Skip to ContentGo to accessibility pageKeyboard shortcuts menu
OpenStax Logo
Organic Chemistry

Additional Problems

Organic ChemistryAdditional Problems
Search for key terms or text.

14 • Additional Problems

14 • Additional Problems

Visualizing Chemistry

Problem 14-16

Show the structures of all possible adducts of the following diene with 1 equivalent of HCl:

The ball-and-stick model has a cyclopentene ring. C 1 is bonded to an ethene group.
Problem 14-17

Show the product of the Diels–Alder reaction of the following diene with 3-buten-2-one,
H2C = CHCOCH3. Make sure you show the full stereochemistry of the reaction product.

The ball-and-stick model has a cyclopentene ring. C 1 of the ring is bonded to C1 of another cyclopentene ring.
Problem 14-18

The following diene does not undergo Diels–Alder reactions. Explain.

The ball-and-stick model has cyclohexene. C 1 is bonded to 3-carbon chain with double bond at C 1. C 2 of ring and chain are each bonded to a methyl group.
Problem 14-19

The following model is that of an allylic carbocation intermediate formed by protonation of a conjugated diene with HBr. Show the structure of the diene and the structures of the final reaction products.

The ball-and-stick model has a 6-carbon chain. C 3 is bonded to a methyl group. Gray and white spheres represent carbon and hydrogen atoms, respectively.

Mechanism Problems

Problem 14-20
Predict the major product(s) from the addition of 1 equivalent of HX and show the mechanism for each of the following reactions.
(a)
A 6-carbon chain with double bonds between C 2-C 3 and C 4-C 5 reacts with hydrogen chloride at 40 degrees Celsius. Product is not shown.
(b)
A 5-carbon chain with double bonds between C 1-C 2 and C 3-C 4, and methyl at C 3 reacts with hydrogen bromide at 40 degrees Celsius. Product is not shown.
(c)
A 4-membered ring with double-bonded methylene groups at C 1 and C 2 reacts with hydrogen chloride at 0 degrees Celsius. Product is not shown.
Problem 14-21

We’ve seen that the Diels–Alder cycloaddition reaction is a one-step, pericyclic process that occurs through a cyclic transition state. Propose a mechanism for the following reaction:

When heated, an 8-membered ring with two double bonds between C 2-C 3 and C 5-C 6 forms benzene and ethene.
Problem 14-22
In light of your answer to Problem 14-21 propose mechanisms for the following reactions.
(a)
When heated, a 6-membered ring made of one oxygen and five carbon atoms with two double bonds and a carbonyl group at position 2 reacts with an alkyne, forming a benzene ring and carbon dioxide..
(b)
A 6-membered ring made of two carbons and four nitrogens (at positions 1, 2, 4, and 5) with alternate double bonds, and with methyl groups at positions 3 and 6 reacts with benzene bonded to ethyne.
Problem 14-23

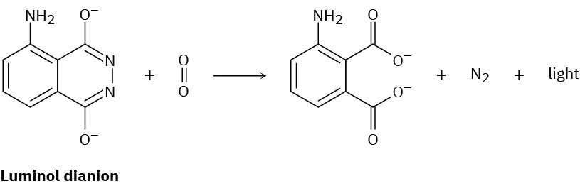
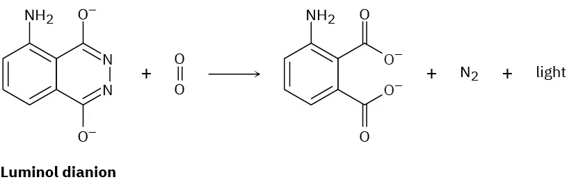
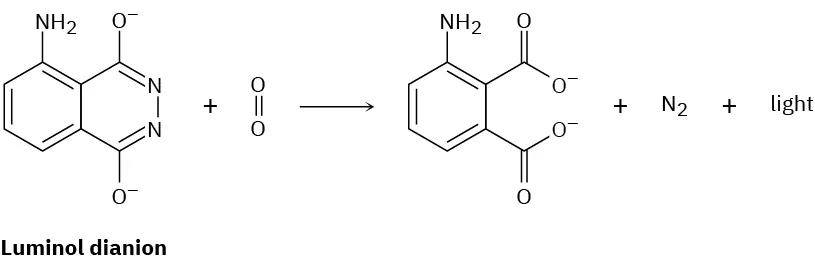
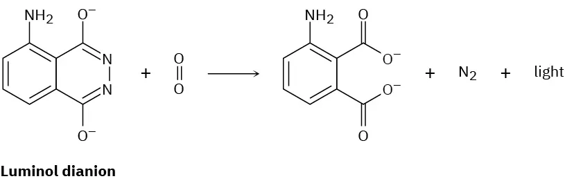
Luminol, which is used by forensic scientists to find blood, fluoresces as a result of Diels–Alder-like process. The dianion of luminol reacts with O2 to form an unstable peroxide intermediate that then loses nitrogen to form a dicarboxylate and emit light. The process is similar to that in Problems 14-21 and 14-22. Propose a mechanism for this process.

Luminol dianion reacts with molecular oxygen to yield aniline with carboxylate groups bonded at positions 2 and 3. Molecular nitrogen is a byproduct and light is generated.
Problem 14-24

A useful diene in the synthesis of many naturally occurring substances is known as Danishefsky’s diene. It’s useful because after the Diels–Alder reaction it can be converted into a product that can't be accessed by a typical Diels–Alder reaction. Show the Diels–Alder adduct and propose a mechanism that accounts for the final products.

When heated, Danishefsky’s Diene reacts with ethene bound to an aldehyde group to yield Diels–Alder Adduct that reacts with hydrogen chloride to yield three products.

Conjugated Dienes

Problem 14-25
Name the following compounds:
(a)
The condensed structural formula has a 6-carbon chain with double bonds between C 2-C 3 and C 4-C 5. C 3 is single bonded to a methyl group.
(b)
The condensed structural formula has a 7-carbon chain with double bonds between C 1-C 2, C 3-C 4, and C 5-C 6.
(c)
The condensed structural formula has a 7-carbon chain with double bonds between C 2-C 3, C 3-C 4, and C 5-C 6.
(d)
The condensed structural formula has a 5-carbon chain with double bonds between C 1-C 2 and C 3-C 4. C 3 is further single bonded to a 3-carbon chain.
Problem 14-26
Draw and name the six possible diene isomers of formula C5H8. Which of the six are conjugated dienes?
Problem 14-27
What product(s) would you expect to obtain from reaction of 1,3-cyclohexadiene with each of the following?
(a)
1 mol Br2 in CH2Cl2
(b)
O3 followed by Zn
(c)
1 mol HCl in ether
(d)
1 mol DCl in ether
(e)
3-Buten-2-one (H2C = CHCOCH3)
(f)
Excess OsO4, followed by NaHSO3
Problem 14-28

Electrophilic addition of Br2 to isoprene (2-methyl-1,3-butadiene) yields the following product mixture:

Isoprene (2-methyl-1,3-butadiene) reacts with molecular bromine to give three products in 3, 21, and 76 percent yields.

Of the 1,2-addition products, explain why 3,4-dibromo-3-methyl-1-butene (21%) predominates over 3,4-dibromo-2-methyl-1-butene (3%).

Problem 14-29
Propose a structure for a conjugated diene that gives the same product from both 1,2 and 1,4-addition of HBr.
Problem 14-30

Draw the possible products resulting from addition of 1 equivalent of HCl to 1-phenyl-1,3-butadiene. Which would you expect to predominate, and why?

1-Phenyl-1,3-butadiene contains a benzene ring.one carbon of which is bonded to a 4-carbon chain, in which C 1 is double bonded to C 2 and C 3 is double bonded to C 4.

Diels–Alder Reactions

Problem 14-31
Predict the products of the following Diels–Alder reactions:
(a)
Cyclopentadiene reacts with maleic anhydride, a 5-membered ring with four carbons and one oxygen where the carbons either side of the oxygen are carbonyl groups.. Question mark represents the product.
(b)
Cyclohexadiene reacts with a cyclohexadiene with double bonds at C 2 and C 5, and carbonyl groups at C 1 and C 4. Question mark represents the product.
Problem 14-32

2,3-Di-tert-butyl-1,3-butadiene does not undergo Diels–Alder reactions. Explain.

2,3-Di-tert-butyl-1,3-butadiene has a 6-carbon chain with C 3 and C 4 each double bonded to methylene. C 2 and C 5 are each bonded to two methyl groups.
Problem 14-33

Show the structure, including stereochemistry, of the product from the following Diels–Alder reaction:

Benzene bonded to 4-carbon chain containing double bonds at C 1 an C 3  reacts with a four-carbon chain with a double bond between C 2 and C 3 and where C1 and C4 are carbonyl groups also bound to methoxy griups. Question mark represents the product.
Problem 14-34
How can you account for the fact that cis-1,3-pentadiene is much less reactive than trans-1,3-pentadiene in the Diels–Alder reaction?
Problem 14-35
Would you expect a conjugated diyne such as 1,3-butadiyne to undergo Diels–Alder reaction with a dienophile? Explain.
Problem 14-36

Reaction of isoprene (2-methyl-1,3-butadiene) with ethyl propenoate gives a mixture of two Diels–Alder adducts. Show the structure of both, and explain why a mixture is formed.

A 4-carbon chain with  double bonds between C1-C2 and C3-C4 and with a methyl group at C2 reacts with ethyl propenoate.Question mark represents the product.
Problem 14-37

Rank the following dienophiles in order of their expected reactivity in the Diels–Alder reaction.

Ethene with methyl at C 1, ethene with aldehyde at C 1, ethene with both carbons each bonded to two cyano groups, and ethene with both carbons each bonded to two methyl groups.
Problem 14-38
1,3-Cyclopentadiene is very reactive in Diels–Alder cycloaddition reactions, but 1,3-cyclohexadiene is less reactive and 1,3-cycloheptadiene is nearly inert. Explain. (Molecular models are helpful.)
Problem 14-39

1,3-Pentadiene is much more reactive in Diels–Alder reactions than 2,4-pentadienal. Why might this be?

1,3-pentadiene has a 5-carbon chain with doiuble bonds between C1-C2 and C3-C4. 2,4-Pentadienal has a 5-carbon chain with doiuble bonds between C2-C3 and C4-C5 and a carbonyl group at C1
Problem 14-40
How could you use Diels–Alder reactions to prepare the following products? Show the starting diene and dienophile in each case.
(a)
A cyclohexene ring is fused to a 5-membered ring made of four carbon atoms and an oxygen atom at postion 3. Carbonds at positions 2 and 5 of the ring are carbonyls..
(b)
A 7-membered bicyclic ring. C 2 is double bonded to C 3. C 6 is bonded to a hydrogen atom and a cyano group.
(c)
Cyclohexene fused to a cyclohexane where C 1 and C 4 are carbonyls. The cyclohexane is further fused to another cyclohexene.
(d)
Cyclohexadiene ring with double bonds between C1-C2 and C4-C5. C 1 is bonded to C O 2 C H 3 group.
Problem 14-41

Show the product of the following reaction.

Cyclobutene with double bonded oxygen at C 3 reacts in the presence of zinc chloride with a 6-carbon chain that has double bonds between C 2-C 3 and C 4-C 5 .

Diene Polymers

Problem 14-42
Tires whose sidewalls are made of natural rubber tend to crack and weather rapidly in areas around cities where high levels of ozone and other industrial pollutants are found. Explain.
Problem 14-43
1,3-Cyclopentadiene polymerizes slowly at room temperature to yield a polymer that has no double bonds except on the ends. On heating, the polymer breaks down to regenerate 1,3-cyclopentadiene. Propose a structure for the product.

UV Spectroscopy

Problem 14-44
Arrange the molecules in each of the following sets according to where you would expect to find their wavelength of maximum absorption in UV spectroscopy, from shortest to longest wavelength.
(a)
Three cyclohexadienes fused to cyclohexenes. First 1,4,5,8-tetrahydronaphthalene. Second 1,6-dihydronaphthalene. Third 1,2,5,6-eetrahydronaphthaline.
(b)
Three 1,3-cyclohexadiene rings. First: with methylene groups at C 5 and C 6. Second: with methyl groups at C 5 and C 6. Third: with a methylene group at C 5 and a methyl group at C 6.
(c)
Three structures with a benzene ring at the end of a 5-carbon chain. First: Double bonds at C 1 and C 4 of the chain. Second: Double bonds at C 1 and C 3 of the chain. Third: Double bonds at C 2 and C 4 of the chain.
Problem 14-45
Which of the following compounds would you expect to have a π ​→ ​π* UV absorption in the 200 to 400 nm range?
(a)
The structure has a cyclopentene ring. C 4 is double bonded to a methylene group.
(b)
Pyridine has a 6-membered ring with nitrogen in the first position. The ring has alternate double bonds.
(c)
The condensed structural formula of a ketene reads, (C H 3) 2 C double bonded to C double bonded to O.
Problem 14-46
Would you expect allene, H2C = C = CH2, to show a UV absorption in the 200 to 400 nm range? Explain.
Problem 14-47

The following ultraviolet absorption maxima have been measured:

1,3-Butadiene 217 nm
2-Methyl-1,3-butadiene 220 nm
1,3-Pentadiene 223 nm
2,3-Dimethyl-1,3-butadiene 226 nm
2,4-Hexadiene 227 nm
2,4-Dimethyl-1,3-pentadiene 232 nm
2,5-Dimethyl-2,4-hexadiene 240 nm

What conclusion can you draw about the effect of alkyl substitution on UV absorption maxima? Approximately what effect does each added alkyl group have?

Problem 14-48
1,3,5-Hexatriene has λmax = 258 nm. In light of your answer to Problem 14-47, approximately where would you expect 2,3-dimethyl-1,3,5-hexatriene to absorb?
Problem 14-49

β-Ocimene is a pleasant-smelling hydrocarbon found in the leaves of certain herbs. It has the molecular formula C10H16 and a UV absorption maximum at 232 nm. On hydrogenation with a palladium catalyst, 2,6-dimethyloctane is obtained. Ozonolysis of β-ocimene, followed by treatment with zinc and acetic acid, produces the following four fragments:

The structures of acetone, formaldehyde, pyruvaldehyde, and malonaldehyde.
(a)
How many double bonds does β-ocimene have?
(b)
Is β-ocimene conjugated or nonconjugated?
(c)
Propose a structure for β-ocimene.
(d)
Write the reactions, showing starting material and products.

General Problems

Problem 14-50
Draw the resonance forms that result when the following dienes are protonated. If the resonance forms differ in energy, identify the most stable one.
(a)
The structure has a 6-carbon chain with double bonds between C 2-C 3 and C 4-C 5.
(b)
The structure has a cyclohexadiene ring with double bonds between C 1-C 2 and C 3-C 4. C 1 and C 4 are each bonded to a methyl group.
(c)
The structure has a cyclopentadiene ring with double bonds between C 1-C 2 and C 3-C 4. C 2 and C 3 are each bonded to a methyl group.
Problem 14-51
Answer the following questions for 1,3,5-cycloheptatriene.
(a)
How many p atomic orbitals are in the conjugated system?
(b)
How many molecular orbitals describe the conjugated system?
(c)
How many molecular orbitals are bonding molecular orbitals?
(d)
How many molecular orbitals are anti-bonding molecular orbitals?
(e)
Which molecular orbitals are filled with electrons?
(f)
If this molecule were to absorb a photon of UV light an electron would move between which two molecular orbitals (be specific)?
Problem 14-52
Treatment of 3,4-dibromohexane with strong base leads to loss of 2 equivalents of HBr and formation of a product with formula C6H10. Three products are possible. Name each of the three, and tell how you would use 1H and 13C NMR spectroscopy to help identify them. How would you use UV spectroscopy?
Problem 14-53

Addition of HCl to 1-methoxycyclohexene yields 1-chloro-1-methoxycyclohexane as a sole product. Use resonance structures to explain why none of the other regioisomer is formed.

A cyclohexene with a double bond between C1-C2 and a methoxy group at C1 reacts with hydrogen chloride to form a cyclohexane ring, in which C 1 is bonded to a methoxy group and a chlorine atom.
Problem 14-54

Aldrin, a chlorinated insecticide now banned from use in most countries since 1990, can be made by Diels–Alder reaction of hexachloro-1,3-cyclopentadiene with norbornadiene. What is the structure of aldrin?

The structure of norbornadiene has a 7-membered bicyclic ring with two double bonds.
Problem 14-55
Norbornadiene (Problem 14-54) can be prepared by reaction of chloroethylene with 1,3-cyclopentadiene, followed by treatment of the product with sodium ethoxide. Write the overall scheme, and identify the two kinds of reactions.
Problem 14-56

The triene shown here reacts with 2 equivalents of maleic anhydride to yield a product with the formula C17H16O6. Predict a structure for the product.

A cyclohexene with an ethene group at C 2 and a  methylene at C 3 reacts with 2 equivalents of maleic anhydride to form C 17 H 16 O 6.
Problem 14-57

Myrcene, C10H16, is found in oil of bay leaves and is isomeric with β-ocimene (Problem 14-49). It has an ultraviolet absorption at 226 nm and can be hydrogenated to yield 2,6-dimethyloctane. On ozonolysis followed by zinc/acetic acid treatment, myrcene yields formaldehyde, acetone, and 2-oxopentanedial:

The condensed structure of 2-oxopentanedial has a 5-carbon chain. C 1, C 2, and C 5 are each double-bonded to an oxygen atom.

Propose a structure for myrcene, and write the reactions, showing starting material and products.

Problem 14-58

Hydrocarbon A, C10H14, has a UV absorption at λmax = 236 nm and gives hydrocarbon B, C10H18, on hydrogenation. Ozonolysis of A, followed by zinc/acetic acid treatment, yields the following diketo dialdehyde:

The condensed formula of compound has a 10-carbon chain. C 1, C 5, C 6, and C 10 are all double-bonded to oxygen atoms.

An illustration shows the structure of diketo dialdehyde. It shows two carbonyl groups single bonded to each other. Each carbonyl group is bonded to a chain of three methylene groups and then to an aldehyde group.

(a)
Propose two possible structures for A.
(b)
Hydrocarbon A reacts with maleic anhydride to yield a Diels–Alder adduct. Which of your structures for A is correct?
(c)
Write the reactions, showing the starting material and products.
Problem 14-59

Adiponitrile, a starting material used in the manufacture of nylon, can be prepared in three steps from 1,3-butadiene. How would you carry out this synthesis?

A 3-step reaction shows the formation of adiponitrile from 1,3-butadiene
Problem 14-60

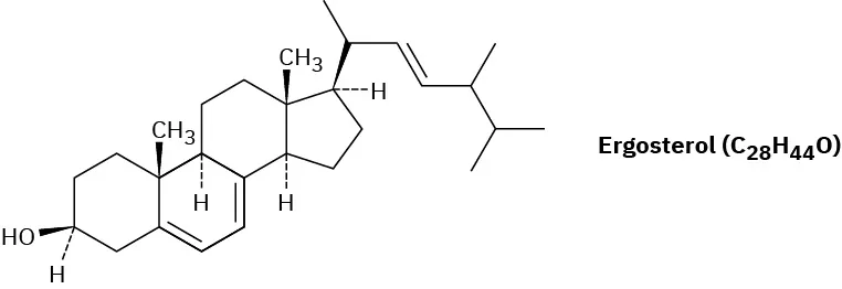
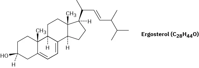
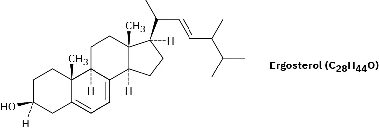
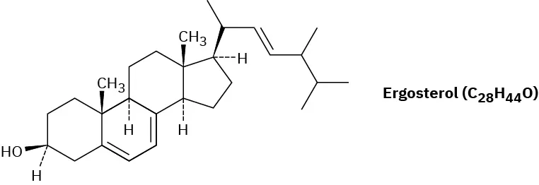
Ergosterol, a precursor of vitamin D, has λmax = 282 nm and molar absorptivity ϵ = 11,900. What is the concentration of ergosterol in a solution whose absorbance A = 0.065 with a sample pathlength l = 1.00 cm?

The wedge-dash structure of ergosterol that has the chemical formula C 28 H 44 O.
Problem 14-61

Dimethyl butynedioate undergoes a Diels–Alder reaction with (2E,4E)-2,4-hexadiene. Show the structure and stereochemistry of the product.

The condensed formula of compound has a 4-carbon chain. C 2 is triple-bonded to C3. C1 and C4 are carbonyl groups each bonded to methoxy groups, C 5, C 6, and C 10 are all double-bonded to oxygen atoms.
Problem 14-62
Dimethyl butynedioate also undergoes a Diels–Alder reaction with (2E,4Z)-2,4-hexadiene, but the stereochemistry of the product is different from that of the (2E,4E) isomer (Problem 14-61). Explain.
Problem 14-63

How would you carry out the following synthesis (more than one step is required)? What stereochemical relationship between the –CO2CH3 group attached to the cyclohexane ring and the –CHO groups would your synthesis produce?

1,3-Cyclohexadiene reacts with ethene bonded to C O 2 C H 3 in the presence of an unknown reagent represented by a question mark to form a substituted product.
Problem 14-64

The double bond of an enamine (alkene + amine) is much more nucleophilic than a typical alkene double bond. Assuming that the nitrogen atom in an enamine is sp2-hybridized, draw an orbital picture of an enamine, and explain why the double bond is electron-rich.

An enamine comprises of a 2-carbon chain with a double bond between. C 1 and C 2 and a nitrogen with two R groups and a lone pair is attached to C 2.
Problem 14-65

Benzene has an ultraviolet absorption at λmax = 204 nm, and para-toluidine has λmax = 235 nm. How do you account for this difference?

The structures of benzene and para-toluidine with lambda max values of 204 and 235 nanometers, respectively.
Citation/Attribution

This book may not be used in the training of large language models or otherwise be ingested into large language models or generative AI offerings without OpenStax's permission.

Want to cite, share, or modify this book? This book uses the Creative Commons Attribution-NonCommercial-ShareAlike License and you must attribute OpenStax.

Attribution information
  • If you are redistributing all or part of this book in a print format, then you must include on every physical page the following attribution:

    Access for free at https://openstax.org/books/organic-chemistry/pages/1-why-this-chapter

  • If you are redistributing all or part of this book in a digital format, then you must include on every digital page view the following attribution:

    Access for free at https://openstax.org/books/organic-chemistry/pages/1-why-this-chapter

Citation information

© Jul 9, 2025 OpenStax. Textbook content produced by OpenStax is licensed under a Creative Commons Attribution-NonCommercial-ShareAlike License . The OpenStax name, OpenStax logo, OpenStax book covers, OpenStax CNX name, and OpenStax CNX logo are not subject to the Creative Commons license and may not be reproduced without the prior and express written consent of Rice University.