By the end of this section, you will be able to:
- Use Pascal’s Triangle to expand a binomial
- Evaluate a binomial coefficient
- Use the Binomial Theorem to expand a binomial
Before you get started, take this readiness quiz.
- Simplify:
If you missed this problem, review Example 1.25.
- Expand:
If you missed this problem, review Example 5.32.
- Expand:
If you missed this problem, review Example 5.32.
Use Pascal’s Triangle to Expand a Binomial
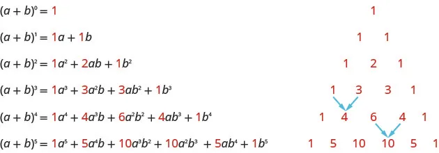
In our previous work, we have squared binomials either by using FOIL or by using the Binomial Squares Pattern. We can also say that we expanded
To expand we recognize that this is and multiply.
To find a method that is less tedious that will work for higher expansions like we again look for patterns in some expansions.
|
| Number of terms |
First term |
Last term |
|
2 |
|
|
|
3 |
|
|
|
4 |
|
|
|
5 |
|
|
|
6 |
|
|
|
n |
|
|
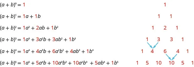
Notice the first and last terms show only one variable. Recall that so we could rewrite the first and last terms to include both variables. For example, we could expand to show each term with both variables.
Generally, we don’t show the zero exponents, just as we usually write x rather than 1x.
Patterns in the expansion of
- The number of terms is
- The first term is and the last term is
- The exponents on a decrease by one on each term going left to right.
- The exponents on b increase by one on each term going left to right.
- The sum of the exponents on any term is n.
Let’s look at an example to highlight the last three patterns.
From the patterns we identified, we see the variables in the expansion of would be
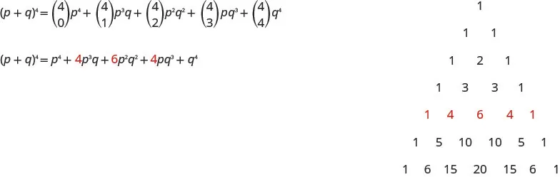
To find the coefficients of the terms, we write our expansions again focusing on the coefficients. We rewrite the coefficients to the right forming an array of coefficients.
The array to the right is called Pascal’s Triangle. Notice each number in the array is the sum of the two closest numbers in the row above. We can find the next row by starting and ending with one and then adding two adjacent numbers.
This triangle gives the coefficients of the terms when we expand binomials.
In the next example, we will use this triangle and the patterns we recognized to expand the binomial.
Use Pascal’s Triangle to expand
Solution
We know the variables for this expansion will follow the pattern we identified. The nonzero exponents of x will start at six and decrease to one. The nonzero exponents of y will start at one and increase to six. The sum of the exponents in each term will be six. In our pattern, and
Use Pascal’s Triangle to expand
Use Pascal’s Triangle to expand
In the next example we want to expand a binomial with one variable and one constant. We need to identify the a and b to carefully apply the pattern.
Use Pascal’s Triangle to expand
Solution
We identify the a and b of the pattern.
In our pattern, and
We know the variables for this expansion will follow the pattern we identified. The sum of the exponents in each term will be five.
Use Pascal’s Triangle to expand
Use Pascal’s Triangle to expand
In the next example, the binomial is a difference and the first term has a constant times the variable. Once we identify the a and b of the pattern, we must once again carefully apply the pattern.
Use Pascal’s Triangle to expand
Solution
We identify the a and b of the pattern.
In our pattern, and
Use Pascal’s Triangle to expand
Use Pascal’s Triangle to expand
Evaluate a Binomial Coefficient
While Pascal’s Triangle is one method to expand a binomial, we will also look at another method. Before we get to that, we need to introduce some more factorial notation. This notation is not only used to expand binomials, but also in the study and use of probability.
To find the coefficients of the terms of expanded binomials, we will need to be able to evaluate the notation which is called a binomial coefficient. We read as “n choose r” or “n taken r at a time”.
Binomial Coefficient
A binomial coefficient where r and n are integers with is defined as
We read as “n choose r” or “n taken r at a time”.
Evaluate: ⓐ ⓑ ⓒ ⓓ
Solution
ⓐ We will use the definition of a binomial coefficient,
ⓑ
ⓒ
ⓓ
Evaluate each binomial coefficient:
ⓐ ⓑ ⓒ ⓓ
Evaluate each binomial coefficient:
ⓐ ⓑ ⓒ ⓓ
In the previous example, parts (a), (b), (c) demonstrate some special properties of binomial coefficients.
Properties of Binomial Coefficients
Use the Binomial Theorem to Expand a Binomial
We are now ready to use the alternate method of expanding binomials. The Binomial Theorem uses the same pattern for the variables, but uses the binomial coefficient for the coefficient of each term.
For any real numbers a and b, and positive integer n,
Use the Binomial Theorem to expand
Solution
We identify the a and b of the pattern.
In our pattern, and
We use the Binomial Theorem.
Substitute in the values and
Simplify the exponents.
Evaluate the coefficients. Remember,
Use the Binomial Theorem to expand
Use the Binomial Theorem to expand
Notice that when we expanded in the last example, using the Binomial Theorem, we got the same coefficients we would get from using Pascal’s Triangle.
The next example, the binomial is a difference. When the binomial is a difference, we must be careful in identifying the values we will use in the pattern.
Use the Binomial Theorem to expand
Solution
We identify the a and b of the pattern.
In our pattern, and
We use the Binomial Theorem.
Substitute in the values and
Simplify the exponents and evaluate the coefficients. Remember,
Use the Binomial Theorem to expand
Use the Binomial Theorem to expand
Things can get messy when both terms have a coefficient and a variable.
Use the Binomial Theorem to expand
Solution
We identify the a and b of the pattern.
In our pattern, and
We use the Binomial Theorem.
Substitute in the values and
Simplify the exponents.
Evaluate the coefficients. Remember,
Use the Binomial Theorem to expand
Use the Binomial Theorem to expand
The real beauty of the Binomial Theorem is that it gives a formula for any particular term of the expansion without having to compute the whole sum. Let’s look for a pattern in the Binomial Theorem.
Notice, that in each case the exponent on the b is one less than the number of the term. The term is the term where the exponent of b is r. So we can use the format of the term to find the value of a specific term.
Find a Specific Term in a Binomial Expansion
The term in the expansion of is
Find the fourth term of
Solution
| In our pattern, and |
 |
We are looking for the fourth term.
|
|
| Write the formula. |
 |
| Substitute in the values, and |
 |
 |
 |
| Simplify. |
 |
| Simplify. |
 |
Find the third term of
Find the fifth term of
Find the coefficient of the term of
Solution
| In our pattern, then and |
 |
We are looking for the coefficient of the term. Since and we know |
|
| Write the formula. |
 |
| Substitute in the values, and |
 |
 |
 |
| Simplify. |
 |
| Simplify. |
 |
| Simplify. |
 |
|
| The coefficient of the term is 2268. |
Find the coefficient of the term of
Find the coefficient of the term of
Section 12.4 Exercises
Practice Makes Perfect
Use Pascal’s Triangle to Expand a Binomial
In the following exercises, expand each binomial using Pascal’s Triangle.
194.
204.
205.
206.
207.
208.
209.
Evaluate a Binomial Coefficient
In the following exercises, evaluate.
210.
ⓐ ⓑ ⓒ ⓓ
211.
ⓐ ⓑ ⓒ ⓓ
212.
ⓐ ⓑ ⓒ ⓓ
213.
ⓐ ⓑ ⓒ ⓓ
Use the Binomial Theorem to Expand a Binomial
In the following exercises, expand each binomial.
222.
223.
224.
225.
In the following exercises, find the indicated term in the expansion of the binomial.
226.
Sixth term of
227.
Fifth term of
228.
Fourth term of
229.
Seventh term of
In the following exercises, find the coefficient of the indicated term in the expansion of the binomial.
230.
term of
231.
term of
232.
term of
233.
term of
234.
term of
235.
term of
Writing Exercises
236.
In your own words explain how to find the rows of the Pascal’s Triangle. Write the first five rows of Pascal’s Triangle.
237.
In your own words, explain the pattern of exponents for each variable in the expansion of.
238.
In your own words, explain the difference between and
239.
In your own words, explain how to find a specific term in the expansion of a binomial without expanding the whole thing. Use an example to help explain.
Self Check
ⓐ After completing the exercises, use this checklist to evaluate your mastery of the objectives of this section.
ⓑ On a scale of 1-10, how would you rate your mastery of this section in light of your responses on the checklist? How can you improve this?