Skip to ContentGo to accessibility pageKeyboard shortcuts menu
OpenStax Logo
Intermediate Algebra

7.1 Multiply and Divide Rational Expressions

Intermediate Algebra7.1 Multiply and Divide Rational Expressions
Search for key terms or text.

Learning Objectives

By the end of this section, you will be able to:
  • Determine the values for which a rational expression is undefined
  • Simplify rational expressions
  • Multiply rational expressions
  • Divide rational expressions
  • Multiply and divide rational functions

Be Prepared 7.1

Before you get started, take this readiness quiz.

  1. Simplify: 90y15y2.90y15y2.
    If you missed this problem, review Example 5.13.
  2. Multiply: 1415·635.1415·635.
    If you missed this problem, review Example 1.25.
  3. Divide: 1210÷825.1210÷825.
    If you missed this problem, review Example 1.26.

We previously reviewed the properties of fractions and their operations. We introduced rational numbers, which are just fractions where the numerators and denominators are integers. In this chapter, we will work with fractions whose numerators and denominators are polynomials. We call this kind of expression a rational expression.

Rational Expression

A rational expression is an expression of the form pq,pq, where p and q are polynomials and q0.q0.

Here are some examples of rational expressions:

24565x12y4x+1x294x2+3x12x8 24565x12y4x+1x294x2+3x12x8

Notice that the first rational expression listed above, 24562456, is just a fraction. Since a constant is a polynomial with degree zero, the ratio of two constants is a rational expression, provided the denominator is not zero.

We will do the same operations with rational expressions that we did with fractions. We will simplify, add, subtract, multiply, divide and use them in applications.

Determine the Values for Which a Rational Expression is Undefined

If the denominator is zero, the rational expression is undefined. The numerator of a rational expression may be 0—but not the denominator.

When we work with a numerical fraction, it is easy to avoid dividing by zero because we can see the number in the denominator. In order to avoid dividing by zero in a rational expression, we must not allow values of the variable that will make the denominator be zero.

So before we begin any operation with a rational expression, we examine it first to find the values that would make the denominator zero. That way, when we solve a rational equation for example, we will know whether the algebraic solutions we find are allowed or not.

How To

Determine the values for which a rational expression is undefined.

  1. Step 1. Set the denominator equal to zero.
  2. Step 2. Solve the equation.

Example 7.1

Determine the value for which each rational expression is undefined:

8a2b3c8a2b3c 4b32b+54b32b+5 x+4x2+5x+6.x+4x2+5x+6.

Try It 7.1

Determine the value for which each rational expression is undefined.

3y28x3y28x 8n53n+18n53n+1 a+10a2+4a+3a+10a2+4a+3

Try It 7.2

Determine the value for which each rational expression is undefined.

4p5q4p5q y13y+2y13y+2 m5m2+m6m5m2+m6

Simplify Rational Expressions

A fraction is considered simplified if there are no common factors, other than 1, in its numerator and denominator. Similarly, a simplified rational expression has no common factors, other than 1, in its numerator and denominator.

Simplified Rational Expression

A rational expression is considered simplified if there are no common factors in its numerator and denominator.

For example,

x+2x+3is simplified because there are no common factors ofx+2andx+3. 2x3xis not simplified becausexis a common factor of2xand3x.x+2x+3is simplified because there are no common factors ofx+2andx+3. 2x3xis not simplified becausexis a common factor of2xand3x.

We use the Equivalent Fractions Property to simplify numerical fractions. We restate it here as we will also use it to simplify rational expressions.

Equivalent Fractions Property

If a, b, and c are numbers where b0,c0,b0,c0,

thenab=a·cb·canda·cb·c=ab.thenab=a·cb·canda·cb·c=ab.

Notice that in the Equivalent Fractions Property, the values that would make the denominators zero are specifically disallowed. We see b0,c0b0,c0 clearly stated.

To simplify rational expressions, we first write the numerator and denominator in factored form. Then we remove the common factors using the Equivalent Fractions Property.

Be very careful as you remove common factors. Factors are multiplied to make a product. You can remove a factor from a product. You cannot remove a term from a sum.

The rational expression is the quantity 2 times 3 times 7 divided by the quantity 3 times 5 times 7 are 3 and 7. Its common factors are 3 and 7, which are factors of the product. When they are removed, the result is two-fifths. The rational expression is the product of 3 x and the quantity x minus 9 divided by the product of 5 and the quantity x minus 9. The common factor is x minus 9, which is a factor of the product. When it is removed, the result is 3 x divided by 5. The rational expression is the quantity x plus 5 divided by 5. There is an x both the numerator and denomiantor. However, it is a term of the sum in the numerator. The rational expression has no common factors.

Removing the x’s from x+5xx+5x would be like cancelling the 2’s in the fraction 2+52!2+52!

Example 7.2

How to Simplify a Rational Expression

Simplify: x2+5x+6x2+8x+12x2+5x+6x2+8x+12.

Try It 7.3

Simplify: x2x2x23x+2.x2x2x23x+2.

Try It 7.4

Simplify: x23x10x2+x2.x23x10x2+x2.

We now summarize the steps you should follow to simplify rational expressions.

How To

Simplify a rational expression.

  1. Step 1. Factor the numerator and denominator completely.
  2. Step 2. Simplify by dividing out common factors.

Usually, we leave the simplified rational expression in factored form. This way, it is easy to check that we have removed all the common factors.

We’ll use the methods we have learned to factor the polynomials in the numerators and denominators in the following examples.

Every time we write a rational expression, we should make a statement disallowing values that would make a denominator zero. However, to let us focus on the work at hand, we will omit writing it in the examples.

Example 7.3

Simplify: 3a212ab+12b26a224b23a212ab+12b26a224b2.

Try It 7.5

Simplify: 2x212xy+18y23x227y22x212xy+18y23x227y2.

Try It 7.6

Simplify: 5x230xy+25y22x250y25x230xy+25y22x250y2.

Now we will see how to simplify a rational expression whose numerator and denominator have opposite factors. We previously introduced opposite notation: the opposite of a is aa and a=−1·a.a=−1·a.

The numerical fraction, say 7−77−7 simplifies to −1−1. We also recognize that the numerator and denominator are opposites.

The fraction aaaa, whose numerator and denominator are opposites also simplifies to −1−1.

Let’s look at the expressionba.ba Rewrite.a+b Factor out–1.−1(ab) Let’s look at the expressionba.ba Rewrite.a+b Factor out–1.−1(ab)

This tells us that baba is the opposite of ab.ab.

In general, we could write the opposite of abab as ba.ba. So the rational expression abbaabba simplifies to −1.−1.

Opposites in a Rational Expression

The opposite of abab is ba.ba.

abba=−1ababba=−1ab

An expression and its opposite divide to −1.−1.

We will use this property to simplify rational expressions that contain opposites in their numerators and denominators. Be careful not to treat a+ba+b and b+ab+a as opposites. Recall that in addition, order doesn’t matter so a+b=b+aa+b=b+a. So if abab, then a+bb+a=1.a+bb+a=1.

Example 7.4

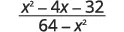
Simplify: x24x3264x2.x24x3264x2.

Try It 7.7

Simplify: x24x525x2.x24x525x2.

Try It 7.8

Simplify: x2+x21x2.x2+x21x2.

Multiply Rational Expressions

To multiply rational expressions, we do just what we did with numerical fractions. We multiply the numerators and multiply the denominators. Then, if there are any common factors, we remove them to simplify the result.

Multiplication of Rational Expressions

If p, q, r, and s are polynomials where q0,s0,q0,s0, then

pq·rs=prqspq·rs=prqs

To multiply rational expressions, multiply the numerators and multiply the denominators.

Remember, throughout this chapter, we will assume that all numerical values that would make the denominator be zero are excluded. We will not write the restrictions for each rational expression, but keep in mind that the denominator can never be zero. So in this next example, x0,x0,x3,x3, and x4.x4.

Example 7.5

How to Multiply Rational Expressions

Simplify: 2xx27x+12·x296x2.2xx27x+12·x296x2.

Try It 7.9

Simplify: 5xx2+5x+6·x2410x.5xx2+5x+6·x2410x.

Try It 7.10

Simplify: 9x2x2+11x+30·x2363x2.9x2x2+11x+30·x2363x2.

How To

Multiply rational expressions.

  1. Step 1. Factor each numerator and denominator completely.
  2. Step 2. Multiply the numerators and denominators.
  3. Step 3. Simplify by dividing out common factors.

Example 7.6

Multiply: 3a28a3a225·a2+10a+253a214a5.3a28a3a225·a2+10a+253a214a5.

Try It 7.11

Simplify: 2x2+5x12x216·x28x+162x213x+15.2x2+5x12x216·x28x+162x213x+15.

Try It 7.12

Simplify: 4b2+7b21b2·b22b+14b2+15b4.4b2+7b21b2·b22b+14b2+15b4.

Divide Rational Expressions

Just like we did for numerical fractions, to divide rational expressions, we multiply the first fraction by the reciprocal of the second.

Division of Rational Expressions

If p, q, r, and s are polynomials where q0,r0,s0,q0,r0,s0, then

pq÷rs=pq·srpq÷rs=pq·sr

To divide rational expressions, multiply the first fraction by the reciprocal of the second.

Once we rewrite the division as multiplication of the first expression by the reciprocal of the second, we then factor everything and look for common factors.

Example 7.7

How to Divide Rational Expressions

Divide: p3+q32p2+2pq+2q2÷p2q26.p3+q32p2+2pq+2q2÷p2q26.

Try It 7.13

Simplify: x383x26x+12÷x246.x383x26x+12÷x246.

Try It 7.14

Simplify: 2z2z21÷z3z2+zz3+1.2z2z21÷z3z2+zz3+1.

How To

Divide rational expressions.

  1. Step 1. Rewrite the division as the product of the first rational expression and the reciprocal of the second.
  2. Step 2. Factor the numerators and denominators completely.
  3. Step 3. Multiply the numerators and denominators together.
  4. Step 4. Simplify by dividing out common factors.

Recall from Use the Language of Algebra that a complex fraction is a fraction that contains a fraction in the numerator, the denominator or both. Also, remember a fraction bar means division. A complex fraction is another way of writing division of two fractions.

Example 7.8

Divide: 6x27x+24x82x27x+3x25x+6.6x27x+24x82x27x+3x25x+6.

Try It 7.15

Simplify: 3x2+7x+24x+243x214x5x2+x30.3x2+7x+24x+243x214x5x2+x30.

Try It 7.16

Simplify: y2362y2+11y62y22y608y4.y2362y2+11y62y22y608y4.

If we have more than two rational expressions to work with, we still follow the same procedure. The first step will be to rewrite any division as multiplication by the reciprocal. Then, we factor and multiply.

Example 7.9

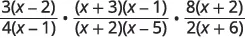
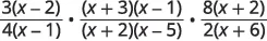
Perform the indicated operations: 3x64x4·x2+2x3x23x10÷2x+128x+16.3x64x4·x2+2x3x23x10÷2x+128x+16.

Try It 7.17

Perform the indicated operations: 4m+43m15·m23m10m24m32÷12m366m48.4m+43m15·m23m10m24m32÷12m366m48.

Try It 7.18

Perform the indicated operations: 2n2+10nn1÷n2+10n+24n2+8n9·n+48n2+12n.2n2+10nn1÷n2+10n+24n2+8n9·n+48n2+12n.

Multiply and Divide Rational Functions

We started this section stating that a rational expression is an expression of the form pq,pq, where p and q are polynomials and q0.q0. Similarly, we define a rational function as a function of the form R(x)=p(x)q(x)R(x)=p(x)q(x) where p(x)p(x) and q(x)q(x) are polynomial functions and q(x)q(x) is not zero.

Rational Function

A rational function is a function of the form

R(x)=p(x)q(x)R(x)=p(x)q(x)

where p(x)p(x) and q(x)q(x) are polynomial functions and q(x)q(x) is not zero.

The domain of a rational function is all real numbers except for those values that would cause division by zero. We must eliminate any values that make q(x)=0.q(x)=0.

How To

Determine the domain of a rational function.

  1. Step 1. Set the denominator equal to zero.
  2. Step 2. Solve the equation.
  3. Step 3. The domain is all real numbers excluding the values found in Step 2.

Example 7.10

Find the domain of R(x)=2x214x4x216x48.R(x)=2x214x4x216x48.

Try It 7.19

Find the domain of R(x)=2x210x4x216x20.R(x)=2x210x4x216x20.

Try It 7.20

Find the domain of R(x)=4x216x8x216x64.R(x)=4x216x8x216x64.

To multiply rational functions, we multiply the resulting rational expressions on the right side of the equation using the same techniques we used to multiply rational expressions.

Example 7.11

Find R(x)=f(x)·g(x)R(x)=f(x)·g(x) where f(x)=2x6x28x+15f(x)=2x6x28x+15 and g(x)=x2252x+10.g(x)=x2252x+10.

Try It 7.21

Find R(x)=f(x)·g(x)R(x)=f(x)·g(x) where f(x)=3x21x29x+14f(x)=3x21x29x+14 and g(x)=2x283x+6.g(x)=2x283x+6.

Try It 7.22

Find R(x)=f(x)·g(x)R(x)=f(x)·g(x) where f(x)=x2x3x2+27x30f(x)=x2x3x2+27x30 and g(x)=x2100x210x.g(x)=x2100x210x.

To divide rational functions, we divide the resulting rational expressions on the right side of the equation using the same techniques we used to divide rational expressions.

Example 7.12

Find R(x)=f(x)g(x)R(x)=f(x)g(x) where f(x)=3x2x24xf(x)=3x2x24x and g(x)=9x245xx27x+10.g(x)=9x245xx27x+10.

Try It 7.23

Find R(x)=f(x)g(x)R(x)=f(x)g(x) where f(x)=2x2x28xf(x)=2x2x28x and g(x)=8x2+24xx2+x6.g(x)=8x2+24xx2+x6.

Try It 7.24

Find R(x)=f(x)g(x)R(x)=f(x)g(x) where f(x)=15x23x2+33xf(x)=15x23x2+33x and g(x)=5x5x2+9x22.g(x)=5x5x2+9x22.

Section 7.1 Exercises

Practice Makes Perfect

Determine the Values for Which a Rational Expression is Undefined

In the following exercises, determine the values for which the rational expression is undefined.

1.

2x2z2x2z, 4p16p54p16p5, n3n2+2n8n3n2+2n8

2.

10m11n10m11n, 6y+134y96y+134y9, b8b236b8b236

3.

4x2y3y4x2y3y, 3x22x+13x22x+1, u1u23u28u1u23u28

4.

5pq29q5pq29q, 7a43a+57a43a+5, 1x241x24

Simplify Rational Expressions

In the following exercises, simplify each rational expression.

5.

44 55 44 55

6.

56 63 56 63

7.

8 m 3 n 12 m n 2 8 m 3 n 12 m n 2

8.

36 v 3 w 2 27 v w 3 36 v 3 w 2 27 v w 3

9.

8 n 96 3 n 36 8 n 96 3 n 36

10.

12 p 240 5 p 100 12 p 240 5 p 100

11.

x 2 + 4 x 5 x 2 2 x + 1 x 2 + 4 x 5 x 2 2 x + 1

12.

y 2 + 3 y 4 y 2 6 y + 5 y 2 + 3 y 4 y 2 6 y + 5

13.

a 2 4 a 2 + 6 a 16 a 2 4 a 2 + 6 a 16

14.

y 2 2 y 3 y 2 9 y 2 2 y 3 y 2 9

15.

p 3 + 3 p 2 + 4 p + 12 p 2 + p 6 p 3 + 3 p 2 + 4 p + 12 p 2 + p 6

16.

x 3 2 x 2 25 x + 50 x 2 25 x 3 2 x 2 25 x + 50 x 2 25

17.

8 b 2 32 b 2 b 2 6 b 80 8 b 2 32 b 2 b 2 6 b 80

18.

−5 c 2 10 c −10 c 2 + 30 c + 100 −5 c 2 10 c −10 c 2 + 30 c + 100

19.

3 m 2 + 30 m n + 75 n 2 4 m 2 100 n 2 3 m 2 + 30 m n + 75 n 2 4 m 2 100 n 2

20.

5 r 2 + 30 r s 35 s 2 r 2 49 s 2 5 r 2 + 30 r s 35 s 2 r 2 49 s 2

21.

a 5 5 a a 5 5 a

22.

5 d d 5 5 d d 5

23.

20 5 y y 2 16 20 5 y y 2 16

24.

4 v 32 64 v 2 4 v 32 64 v 2

25.

w 3 + 216 w 2 36 w 3 + 216 w 2 36

26.

v 3 + 125 v 2 25 v 3 + 125 v 2 25

27.

z 2 9 z + 20 16 z 2 z 2 9 z + 20 16 z 2

28.

a 2 5 a 36 81 a 2 a 2 5 a 36 81 a 2

Multiply Rational Expressions

In the following exercises, multiply the rational expressions.

29.

12 16 · 4 10 12 16 · 4 10

30.

32 5 · 16 24 32 5 · 16 24

31.

5 x 2 y 4 12 x y 3 · 6 x 2 20 y 2 5 x 2 y 4 12 x y 3 · 6 x 2 20 y 2

32.

12 a 3 b b 2 · 2 a b 2 9 b 3 12 a 3 b b 2 · 2 a b 2 9 b 3

33.

5 p 2 p 2 5 p 36 · p 2 16 10 p 5 p 2 p 2 5 p 36 · p 2 16 10 p

34.

3 q 2 q 2 + q 6 · q 2 9 9 q 3 q 2 q 2 + q 6 · q 2 9 9 q

35.

2 y 2 10 y y 2 + 10 y + 25 · y + 5 6 y 2 y 2 10 y y 2 + 10 y + 25 · y + 5 6 y

36.

z 2 + 3 z z 2 3 z 4 · z 4 z 2 z 2 + 3 z z 2 3 z 4 · z 4 z 2

37.

28 4 b 3 b 3 · b 2 + 8 b 9 b 2 49 28 4 b 3 b 3 · b 2 + 8 b 9 b 2 49

38.

72 m 12 m 2 8 m + 32 · m 2 + 10 m + 24 m 2 36 72 m 12 m 2 8 m + 32 · m 2 + 10 m + 24 m 2 36

39.

c 2 10 c + 25 c 2 25 · c 2 + 10 c + 25 3 c 2 14 c 5 c 2 10 c + 25 c 2 25 · c 2 + 10 c + 25 3 c 2 14 c 5

40.

2 d 2 + d 3 d 2 16 · d 2 8 d + 16 2 d 2 9 d 18 2 d 2 + d 3 d 2 16 · d 2 8 d + 16 2 d 2 9 d 18

41.

2 m 2 3 m 2 2 m 2 + 7 m + 3 · 3 m 2 14 m + 15 3 m 2 + 17 m 20 2 m 2 3 m 2 2 m 2 + 7 m + 3 · 3 m 2 14 m + 15 3 m 2 + 17 m 20

42.

2 n 2 3 n 14 25 n 2 · n 2 10 n + 25 2 n 2 13 n + 21 2 n 2 3 n 14 25 n 2 · n 2 10 n + 25 2 n 2 13 n + 21

Divide Rational Expressions

In the following exercises, divide the rational expressions.

43.

v 5 11 v ÷ v 2 25 v 11 v 5 11 v ÷ v 2 25 v 11

44.

10 + w w 8 ÷ 100 w 2 8 w 10 + w w 8 ÷ 100 w 2 8 w

45.

3 s 2 s 2 16 ÷ s 3 + 4 s 2 + 16 s s 3 64 3 s 2 s 2 16 ÷ s 3 + 4 s 2 + 16 s s 3 64

46.

r 2 9 15 ÷ r 3 27 5 r 2 + 15 r + 45 r 2 9 15 ÷ r 3 27 5 r 2 + 15 r + 45

47.

p 3 + q 3 3 p 2 + 3 p q + 3 q 2 ÷ p 2 q 2 12 p 3 + q 3 3 p 2 + 3 p q + 3 q 2 ÷ p 2 q 2 12

48.

v 3 8 w 3 2 v 2 + 4 v w + 8 w 2 ÷ v 2 4 w 2 4 v 3 8 w 3 2 v 2 + 4 v w + 8 w 2 ÷ v 2 4 w 2 4

49.

x 2 + 3 x 10 4 x ÷ ( 2 x 2 + 20 x + 50 ) x 2 + 3 x 10 4 x ÷ ( 2 x 2 + 20 x + 50 )

50.

2 y 2 10 y z 48 z 2 2 y 1 ÷ ( 4 y 2 32 y z ) 2 y 2 10 y z 48 z 2 2 y 1 ÷ ( 4 y 2 32 y z )

51.

2 a 2 a 21 5 a + 20 a 2 + 7 a + 12 a 2 + 8 a + 16 2 a 2 a 21 5 a + 20 a 2 + 7 a + 12 a 2 + 8 a + 16

52.

3 b 2 + 2 b 8 12 b + 18 3 b 2 + 2 b 8 2 b 2 7 b 15 3 b 2 + 2 b 8 12 b + 18 3 b 2 + 2 b 8 2 b 2 7 b 15

53.

12 c 2 12 2 c 2 3 c + 1 4 c + 4 6 c 2 13 c + 5 12 c 2 12 2 c 2 3 c + 1 4 c + 4 6 c 2 13 c + 5

54.

4 d 2 + 7 d 2 35 d + 10 d 2 4 7 d 2 12 d 4 4 d 2 + 7 d 2 35 d + 10 d 2 4 7 d 2 12 d 4

For the following exercises, perform the indicated operations.

55.

10 m 2 + 80 m 3 m 9 · m 2 + 4 m 21 m 2 9 m + 20 ÷ 5 m 2 + 10 m 2 m 10 10 m 2 + 80 m 3 m 9 · m 2 + 4 m 21 m 2 9 m + 20 ÷ 5 m 2 + 10 m 2 m 10

56.

4 n 2 + 32 n 3 n + 2 · 3 n 2 n 2 n 2 + n 30 ÷ 108 n 2 24 n n + 6 4 n 2 + 32 n 3 n + 2 · 3 n 2 n 2 n 2 + n 30 ÷ 108 n 2 24 n n + 6

57.

12 p 2 + 3 p p + 3 ÷ p 2 + 2 p 63 p 2 p 12 · p 7 9 p 3 9 p 2 12 p 2 + 3 p p + 3 ÷ p 2 + 2 p 63 p 2 p 12 · p 7 9 p 3 9 p 2

58.

6 q + 3 9 q 2 9 q ÷ q 2 + 14 q + 33 q 2 + 4 q 5 · 4 q 2 + 12 q 12 q + 6 6 q + 3 9 q 2 9 q ÷ q 2 + 14 q + 33 q 2 + 4 q 5 · 4 q 2 + 12 q 12 q + 6

Multiply and Divide Rational Functions

In the following exercises, find the domain of each function.

59.

R ( x ) = x 3 2 x 2 25 x + 50 x 2 25 R ( x ) = x 3 2 x 2 25 x + 50 x 2 25

60.

R ( x ) = x 3 + 3 x 2 4 x 12 x 2 4 R ( x ) = x 3 + 3 x 2 4 x 12 x 2 4

61.

R ( x ) = 3 x 2 + 15 x 6 x 2 + 6 x 36 R ( x ) = 3 x 2 + 15 x 6 x 2 + 6 x 36

62.

R ( x ) = 8 x 2 32 x 2 x 2 6 x 80 R ( x ) = 8 x 2 32 x 2 x 2 6 x 80

For the following exercises, find R(x)=f(x)·g(x)R(x)=f(x)·g(x) where f(x)f(x) and g(x)g(x) are given.

63.

f ( x ) = 6 x 2 12 x x 2 + 7 x 18 f ( x ) = 6 x 2 12 x x 2 + 7 x 18
g ( x ) = x 2 81 3 x 2 27 x g ( x ) = x 2 81 3 x 2 27 x

64.

f ( x ) = x 2 2 x x 2 + 6 x 16 f ( x ) = x 2 2 x x 2 + 6 x 16
g ( x ) = x 2 64 x 2 8 x g ( x ) = x 2 64 x 2 8 x

65.

f ( x ) = 4 x x 2 3 x 10 f ( x ) = 4 x x 2 3 x 10
g ( x ) = x 2 25 8 x 2 g ( x ) = x 2 25 8 x 2

66.

f ( x ) = 2 x 2 + 8 x x 2 9 x + 20 f ( x ) = 2 x 2 + 8 x x 2 9 x + 20
g ( x ) = x 5 x 2 g ( x ) = x 5 x 2

For the following exercises, find R(x)=f(x)g(x)R(x)=f(x)g(x) where f(x)f(x) and g(x)g(x) are given.

67.

f ( x ) = 27 x 2 3 x 21 f ( x ) = 27 x 2 3 x 21
g ( x ) = 3 x 2 + 18 x x 2 + 13 x + 42 g ( x ) = 3 x 2 + 18 x x 2 + 13 x + 42

68.

f ( x ) = 24 x 2 2 x 8 f ( x ) = 24 x 2 2 x 8
g ( x ) = 4 x 3 + 28 x 2 x 2 + 11 x + 28 g ( x ) = 4 x 3 + 28 x 2 x 2 + 11 x + 28

69.

f ( x ) = 16 x 2 4 x + 36 f ( x ) = 16 x 2 4 x + 36
g ( x ) = 4 x 2 24 x x 2 + 4 x 45 g ( x ) = 4 x 2 24 x x 2 + 4 x 45

70.

f ( x ) = 24 x 2 2 x 4 f ( x ) = 24 x 2 2 x 4
g ( x ) = 12 x 2 + 36 x x 2 11 x + 18 g ( x ) = 12 x 2 + 36 x x 2 11 x + 18

Writing Exercises

71.

Explain how you find the values of x for which the rational expression x2x20x24x2x20x24 is undefined.

72.

Explain all the steps you take to simplify the rational expression p2+4p219p2.p2+4p219p2.

73.

Multiply 74·91074·910 and explain all your steps. Multiply nn3·9n+3nn3·9n+3 and explain all your steps. Evaluate your answer to part when n=7n=7. Did you get the same answer you got in part ? Why or why not?

74.

Divide 245÷6245÷6 and explain all your steps. Divide x21x÷(x+1)x21x÷(x+1) and explain all your steps. Evaluate your answer to part when x=5.x=5. Did you get the same answer you got in part ? Why or why not?

Self Check

After completing the exercises, use this checklist to evaluate your mastery of the objectives of this section.

This table has four columns and six rows. The first row is a header and it labels each column, “I can…”, “Confidently,” “With some help,” and “No-I don’t get it!” In row 2, the I can was determine the values for which a rational expression is undefined. In row 3, the I can was simplify rationale expressions. In row 4, the I can was multiply rational expressions. In row 5, the I can was divide rational expressions. In row 6, the I can was multiply and divide rational functions. There is the nothing in the other columns.

If most of your checks were:

…confidently. Congratulations! You have achieved your goals in this section! Reflect on the study skills you used so that you can continue to use them. What did you do to become confident of your ability to do these things? Be specific!

…with some help. This must be addressed quickly as topics you do not master become potholes in your road to success. Math is sequential - every topic builds upon previous work. It is important to make sure you have a strong foundation before you move on. Who can you ask for help? Your fellow classmates and instructor are good resources. Is there a place on campus where math tutors are available? Can your study skills be improved?

…no - I don’t get it! This is critical and you must not ignore it. You need to get help immediately or you will quickly be overwhelmed. See your instructor as soon as possible to discuss your situation. Together you can come up with a plan to get you the help you need.

Citation/Attribution

This book may not be used in the training of large language models or otherwise be ingested into large language models or generative AI offerings without OpenStax's permission.

Want to cite, share, or modify this book? This book uses the Creative Commons Attribution License and you must attribute OpenStax.

Attribution information
  • If you are redistributing all or part of this book in a print format, then you must include on every physical page the following attribution:

    Access for free at https://openstax.org/books/intermediate-algebra/pages/1-introduction

  • If you are redistributing all or part of this book in a digital format, then you must include on every digital page view the following attribution:

    Access for free at https://openstax.org/books/intermediate-algebra/pages/1-introduction

Citation information

© Feb 9, 2022 OpenStax. Textbook content produced by OpenStax is licensed under a Creative Commons Attribution License . The OpenStax name, OpenStax logo, OpenStax book covers, OpenStax CNX name, and OpenStax CNX logo are not subject to the Creative Commons license and may not be reproduced without the prior and express written consent of Rice University.