Skip to ContentGo to accessibility pageKeyboard shortcuts menu
OpenStax Logo
Intermediate Algebra

11.3 Ellipses

Intermediate Algebra11.3 Ellipses
Search for key terms or text.

Learning Objectives

By the end of this section, you will be able to:
  • Graph an ellipse with center at the origin
  • Find the equation of an ellipse with center at the origin
  • Graph an ellipse with center not at the origin
  • Solve application with ellipses

Be Prepared 11.3

Before you get started, take this readiness quiz.

  1. Graph y=(x1)22y=(x1)22 using transformations.
    If you missed this problem, review Example 9.57.
  2. Complete the square: x28x=8.x28x=8.
    If you missed this problem, review Example 9.12.
  3. Write in standard form. y=2x212x+14y=2x212x+14
    If you missed this problem, review Example 9.59.

Graph an Ellipse with Center at the Origin

The next conic section we will look at is an ellipse. We define an ellipse as all points in a plane where the sum of the distances from two fixed points is constant. Each of the given points is called a focus of the ellipse.

Ellipse

An ellipse is all points in a plane where the sum of the distances from two fixed points is constant. Each of the fixed points is called a focus of the ellipse.

This figure shows a double cone intersected by a plane to form an ellipse.

We can draw an ellipse by taking some fixed length of flexible string and attaching the ends to two thumbtacks. We use a pen to pull the string taut and rotate it around the two thumbtacks. The figure that results is an ellipse.

This figure shows a pen attached to two strings, the other ends of which are attached to two thumbtacks. The strings are pulled taut and the pen is rotated to draw an ellipse. The thumbtacks are labeled F subscript 1 and F subscript 2.

A line drawn through the foci intersect the ellipse in two points. Each point is called a vertex of the ellipse. The segment connecting the vertices is called the major axis. The midpoint of the segment is called the center of the ellipse. A segment perpendicular to the major axis that passes through the center and intersects the ellipse in two points is called the minor axis.

This figure shows two ellipses. In each, two points within the ellipse are labeled foci. A line drawn through the foci intersects the ellipse in two points. Each point is labeled a vertex. In The figure on the left, the segment connecting the vertices is called the major axis. A segment perpendicular to the major axis that passes through its midpoint and intersects the ellipse in two points is labeled minor axis. The major axis is longer than the minor axis. In The figure on the right, the segment through the foci, connecting the vertices is shorter and is labeled minor axis. Its midpoint is labeled center.

We mentioned earlier that our goal is to connect the geometry of a conic with algebra. Placing the ellipse on a rectangular coordinate system gives us that opportunity. In the figure, we placed the ellipse so the foci ((c,0),(c,0))((c,0),(c,0)) are on the x-axis and the center is the origin.

The figure on the left shows an ellipse with its center at the origin of the coordinate axes and its foci at points minus (c, 0) and (c, 0). A segment connects (negative c, 0) to a point (x, y) on the ellipse. The segment is labeled d subscript 1. Another segment, labeled d subscript 2 connects (c, 0) to (x, y). The figure on the right shows an ellipse with center at the origin, foci (negative c, 0) and (c, 0) and vertices (negative a, 0) and (a, 0). The point where the ellipse intersects the y axis is labeled (0, b). The segments connecting (0, 0) to (c, 0), (c, 0) to (0, b) and (0, b) to (0, 0) form a tight angled triangle with sides c, a and b respectively. The equation is a squared equals b squared plus c squared.

The definition states the sum of the distance from the foci to a point (x,y)(x,y) is constant. So d1+d2d1+d2 is a constant that we will call 2a2a so, d1+d2=2a.d1+d2=2a. We will use the distance formula to lead us to an algebraic formula for an ellipse.

Use the distance formula to findd1,d2.d1+d2=2a(x(c))2+(y0)2+(xc)2+(y0)2=2a After eliminating radicals and simplifying,we get:x2a2+y2a2c2=1 To simplify the equation of the ellipse, weleta2c2=b2. So, the equation of an ellipse centered at theorigin in standard form is:x2a2+y2b2=1 Use the distance formula to findd1,d2.d1+d2=2a(x(c))2+(y0)2+(xc)2+(y0)2=2a After eliminating radicals and simplifying,we get:x2a2+y2a2c2=1 To simplify the equation of the ellipse, weleta2c2=b2. So, the equation of an ellipse centered at theorigin in standard form is:x2a2+y2b2=1

To graph the ellipse, it will be helpful to know the intercepts. We will find the x-intercepts and y-intercepts using the formula.

y-intercepts Letx=0.x2a2+y2b2=102a2+y2b2=1y2b2=1y2=b2y=±b x-interceptsLety=0.x2a2+y2b2=1x2a2+02b2=1x2a2=1x2=a2x=±a They-intercepts are(0,b)and(0,b).Thex-intercepts are(a,0)and(a,0). y-intercepts Letx=0.x2a2+y2b2=102a2+y2b2=1y2b2=1y2=b2y=±b x-interceptsLety=0.x2a2+y2b2=1x2a2+02b2=1x2a2=1x2=a2x=±a They-intercepts are(0,b)and(0,b).Thex-intercepts are(a,0)and(a,0).

Standard Form of the Equation an Ellipse with Center ( 0 , 0 ) ( 0 , 0 )

The standard form of the equation of an ellipse with center (0,0),(0,0), is

x2a2+y2b2=1x2a2+y2b2=1

The x-intercepts are (a,0)(a,0) and (a,0).(a,0).

The y-intercepts are (0,b)(0,b) and (0,b).(0,b).

Two figures show ellipses with their centers on the origin of the coordinate axes. They intersect the x axis at points (negative a, 0) and (a, 0) and the y axis at points (0, b) and (0, negative b). In the figure on the left the major axis of the ellipse is along the x axis and in the figure on the right, it is along the y axis.

Notice that when the major axis is horizontal, the value of a will be greater than the value of b and when the major axis is vertical, the value of b will be greater than the value of a. We will use this information to graph an ellipse that is centered at the origin.

Ellipse with Center (0,0)(0,0)
x2a2+y2b2=1x2a2+y2b2=1 a>ba>b b>ab>a
Major axis on the x- axis. on the y-axis.
x-intercepts (a,0),(a,0),(a,0)(a,0)
y-intercepts (0,b),(0,b),(0,b)(0,b)
Table 11.2

Example 11.20

How to Graph an Ellipse with Center (0, 0)

Graph: x24+y29=1.x24+y29=1.

Try It 11.39

Graph: x24+y216=1.x24+y216=1.

Try It 11.40

Graph: x29+y216=1.x29+y216=1.

We summarize the steps for reference.

How To

How to Graph an Ellipse with Center (0,0).(0,0).

  1. Step 1. Write the equation in standard form.
  2. Step 2. Determine whether the major axis is horizontal or vertical.
  3. Step 3. Find the endpoints of the major axis.
  4. Step 4. Find the endpoints of the minor axis
  5. Step 5. Sketch the ellipse.

Sometimes our equation will first need to be put in standard form.

Example 11.21

Graph x2+4y2=16.x2+4y2=16.

Try It 11.41

Graph 9x2+16y2=144.9x2+16y2=144.

Try It 11.42

Graph 16x2+25y2=400.16x2+25y2=400.

Find the Equation of an Ellipse with Center at the Origin

If we are given the graph of an ellipse, we can find the equation of the ellipse.

Example 11.22

Find the equation of the ellipse shown.

This graph shows an ellipse with x intercepts (negative 4, 0) and (4, 0) and y intercepts (0, 3) and (0, negative 3).

Try It 11.43

Find the equation of the ellipse shown.

This graph shows an ellipse with x intercepts (negative 2, 0) and (2, 0) and y intercepts (0, 5) and (0, negative 5).

Try It 11.44

Find the equation of the ellipse shown.

This graph shows an ellipse with x intercepts (negative 3, 0) and (3, 0) and y intercepts (0, 2) and (0, negative 2).

Graph an Ellipse with Center Not at the Origin

The ellipses we have looked at so far have all been centered at the origin. We will now look at ellipses whose center is (h,k).(h,k).

The equation is (xh)2a2+(yk)2b2=1(xh)2a2+(yk)2b2=1 and when a>b,a>b, the major axis is horizontal so the distance from the center to the vertex is a. When b>a,b>a, the major axis is vertical so the distance from the center to the vertex is b.

Standard Form of the Equation an Ellipse with Center ( h , k ) ( h , k )

The standard form of the equation of an ellipse with center (h,k),(h,k), is

(xh)2a2+(yk)2b2=1(xh)2a2+(yk)2b2=1

When a>b,a>b, the major axis is horizontal so the distance from the center to the vertex is a.

When b>a,b>a, the major axis is vertical so the distance from the center to the vertex is b.

Example 11.23

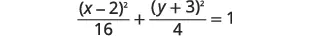
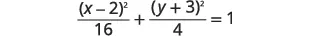
Graph: (x3)29+(y1)24=1.(x3)29+(y1)24=1.

Try It 11.45

Graph: (x+3)24+(y5)216=1.(x+3)24+(y5)216=1.

Try It 11.46

Graph: (x1)225+(y+3)216=1.(x1)225+(y+3)216=1.

If we look at the equations of x29+y24=1x29+y24=1 and (x3)29+(y1)24=1,(x3)29+(y1)24=1, we see that they are both ellipses with a=3a=3 and b=2.b=2. So they will have the same size and shape. They are different in that they do not have the same center.

The equation in the first figure is x squared upon 9 plus y squared upon 4 equals 1. Here, a is 3 and b is 2. The ellipse is graphed with center at (0, 0). The equation on the right is open parentheses x minus 3 close parentheses squared upon 9 plus open parentheses y minus 1 close parentheses squared upon 4 equals 1. Here, too, a is 3 and b is 2, but the center is (3, 1). The ellipse is shown on the same graph along with the first ellipse. The center is shown to have moved 3 units right and 1 unit up.

Notice in the graph above that we could have graphed (x3)29+(y1)24=1(x3)29+(y1)24=1 by translations. We moved the original ellipse to the right 3 units and then up 1 unit.

This graph shows an ellipse translated from center (0, 0) to center (3, 1). The center has moved 3 units right and 1 unit up. The original ellipse has vertices at (negative 3, 0) and (3, 0) and endpoint of minor axis at (negative 2, 0) and (2, 0). The translated ellipse has vertices at (0, 1) and (6, 1) and endpoints of minor axis at (3, negative 1) and (3, 3).

In the next example we will use the translation method to graph the ellipse.

Example 11.24

Graph (x+4)216+(y6)29=1(x+4)216+(y6)29=1 by translation.

Try It 11.47

Graph (x5)29+(y+4)24=1(x5)29+(y+4)24=1 by translation.

Try It 11.48

Graph (x+6)216+(y+2)225=1(x+6)216+(y+2)225=1 by translation.

When an equation has both an x2x2 and a y2y2 with different coefficients, we verify that it is an ellipsis by putting it in standard form. We will then be able to graph the equation.

Example 11.25

Write the equation x2+4y24x+24y+24=0x2+4y24x+24y+24=0 in standard form and graph.

Try It 11.49

Write the equation 6x2+4y2+12x32y+34=06x2+4y2+12x32y+34=0 in standard form and graph.

Try It 11.50

Write the equation 4x2+y216x6y+9=04x2+y216x6y+9=0 in standard form and graph.

Solve Application with Ellipses

The orbits of the planets around the sun follow elliptical paths.

Example 11.26

Pluto (a dwarf planet) moves in an elliptical orbit around the Sun. The closest Pluto gets to the Sun is approximately 30 astronomical units (AU) and the furthest is approximately 50 AU. The Sun is one of the foci of the elliptical orbit. Letting the ellipse center at the origin and labeling the axes in AU, the orbit will look like the figure below. Use the graph to write an equation for the elliptical orbit of Pluto.

This graph shows an ellipse with center (0, 0) and vertices (negative 40, 0) and (40, 0). The sun is shown at point (10, 0). This is 30 units from the right vertex and 50 units from the left vertex.

Try It 11.51

A planet moves in an elliptical orbit around its sun. The closest the planet gets to the sun is approximately 20 AU and the furthest is approximately 30 AU. The sun is one of the foci of the elliptical orbit. Letting the ellipse center at the origin and labeling the axes in AU, the orbit will look like the figure below. Use the graph to write an equation for the elliptical orbit of the planet.

This graph shows an ellipse with center (0, 0) and vertices (negative 25, 0) and (25, 0). The sun is shown at point (5, 0). This is 20 units from the right vertex and 30 units from the left vertex.

Try It 11.52

A planet moves in an elliptical orbit around its sun. The closest the planet gets to the sun is approximately 20 AU and the furthest is approximately 50 AU. The sun is one of the foci of the elliptical orbit. Letting the ellipse center at the origin and labeling the axes in AU, the orbit will look like the figure below. Use the graph to write an equation for the elliptical orbit of the planet.

This graph shows an ellipse with center (0, 0) and vertices (negative 35, 0) and (35, 0). The sun is shown at point (15, 0). This is 20 units from the right vertex and 50 units from the left vertex.

Media

Access these online resources for additional instructions and practice with ellipses.

Section 11.3 Exercises

Practice Makes Perfect

Graph an Ellipse with Center at the Origin

In the following exercises, graph each ellipse.

99.

x 2 4 + y 2 25 = 1 x 2 4 + y 2 25 = 1

100.

x 2 9 + y 2 25 = 1 x 2 9 + y 2 25 = 1

101.

x 2 25 + y 2 36 = 1 x 2 25 + y 2 36 = 1

102.

x 2 16 + y 2 36 = 1 x 2 16 + y 2 36 = 1

103.

x 2 36 + y 2 16 = 1 x 2 36 + y 2 16 = 1

104.

x 2 25 + y 2 9 = 1 x 2 25 + y 2 9 = 1

105.

x 2 + y 2 4 = 1 x 2 + y 2 4 = 1

106.

x 2 9 + y 2 = 1 x 2 9 + y 2 = 1

107.

4 x 2 + 25 y 2 = 100 4 x 2 + 25 y 2 = 100

108.

16 x 2 + 9 y 2 = 144 16 x 2 + 9 y 2 = 144

109.

16 x 2 + 36 y 2 = 576 16 x 2 + 36 y 2 = 576

110.

9 x 2 + 25 y 2 = 225 9 x 2 + 25 y 2 = 225

Find the Equation of an Ellipse with Center at the Origin

In the following exercises, find the equation of the ellipse shown in the graph.

111.


This graph shows an ellipse with center (0, 0), vertices (0, 5) and (0, negative 5) and endpoints of minor axis (negative 3, 0) and (3, 0).
112.


This graph shows an ellipse with center (0, 0), vertices (5, 0) and (negative 5, 0) and endpoints of minor axis (0, 2) and (0, negative 2).
113.


This graph shows an ellipse with center (0, 0), vertices (0, 4) and (0, negative 4) and endpoints of minor axis (negative 3, 0) and (3, 0).
114.


This graph shows an ellipse with center (0, 0), vertices (0, 6) and (0, negative 6) and endpoints of minor axis (negative 4, 0) and (4, 0).

Graph an Ellipse with Center Not at the Origin

In the following exercises, graph each ellipse.

115.

( x + 1 ) 2 4 + ( y + 6 ) 2 25 = 1 ( x + 1 ) 2 4 + ( y + 6 ) 2 25 = 1

116.

( x 3 ) 2 25 + ( y + 2 ) 2 9 = 1 ( x 3 ) 2 25 + ( y + 2 ) 2 9 = 1

117.

( x + 4 ) 2 4 + ( y 2 ) 2 9 = 1 ( x + 4 ) 2 4 + ( y 2 ) 2 9 = 1

118.

( x 4 ) 2 9 + ( y 1 ) 2 16 = 1 ( x 4 ) 2 9 + ( y 1 ) 2 16 = 1

In the following exercises, graph each equation by translation.

119.

( x 3 ) 2 4 + ( y 7 ) 2 25 = 1 ( x 3 ) 2 4 + ( y 7 ) 2 25 = 1

120.

( x + 6 ) 2 16 + ( y + 5 ) 2 4 = 1 ( x + 6 ) 2 16 + ( y + 5 ) 2 4 = 1

121.

( x 5 ) 2 9 + ( y + 4 ) 2 25 = 1 ( x 5 ) 2 9 + ( y + 4 ) 2 25 = 1

122.

( x + 5 ) 2 36 + ( y 3 ) 2 16 = 1 ( x + 5 ) 2 36 + ( y 3 ) 2 16 = 1

In the following exercises, write the equation in standard form and graph.

123.

25 x 2 + 9 y 2 100 x 54 y 44 = 0 25 x 2 + 9 y 2 100 x 54 y 44 = 0

124.

4 x 2 + 25 y 2 + 8 x + 100 y + 4 = 0 4 x 2 + 25 y 2 + 8 x + 100 y + 4 = 0

125.

4 x 2 + 25 y 2 24 x 64 = 0 4 x 2 + 25 y 2 24 x 64 = 0

126.

9 x 2 + 4 y 2 + 56 y + 160 = 0 9 x 2 + 4 y 2 + 56 y + 160 = 0

In the following exercises, graph the equation.

127.

x = −2 ( y 1 ) 2 + 2 x = −2 ( y 1 ) 2 + 2

128.

x 2 + y 2 = 49 x 2 + y 2 = 49

129.

( x + 5 ) 2 + ( y + 2 ) 2 = 4 ( x + 5 ) 2 + ( y + 2 ) 2 = 4

130.

y = x 2 + 8 x 15 y = x 2 + 8 x 15

131.

( x + 3 ) 2 16 + ( y + 1 ) 2 4 = 1 ( x + 3 ) 2 16 + ( y + 1 ) 2 4 = 1

132.

( x 2 ) 2 + ( y 3 ) 2 = 9 ( x 2 ) 2 + ( y 3 ) 2 = 9

133.

x 2 25 + y 2 36 = 1 x 2 25 + y 2 36 = 1

134.

x = 4 ( y + 1 ) 2 4 x = 4 ( y + 1 ) 2 4

135.

x 2 + y 2 = 64 x 2 + y 2 = 64

136.

x 2 9 + y 2 25 = 1 x 2 9 + y 2 25 = 1

137.

y = 6 x 2 + 2 x 1 y = 6 x 2 + 2 x 1

138.

( x 2 ) 2 9 + ( y + 3 ) 2 25 = 1 ( x 2 ) 2 9 + ( y + 3 ) 2 25 = 1

Solve Application with Ellipses

139.

A planet moves in an elliptical orbit around its sun. The closest the planet gets to the sun is approximately 10 AU and the furthest is approximately 30 AU. The sun is one of the foci of the elliptical orbit. Letting the ellipse center at the origin and labeling the axes in AU, the orbit will look like the figure below. Use the graph to write an equation for the elliptical orbit of the planet.

This graph shows an ellipse with center (0, 0), vertices (negative 20, 0) and (20, 0). The sun is shown at point (10, 0), which is 30 units from the left vertex and 10 units from the right vertex.
140.

A planet moves in an elliptical orbit around its sun. The closest the planet gets to the sun is approximately 10 AU and the furthest is approximately 70 AU. The sun is one of the foci of the elliptical orbit. Letting the ellipse center at the origin and labeling the axes in AU, the orbit will look like the figure below. Use the graph to write an equation for the elliptical orbit of the planet.

This graph shows an ellipse with center (0, 0), vertices (negative 40, 0) and (40, 0). The sun is shown at point (30, 0), which is 70 units from the left vertex and 10 units from the right vertex.
141.

A comet moves in an elliptical orbit around a sun. The closest the comet gets to the sun is approximately 15 AU and the furthest is approximately 85 AU. The sun is one of the foci of the elliptical orbit. Letting the ellipse center at the origin and labeling the axes in AU, the orbit will look like the figure below. Use the graph to write an equation for the elliptical orbit of the comet.

This graph shows an ellipse with center (0, 0), vertices (negative 50, 0) and (50, 0). The sun is shown at point (35, 0), which is 85 units from the left vertex and 15 units from the right vertex.
142.

A comet moves in an elliptical orbit around a sun. The closest the comet gets to the sun is approximately 15 AU and the furthest is approximately 95 AU. The sun is one of the foci of the elliptical orbit. Letting the ellipse center at the origin and labeling the axes in AU, the orbit will look like the figure below. Use the graph to write an equation for the elliptical orbit of the comet.

This graph shows an ellipse with center (0, 0), vertices (negative 55, 0) and (55, 0). The sun is shown at point (40, 0), which is 95 units from the left vertex and 15 units from the right vertex.

Writing Exercises

143.

In your own words, define an ellipse and write the equation of an ellipse centered at the origin in standard form. Draw a sketch of the ellipse labeling the center, vertices and major and minor axes.

144.

Explain in your own words how to get the axes from the equation in standard form.

145.

Compare and contrast the graphs of the equations x24+y29=1x24+y29=1 and x29+y24=1.x29+y24=1.

146.

Explain in your own words, the difference between a vertex and a focus of the ellipse.

Self Check

After completing the exercises, use this checklist to evaluate your mastery of the objectives of this section.

This table has 4 columns 4 rows and a header row. The header row labels each column I can, confidently, with some help and no, I don’t get it. The first columns has the following statements: graph an ellipse with center at the origin, find the equation of an ellipse with center at the origin, graph an ellipse with center not at the origin, solve applications with ellipses. The remaining columns are blank.

What does this checklist tell you about your mastery of this section? What steps will you take to improve?

Citation/Attribution

This book may not be used in the training of large language models or otherwise be ingested into large language models or generative AI offerings without OpenStax's permission.

Want to cite, share, or modify this book? This book uses the Creative Commons Attribution License and you must attribute OpenStax.

Attribution information
  • If you are redistributing all or part of this book in a print format, then you must include on every physical page the following attribution:

    Access for free at https://openstax.org/books/intermediate-algebra/pages/1-introduction

  • If you are redistributing all or part of this book in a digital format, then you must include on every digital page view the following attribution:

    Access for free at https://openstax.org/books/intermediate-algebra/pages/1-introduction

Citation information

© Feb 9, 2022 OpenStax. Textbook content produced by OpenStax is licensed under a Creative Commons Attribution License . The OpenStax name, OpenStax logo, OpenStax book covers, OpenStax CNX name, and OpenStax CNX logo are not subject to the Creative Commons license and may not be reproduced without the prior and express written consent of Rice University.