Skip to ContentGo to accessibility pageKeyboard shortcuts menu
OpenStax Logo
Intermediate Algebra

9.4 Solve Quadratic Equations in Quadratic Form

Intermediate Algebra9.4 Solve Quadratic Equations in Quadratic Form
Search for key terms or text.

Learning Objectives

By the end of this section, you will be able to:
  • Solve equations in quadratic form

Be Prepared 9.4

Before you get started, take this readiness quiz.

  1. Factor by substitution: y4y220.y4y220.
    If you missed this problem, review Example 6.21.
  2. Factor by substitution: (y4)2+8(y4)+15.(y4)2+8(y4)+15.
    If you missed this problem, review Example 6.22.
  3. Simplify: x12·x14x12·x14 (x13)2(x13)2 (x−1)2.(x−1)2.
    If you missed this problem, review Example 8.33.

Solve Equations in Quadratic Form

Sometimes when we factored trinomials, the trinomial did not appear to be in the ax2 + bx + c form. So we factored by substitution allowing us to make it fit the ax2 + bx + c form. We used the standard uu for the substitution.

To factor the expression x4 − 4x2 − 5, we noticed the variable part of the middle term is x2 and its square, x4, is the variable part of the first term. (We know (x2)2=x4.(x2)2=x4.) So we let u = x2 and factored.

.
.
Let u=x2u=x2 and substitute. .
Factor the trinomial. .
Replace u with x2x2. .

Similarly, sometimes an equation is not in the ax2 + bx + c = 0 form but looks much like a quadratic equation. Then, we can often make a thoughtful substitution that will allow us to make it fit the ax2 + bx + c = 0 form. If we can make it fit the form, we can then use all of our methods to solve quadratic equations.

Notice that in the quadratic equation ax2 + bx + c = 0, the middle term has a variable, x, and its square, x2, is the variable part of the first term. Look for this relationship as you try to find a substitution.

Again, we will use the standard u to make a substitution that will put the equation in quadratic form. If the substitution gives us an equation of the form ax2 + bx + c = 0, we say the original equation was of quadratic form.

The next example shows the steps for solving an equation in quadratic form.

Example 9.30

How to Solve Equations in Quadratic Form

Solve: 6x47x2+2=06x47x2+2=0

Try It 9.59

Solve: x46x2+8=0x46x2+8=0.

Try It 9.60

Solve: x411x2+28=0x411x2+28=0.

We summarize the steps to solve an equation in quadratic form.

How To

Solve equations in quadratic form.

  1. Step 1. Identify a substitution that will put the equation in quadratic form.
  2. Step 2. Rewrite the equation with the substitution to put it in quadratic form.
  3. Step 3. Solve the quadratic equation for u.
  4. Step 4. Substitute the original variable back into the results, using the substitution.
  5. Step 5. Solve for the original variable.
  6. Step 6. Check the solutions.

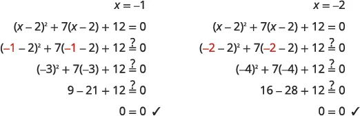
In the next example, the binomial in the middle term, (x − 2) is squared in the first term. If we let u = x − 2 and substitute, our trinomial will be in ax2 + bx + c form.

Example 9.31

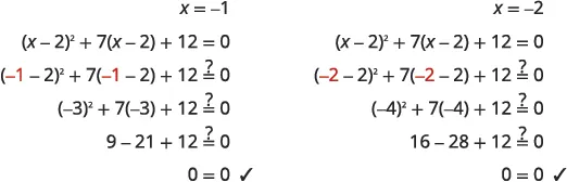
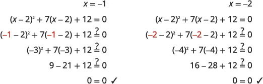
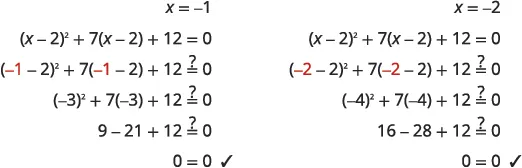
Solve: (x2)2+7(x2)+12=0.(x2)2+7(x2)+12=0.

Try It 9.61

Solve: (x5)2+6(x5)+8=0.(x5)2+6(x5)+8=0.

Try It 9.62

Solve: (y4)2+8(y4)+15=0.(y4)2+8(y4)+15=0.

In the next example, we notice that (x)2=x.(x)2=x. Also, remember that when we square both sides of an equation, we may introduce extraneous roots. Be sure to check your answers!

Example 9.32

Solve: x3x+2=0.x3x+2=0.

Try It 9.63

Solve: x7x+12=0.x7x+12=0.

Try It 9.64

Solve: x6x+8=0.x6x+8=0.

Substitutions for rational exponents can also help us solve an equation in quadratic form. Think of the properties of exponents as you begin the next example.

Example 9.33

Solve: x232x1324=0.x232x1324=0.

Try It 9.65

Solve: x235x1314=0.x235x1314=0.

Try It 9.66

Solve: x12+8x14+15=0.x12+8x14+15=0.

In the next example, we need to keep in mind the definition of a negative exponent as well as the properties of exponents.

Example 9.34

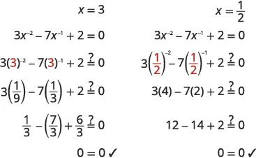
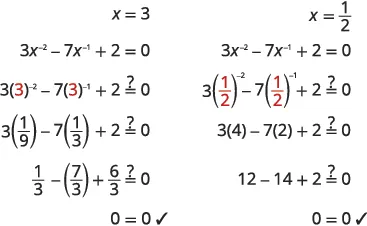
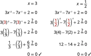
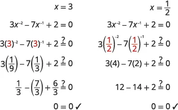
Solve: 3x−27x−1+2=0.3x−27x−1+2=0.

Try It 9.67

Solve: 8x−210x−1+3=0.8x−210x−1+3=0.

Try It 9.68

Solve: 6x−223x−1+20=0.6x−223x−1+20=0.

Media

Access this online resource for additional instruction and practice with solving quadratic equations.

Section 9.4 Exercises

Practice Makes Perfect

Solve Equations in Quadratic Form

In the following exercises, solve.

155.

x 4 7 x 2 + 12 = 0 x 4 7 x 2 + 12 = 0

156.

x 4 9 x 2 + 18 = 0 x 4 9 x 2 + 18 = 0

157.

x 4 13 x 2 30 = 0 x 4 13 x 2 30 = 0

158.

x 4 + 5 x 2 36 = 0 x 4 + 5 x 2 36 = 0

159.

2 x 4 5 x 2 + 3 = 0 2 x 4 5 x 2 + 3 = 0

160.

4 x 4 5 x 2 + 1 = 0 4 x 4 5 x 2 + 1 = 0

161.

2 x 4 7 x 2 + 3 = 0 2 x 4 7 x 2 + 3 = 0

162.

3 x 4 14 x 2 + 8 = 0 3 x 4 14 x 2 + 8 = 0

163.

( x 3 ) 2 5 ( x 3 ) 36 = 0 ( x 3 ) 2 5 ( x 3 ) 36 = 0

164.

( x + 2 ) 2 3 ( x + 2 ) 54 = 0 ( x + 2 ) 2 3 ( x + 2 ) 54 = 0

165.

( 3 y + 2 ) 2 + ( 3 y + 2 ) 6 = 0 ( 3 y + 2 ) 2 + ( 3 y + 2 ) 6 = 0

166.

( 5 y 1 ) 2 + 3 ( 5 y 1 ) 28 = 0 ( 5 y 1 ) 2 + 3 ( 5 y 1 ) 28 = 0

167.

( x 2 + 1 ) 2 5 ( x 2 + 1 ) + 4 = 0 ( x 2 + 1 ) 2 5 ( x 2 + 1 ) + 4 = 0

168.

( x 2 4 ) 2 4 ( x 2 4 ) + 3 = 0 ( x 2 4 ) 2 4 ( x 2 4 ) + 3 = 0

169.

2 ( x 2 5 ) 2 5 ( x 2 5 ) + 2 = 0 2 ( x 2 5 ) 2 5 ( x 2 5 ) + 2 = 0

170.

2 ( x 2 5 ) 2 7 ( x 2 5 ) + 6 = 0 2 ( x 2 5 ) 2 7 ( x 2 5 ) + 6 = 0

171.

x x 20 = 0 x x 20 = 0

172.

x 8 x + 15 = 0 x 8 x + 15 = 0

173.

x + 6 x 16 = 0 x + 6 x 16 = 0

174.

x + 4 x 21 = 0 x + 4 x 21 = 0

175.

6 x + x 2 = 0 6 x + x 2 = 0

176.

6 x + x 1 = 0 6 x + x 1 = 0

177.

10 x 17 x + 3 = 0 10 x 17 x + 3 = 0

178.

12 x + 5 x 3 = 0 12 x + 5 x 3 = 0

179.

x 2 3 + 9 x 1 3 + 8 = 0 x 2 3 + 9 x 1 3 + 8 = 0

180.

x 2 3 3 x 1 3 = 28 x 2 3 3 x 1 3 = 28

181.

x 2 3 + 4 x 1 3 = 12 x 2 3 + 4 x 1 3 = 12

182.

x 2 3 11 x 1 3 + 30 = 0 x 2 3 11 x 1 3 + 30 = 0

183.

6 x 2 3 x 1 3 = 12 6 x 2 3 x 1 3 = 12

184.

3 x 2 3 10 x 1 3 = 8 3 x 2 3 10 x 1 3 = 8

185.

8 x 2 3 43 x 1 3 + 15 = 0 8 x 2 3 43 x 1 3 + 15 = 0

186.

20 x 2 3 23 x 1 3 + 6 = 0 20 x 2 3 23 x 1 3 + 6 = 0

187.

x - 8 x 1 2 + 7 = 0 x - 8 x 1 2 + 7 = 0

188.

2 x 7 x 1 2 = 15 2 x 7 x 1 2 = 15

189.

6 x −2 + 13 x −1 + 5 = 0 6 x −2 + 13 x −1 + 5 = 0

190.

15 x −2 26 x −1 + 8 = 0 15 x −2 26 x −1 + 8 = 0

191.

8 x −2 2 x −1 3 = 0 8 x −2 2 x −1 3 = 0

192.

15 x −2 4 x −1 4 = 0 15 x −2 4 x −1 4 = 0

Writing Exercises

193.

Explain how to recognize an equation in quadratic form.

194.

Explain the procedure for solving an equation in quadratic form.

Self Check

After completing the exercises, use this checklist to evaluate your mastery of the objectives of this section.

This table provides a checklist to evaluate mastery of the objectives of this section. Choose how would you respond to the statement “I can solve equations in quadratic form.” “Confidently,” “with some help,” or “No, I don’t get it.”

On a scale of 1-10, how would you rate your mastery of this section in light of your responses on the checklist? How can you improve this?

Citation/Attribution

This book may not be used in the training of large language models or otherwise be ingested into large language models or generative AI offerings without OpenStax's permission.

Want to cite, share, or modify this book? This book uses the Creative Commons Attribution License and you must attribute OpenStax.

Attribution information
  • If you are redistributing all or part of this book in a print format, then you must include on every physical page the following attribution:

    Access for free at https://openstax.org/books/intermediate-algebra/pages/1-introduction

  • If you are redistributing all or part of this book in a digital format, then you must include on every digital page view the following attribution:

    Access for free at https://openstax.org/books/intermediate-algebra/pages/1-introduction

Citation information

© Feb 9, 2022 OpenStax. Textbook content produced by OpenStax is licensed under a Creative Commons Attribution License . The OpenStax name, OpenStax logo, OpenStax book covers, OpenStax CNX name, and OpenStax CNX logo are not subject to the Creative Commons license and may not be reproduced without the prior and express written consent of Rice University.