9.5 Solve Applications of Quadratic Equations
Learning Objectives
- Solve applications modeled by quadratic equations
Be Prepared 9.5
Before you get started, take this readiness quiz.
- The sum of two consecutive odd numbers is −100. Find the numbers.
If you missed this problem, review Example 2.18. - Solve:
If you missed this problem, review Example 7.35. - Find the length of the hypotenuse of a right triangle with legs 5 inches and 12 inches.
If you missed this problem, review Example 2.34.
Solve Applications Modeled by Quadratic Equations
We solved some applications that are modeled by quadratic equations earlier, when the only method we had to solve them was factoring. Now that we have more methods to solve quadratic equations, we will take another look at applications.
Let’s first summarize the methods we now have to solve quadratic equations.
Methods to Solve Quadratic Equations
- Factoring
- Square Root Property
- Completing the Square
- Quadratic Formula
As you solve each equation, choose the method that is most convenient for you to work the problem. As a reminder, we will copy our usual Problem-Solving Strategy here so we can follow the steps.
How To
Use a Problem-Solving Strategy.
- Step 1. Read the problem. Make sure all the words and ideas are understood.
- Step 2. Identify what we are looking for.
- Step 3. Name what we are looking for. Choose a variable to represent that quantity.
- Step 4. Translate into an equation. It may be helpful to restate the problem in one sentence with all the important information. Then, translate the English sentence into an algebraic equation.
- Step 5. Solve the equation using algebra techniques.
- Step 6. Check the answer in the problem and make sure it makes sense.
- Step 7. Answer the question with a complete sentence
We have solved number applications that involved consecutive even and odd integers, by modeling the situation with linear equations. Remember, we noticed each even integer is 2 more than the number preceding it. If we call the first one n, then the next one is n + 2. The next one would be n + 2 + 2 or n + 4. This is also true when we use odd integers. One set of even integers and one set of odd integers are shown below.
Some applications of odd or even consecutive integers are modeled by quadratic equations. The notation above will be helpful as you name the variables.
Example 9.35
The product of two consecutive odd integers is 195. Find the integers.
Solution
Try It 9.69
The product of two consecutive odd integers is 99. Find the integers.
Try It 9.70
The product of two consecutive even integers is 168. Find the integers.
We will use the formula for the area of a triangle to solve the next example.
Area of a Triangle
For a triangle with base, b, and height, h, the area, A, is given by the formula
Recall that when we solve geometric applications, it is helpful to draw the figure.
Example 9.36
An architect is designing the entryway of a restaurant. She wants to put a triangular window above the doorway. Due to energy restrictions, the window can only have an area of 120 square feet and the architect wants the base to be 4 feet more than twice the height. Find the base and height of the window.
Solution
| Step 1. Read the problem. Draw a picture. |
||
| Step 2. Identify what we are looking for. | We are looking for the base and height. | |
| Step 3. Name what we are looking for. | Let h = the height of the triangle. 2h + 4 = the base of the triangle |
|
| Step 4. Translate into an equation. We know the area. Write the formula for the area of a triangle. |
||
| Step 5. Solve the equation. Substitute in the values. |
||
| Distribute. | ||
| This is a quadratic equation, rewrite it in standard form. | ||
| Factor. | ||
| Use the Zero Product Property. | ||
| Simplify. | ||
| Since h is the height of a window, a value of h = −12 does not make sense. | ||
| The height of the triangle | ||
| The base of the triangle |
||
| Step 6. Check the answer. Does a triangle with height 10 and base 24 have area 120? Yes. |
||
| Step 7. Answer the question. | The height of the triangular window is 10 feet and the base is 24 feet. | |
Try It 9.71
Find the base and height of a triangle whose base is four inches more than six times its height and has an area of 456 square inches.
Try It 9.72
If a triangle that has an area of 110 square feet has a base that is two feet less than twice the height, what is the length of its base and height?
In the two preceding examples, the number in the radical in the Quadratic Formula was a perfect square and so the solutions were rational numbers. If we get an irrational number as a solution to an application problem, we will use a calculator to get an approximate value.
We will use the formula for the area of a rectangle to solve the next example.
Area of a Rectangle
For a rectangle with length, L, and width, W, the area, A, is given by the formula A = LW.
Example 9.37
Mike wants to put 150 square feet of artificial turf in his front yard. This is the maximum area of artificial turf allowed by his homeowners association. He wants to have a rectangular area of turf with length one foot less than 3 times the width. Find the length and width. Round to the nearest tenth of a foot.
Solution
| Step 1. Read the problem. Draw a picture. |
|
| Step 2. Identify what we are looking for. | We are looking for the length and width. |
| Step 3. Name what we are looking for. | Let the width of the rectangle. the length of the rectangle |
| Step 4. Translate into an equation. We know the area. Write the formula for the area of a rectangle. |
|
| Step 5. Solve the equation. Substitute in the values. | |
| Distribute. | |
| This is a quadratic equation; rewrite it in standard form. Solve the equation using the Quadratic Formula. |
|
| Identify the values. | |
| Write the Quadratic Formula. | |
| Then substitute in the values of . | |
| Simplify. |
|
| Rewrite to show two solutions. | |
| Approximate the answers using a calculator. We eliminate the negative solution for the width. |
|
| Step 6. Check the answer. Make sure that the answers make sense. Since the answers are approximate, the area will not come out exactly to 150. |
|
| Step 7. Answer the question. | The width of the rectangle is approximately 7.2 feet and the length is approximately 20.6 feet. |
Try It 9.73
The length of a 200 square foot rectangular vegetable garden is four feet less than twice the width. Find the length and width of the garden, to the nearest tenth of a foot.
Try It 9.74
A rectangular tablecloth has an area of 80 square feet. The width is 5 feet shorter than the length.What are the length and width of the tablecloth to the nearest tenth of a foot.?
The Pythagorean Theorem gives the relation between the legs and hypotenuse of a right triangle. We will use the Pythagorean Theorem to solve the next example.
Pythagorean Theorem
In any right triangle, where a and b are the lengths of the legs, and c is the length of the hypotenuse, a2 + b2 = c2.
Example 9.38
Rene is setting up a holiday light display. He wants to make a ‘tree’ in the shape of two right triangles, as shown below, and has two 10-foot strings of lights to use for the sides. He will attach the lights to the top of a pole and to two stakes on the ground. He wants the height of the pole to be the same as the distance from the base of the pole to each stake. How tall should the pole be?
Solution
| Step 1. Read the problem. Draw a picture. | |
| Step 2. Identify what we are looking for. | We are looking for the height of the pole. |
| Step 3. Name what we are looking for. | The distance from the base of the pole to either stake is the same as the height of the pole. Let the height of the pole. the distance from pole to stake Each side is a right triangle. We draw a picture of one of them. |
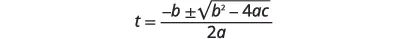
| Step 4. Translate into an equation. We can use the Pythagorean Theorem to solve for x. Write the Pythagorean Theorem. |
|
| Step 5. Solve the equation. Substitute. | |
| Simplify. | |
| Divide by 2 to isolate the variable. | |
| Simplify. | |
| Use the Square Root Property. | |
| Simplify the radical. | |
| Rewrite to show two solutions. | |
| If we approximate this number to the nearest tenth with a calculator, we find . |
|
| Step 6. Check the answer. Check on your own in the Pythagorean Theorem. |
|
| Step 7. Answer the question. | The pole should be about 7.1 feet tall. |
Try It 9.75
The sun casts a shadow from a flag pole. The height of the flag pole is three times the length of its shadow. The distance between the end of the shadow and the top of the flag pole is 20 feet. Find the length of the shadow and the length of the flag pole. Round to the nearest tenth.
Try It 9.76
The distance between opposite corners of a rectangular field is four more than the width of the field. The length of the field is twice its width. Find the distance between the opposite corners. Round to the nearest tenth.
The height of a projectile shot upward from the ground is modeled by a quadratic equation. The initial velocity, v0, propels the object up until gravity causes the object to fall back down.
Projectile motion
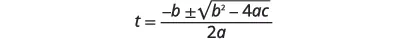
The height in feet, h , of an object shot upwards into the air with initial velocity, , after seconds is given by the formula
We can use this formula to find how many seconds it will take for a firework to reach a specific height.
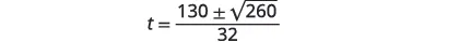
Example 9.39
A firework is shot upwards with initial velocity 130 feet per second. How many seconds will it take to reach a height of 260 feet? Round to the nearest tenth of a second.
Solution
| Step 1. Read the problem. | |
| Step 2. Identify what we are looking for. | We are looking for the number of seconds, which is time. |
| Step 3. Name what we are looking for. | Let the number of seconds. |
| Step 4. Translate into an equation. Use the formula. | |
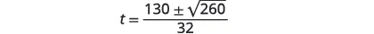
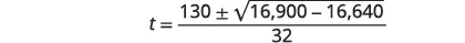
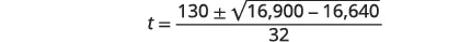
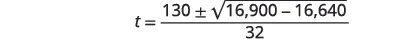
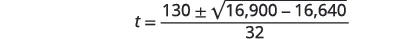
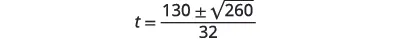
| Step 5. Solve the equation. We know the velocity is 130 feet per second. The height is 260 feet. Substitute the values. |
|
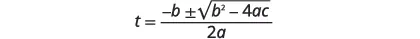
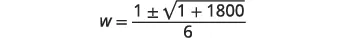
| This is a quadratic equation, rewrite it in standard form. Solve the equation using the Quadratic Formula. |
|
| Identify the values of | |
| Write the Quadratic Formula. | |
| Then substitute in the values of . | |
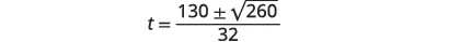
| Simplify. |
|
| Rewrite to show two solutions. | |
| Approximate the answer with a calculator. | |
| Step 6. Check the answer. The check is left to you. |
|
| Step 7. Answer the question. | The firework will go up and then fall back down. As the firework goes up, it will reach 260 feet after approximately 3.6 seconds. It will also pass that height on the way down at 4.6 seconds. |
Try It 9.77
An arrow is shot from the ground into the air at an initial speed of 108 ft/s. Use the formula h = −16t2 + v0t to determine when the arrow will be 180 feet from the ground. Round the nearest tenth.
Try It 9.78
A man throws a ball into the air with a velocity of 96 ft/s. Use the formula h = −16t2 + v0t to determine when the height of the ball will be 48 feet. Round to the nearest tenth.
We have solved uniform motion problems using the formula D = rt in previous chapters. We used a table like the one below to organize the information and lead us to the equation.
The formula D = rt assumes we know r and t and use them to find D. If we know D and r and need to find t, we would solve the equation for t and get the formula
Some uniform motion problems are also modeled by quadratic equations.
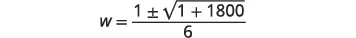
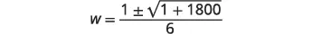
Example 9.40
Professor Smith just returned from a conference that was 2,000 miles east of his home. His total time in the airplane for the round trip was 9 hours. If the plane was flying at a rate of 450 miles per hour, what was the speed of the jet stream?
Solution
This is a uniform motion situation. A diagram will help us visualize the situation.
We fill in the chart to organize the information.
When the plane flies with the wind, the wind increases its speed and so the rate is 450 + r.
When the plane flies against the wind, the wind decreases its speed and the rate is 450 − r.
| Write in the rates. Write in the distances. Since , we solve for and get . We divide the distance by the rate in each row, and place the expression in the time column. |
|
| We know the times add to 9 and so we write our equation. |
|
| We multiply both sides by the LCD. | |
| Simplify. | |
| Factor the 2,000. | |
| Solve. | |
| Divide by 9. | |
| Simplify. | |
| Check: Is 50 mph a reasonable speed for the jet stream? Yes. If the plane is traveling 450 mph and the wind is 50 mph, Tailwind Headwind The times add to 9 hours, so it checks. |
|
| The speed of the jet stream was 50 mph. |
Try It 9.79
MaryAnne just returned from a visit with her grandchildren back east . The trip was 2400 miles from her home and her total time in the airplane for the round trip was 10 hours. If the plane was flying at a rate of 500 miles per hour, what was the speed of the jet stream?
Try It 9.80
Gerry just returned from a cross country trip. The trip was 3000 miles from his home and his total time in the airplane for the round trip was 11 hours. If the plane was flying at a rate of 550 miles per hour, what was the speed of the jet stream?
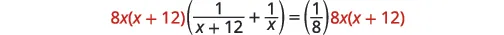
Work applications can also be modeled by quadratic equations. We will set them up using the same methods we used when we solved them with rational equations.We’ll use a similar scenario now.
Example 9.41
The weekly gossip magazine has a big story about the presidential election and the editor wants the magazine to be printed as soon as possible. She has asked the printer to run an extra printing press to get the printing done more quickly. Press #1 takes 12 hours more than Press #2 to do the job and when both presses are running they can print the job in 8 hours. How long does it take for each press to print the job alone?
Solution
This is a work problem. A chart will help us organize the information.
We are looking for how many hours it would take each press separately to complete the job.
| Let the number of hours for Press #2 to complete the job. Enter the hours per job for Press #1, Press #2, and when they work together. |
|
| The part completed by Press #1 plus the part completed by Press #2 equals the amount completed together. Translate to an equation. |
|
| Solve. | |
| Multiply by the LCD, . | |
| Simplify. |
|
| Solve. |
|
| Since the idea of negative hours does not make sense, we use the value . |
|
| Write our sentence answer. | Press #1 would take 24 hours and Press #2 would take 12 hours to do the job alone. |
Try It 9.81
The weekly news magazine has a big story naming the Person of the Year and the editor wants the magazine to be printed as soon as possible. She has asked the printer to run an extra printing press to get the printing done more quickly. Press #1 takes 6 hours more than Press #2 to do the job and when both presses are running they can print the job in 4 hours. How long does it take for each press to print the job alone?
Try It 9.82
Erlinda is having a party and wants to fill her hot tub. If she only uses the red hose it takes 3 hours more than if she only uses the green hose. If she uses both hoses together, the hot tub fills in 2 hours. How long does it take for each hose to fill the hot tub?
Media
Access these online resources for additional instruction and practice with solving applications modeled by quadratic equations.
Section 9.5 Exercises
Practice Makes Pefect
Solve Applications Modeled by Quadratic Equations
In the following exercises, solve using any method.
The product of two consecutive even numbers is 360. Find the numbers.
The product of two consecutive odd numbers is 1,023. Find the numbers.
The product of two consecutive even numbers is 528. Find the numbers.
In the following exercises, solve using any method. Round your answers to the nearest tenth, if needed.
A triangle with area 45 square inches has a height that is two less than four times the base Find the base and height of the triangle.
The base of a triangle is six more than twice the height. The area of the triangle is 88 square yards. Find the base and height of the triangle.
The area of a triangular flower bed in the park has an area of 120 square feet. The base is 4 feet longer that twice the height. What are the base and height of the triangle?
A triangular banner for the basketball championship hangs in the gym. It has an area of 75 square feet. What is the length of the base and height , if the base is two-thirds of the height?
The length of a rectangular driveway is five feet more than three times the width. The area is 50 square feet. Find the length and width of the driveway.
A rectangular lawn has area 140 square yards. Its width that is six less than twice the length. What are the length and width of the lawn?
A rectangular table for the dining room has a surface area of 24 square feet. The length is two more feet than twice the width of the table. Find the length and width of the table.
The new computer has a surface area of 168 square inches. If the the width is 5.5 inches less that the length, what are the dimensions of the computer?
The hypotenuse of a right triangle is twice the length of one of its legs. The length of the other leg is three feet. Find the lengths of the three sides of the triangle.
The hypotenuse of a right triangle is 10 cm long. One of the triangle’s legs is three times as the length of the other leg . Round to the nearest tenth. Find the lengths of the three sides of the triangle.
A rectangular garden will be divided into two plots by fencing it on the diagonal. The diagonal distance from one corner of the garden to the opposite corner is five yards longer than the width of the garden. The length of the garden is three times the width. Find the length of the diagonal of the garden.
Nautical flags are used to represent letters of the alphabet. The flag for the letter, O consists of a yellow right triangle and a red right triangle which are sewn together along their hypotenuse to form a square. The hypotenuse of the two triangles is three inches longer than a side of the flag. Find the length of the side of the flag.
Gerry plans to place a 25-foot ladder against the side of his house to clean his gutters. The bottom of the ladder will be 5 feet from the house.How for up the side of the house will the ladder reach?
John has a 10-foot piece of rope that he wants to use to support his 8-foot tree. How far from the base of the tree should he secure the rope?
A firework rocket is shot upward at a rate of 640 ft/sec. Use the projectile formula h = −16t2 + v0t to determine when the height of the firework rocket will be 1200 feet.
An arrow is shot vertically upward at a rate of 220 feet per second. Use the projectile formula h = −16t2 + v0t, to determine when height of the arrow will be 400 feet.
A bullet is fired straight up from a BB gun with initial velocity 1120 feet per second at an initial height of 8 feet. Use the formula h = −16t2 + v0t + 8 to determine how many seconds it will take for the bullet to hit the ground. (That is, when will h = 0?)
A stone is dropped from a 196-foot platform. Use the formula h = −16t2 + v0t + 196 to determine how many seconds it will take for the stone to hit the ground. (Since the stone is dropped, v0= 0.)
The businessman took a small airplane for a quick flight up the coast for a lunch meeting and then returned home. The plane flew a total of 4 hours and each way the trip was 200 miles. What was the speed of the wind that affected the plane which was flying at a speed of 120 mph?
The couple took a small airplane for a quick flight up to the wine country for a romantic dinner and then returned home. The plane flew a total of 5 hours and each way the trip was 300 miles. If the plane was flying at 125 mph, what was the speed of the wind that affected the plane?
Roy kayaked up the river and then back in a total time of 6 hours. The trip was 4 miles each way and the current was difficult. If Roy kayaked at a speed of 5 mph, what was the speed of the current?
Rick paddled up the river, spent the night camping, and and then paddled back. He spent 10 hours paddling and the campground was 24 miles away. If Rick kayaked at a speed of 5 mph, what was the speed of the current?
Two painters can paint a room in 2 hours if they work together. The less experienced painter takes 3 hours more than the more experienced painter to finish the job. How long does it take for each painter to paint the room individually?
Two gardeners can do the weekly yard maintenance in 8 minutes if they work together. The older gardener takes 12 minutes more than the younger gardener to finish the job by himself. How long does it take for each gardener to do the weekly yard maintainence individually?
It takes two hours for two machines to manufacture 10,000 parts. If Machine #1 can do the job alone in one hour less than Machine #2 can do the job, how long does it take for each machine to manufacture 10,000 parts alone?
Sully is having a party and wants to fill his swimming pool. If he only uses his hose it takes 2 hours more than if he only uses his neighbor’s hose. If he uses both hoses together, the pool fills in 4 hours. How long does it take for each hose to fill the pool?
Writing Exercises
Make up a problem involving the product of two consecutive odd integers.
ⓐ Start by choosing two consecutive odd integers. What are your integers?
ⓑ What is the product of your integers?
ⓒ Solve the equation n(n + 2) = p, where p is the product you found in part (b).
ⓓ Did you get the numbers you started with?
Make up a problem involving the product of two consecutive even integers.
ⓐ Start by choosing two consecutive even integers. What are your integers?
ⓑ What is the product of your integers?
ⓒ Solve the equation n(n + 2) = p, where p is the product you found in part (b).
ⓓ Did you get the numbers you started with?
Self Check
ⓐ After completing the exercises, use this checklist to evaluate your mastery of the objectives of this section.
ⓑ After looking at the checklist, do you think you are well-prepared for the next section? Why or why not?