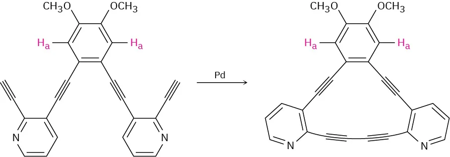
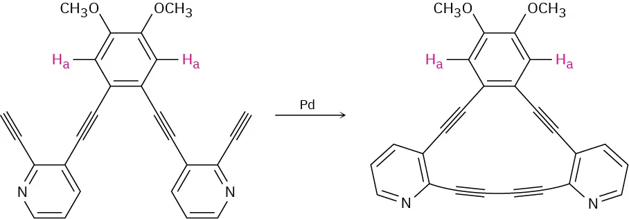
After the following reaction, the chemical shift of Ha moves downfield from 6.98 ppm to 7.30 ppm. Explain.

Benzene bonded to two methoxy and two ethyne chains. C 2 of each ethyne is bonded to position 3 of a pyridine ring where position 2 of that ring is bonded to another ethyne group. Palladium catalyzes a cyclization of this compound.
Problem 15-55

The following compound is the product initially formed in a Claisen rearrangement, which we’ll see in Section 18.4. This product is not isolated, but tautomerizes to its enol form. Give the structure of the enol and provide an explanation as to why the enol tautomer is favored.

A reversible reaction shows cyclohexadiene with a carbonyl group at C1 and a 3-carbon chain with terminal double bond at C 2 forming unknown product(s), represented by a question mark.
Problem 15-56
Compounds called azo dyes are the major source of artificial color in textiles and food. Part of the reason for their intense coloring is the conjugation from an electron-donating group through the diazo bridge (−N=N−) to an electron-withdrawing group on the other side. For the following azo dyes, draw a resonance form that shows how the electron-donating group is related to the electron-withdrawing group on the other side of the diazo bridge. Used curved arrows to show how the electrons are reorganized.
(a)
(b)
Citation/Attribution

This book may not be used in the training of large language models or otherwise be ingested into large language models or generative AI offerings without OpenStax's permission.

Want to cite, share, or modify this book? This book uses the Creative Commons Attribution-NonCommercial-ShareAlike License and you must attribute OpenStax.

Attribution information
  • If you are redistributing all or part of this book in a print format, then you must include on every physical page the following attribution:

    Access for free at https://openstax.org/books/organic-chemistry/pages/1-why-this-chapter

  • If you are redistributing all or part of this book in a digital format, then you must include on every digital page view the following attribution:

    Access for free at https://openstax.org/books/organic-chemistry/pages/1-why-this-chapter

Citation information

© Jul 9, 2025 OpenStax. Textbook content produced by OpenStax is licensed under a Creative Commons Attribution-NonCommercial-ShareAlike License . The OpenStax name, OpenStax logo, OpenStax book covers, OpenStax CNX name, and OpenStax CNX logo are not subject to the Creative Commons license and may not be reproduced without the prior and express written consent of Rice University.