Skip to ContentGo to accessibility pageKeyboard shortcuts menu
OpenStax Logo
Intermediate Algebra

11.2 Parabolas

Intermediate Algebra11.2 Parabolas
Search for key terms or text.

Learning Objectives

By the end of this section, you will be able to:
  • Graph vertical parabolas
  • Graph horizontal parabolas
  • Solve applications with parabolas

Be Prepared 11.2

Before you get started, take this readiness quiz.

  1. Graph: y=−3x2+12x12.y=−3x2+12x12.
    If you missed this problem, review Example 9.47.
  2. Solve by completing the square: x26x+6=0.x26x+6=0.
    If you missed this problem, review Example 9.12.
  3. Write in standard form: y=3x26x+5.y=3x26x+5.
    If you missed this problem, review Example 9.59.

Graph Vertical Parabolas

The next conic section we will look at is a parabola. We define a parabola as all points in a plane that are the same distance from a fixed point and a fixed line. The fixed point is called the focus, and the fixed line is called the directrix of the parabola.

This figure shows a double cone. The bottom nappe is intersected by a plane in such a way that the intersection forms a parabola.

Parabola

A parabola is all points in a plane that are the same distance from a fixed point and a fixed line. The fixed point is called the focus, and the fixed line is called the directrix of the parabola.

This figure shows a parabola opening upwards. Below the parabola is a horizontal line labeled directrix. A vertical dashed line through the center of the parabola is labeled axis of symmetry. The point where the axis intersects the parabola is labeled vertex. A point on the axis, within the parabola is labeled focus. A line perpendicular to the directrix connects the directrix to a point on the parabola and another line connects this point to the focus. Both these lines are of the same length.

Previously, we learned to graph vertical parabolas from the general form or the standard form using properties. Those methods will also work here. We will summarize the properties here.

Vertical Parabolas
General form
y=ax2+bx+cy=ax2+bx+c
Standard form
y=a(xh)2+ky=a(xh)2+k
Orientation a>0a>0 up; a<0a<0 down a>0a>0 up; a<0a<0 down
Axis of symmetry x=b2ax=b2a x=hx=h
Vertex Substitute x=b2ax=b2a and
solve for y.
(h,k)(h,k)
y-intercept Let x=0x=0 Let x=0x=0
x-intercepts Let y=0y=0 Let y=0y=0

The graphs show what the parabolas look like when they open up or down. Their position in relation to the x- or y-axis is merely an example.

This figure shows two parabolas with axis x equals h and vertex h, k. The one on the left opens up and A is greater than 0. The one on the right opens down. Here A is less than 0.

To graph a parabola from these forms, we used the following steps.

How To

Graph vertical parabolas (y=ax2+bx+corf(x)=a(xh)2+k)(y=ax2+bx+corf(x)=a(xh)2+k) using properties.

  1. Step 1. Determine whether the parabola opens upward or downward.
  2. Step 2. Find the axis of symmetry.
  3. Step 3. Find the vertex.
  4. Step 4. Find the y-intercept. Find the point symmetric to the y-intercept across the axis of symmetry.
  5. Step 5. Find the x-intercepts.
  6. Step 6. Graph the parabola.

The next example reviews the method of graphing a parabola from the general form of its equation.

Example 11.12

Graph y=x2+6x8y=x2+6x8 by using properties.

Try It 11.23

Graph y=x2+5x6y=x2+5x6 by using properties.

Try It 11.24

Graph y=x2+8x12y=x2+8x12 by using properties.

The next example reviews the method of graphing a parabola from the standard form of its equation, y=a(xh)2+k.y=a(xh)2+k.

Example 11.13

Writey=3x26x+5y=3x26x+5 in standard form and then use properties of standard form to graph the equation.

Try It 11.25

Write y=2x2+4x+5y=2x2+4x+5 in standard form and use properties of standard form to graph the equation.

Try It 11.26

Write y=−2x2+8x7y=−2x2+8x7 in standard form and use properties of standard form to graph the equation.

Graph Horizontal Parabolas

Our work so far has only dealt with parabolas that open up or down. We are now going to look at horizontal parabolas. These parabolas open either to the left or to the right. If we interchange the x and y in our previous equations for parabolas, we get the equations for the parabolas that open to the left or to the right.

Horizontal Parabolas
General form
x=ay2+by+cx=ay2+by+c
Standard form
x=a(yk)2+hx=a(yk)2+h
Orientation a>0a>0 right; a<0a<0 left a>0a>0 right; a<0a<0 left
Axis of symmetry y=b2ay=b2a y=ky=k
Vertex Substitute y=b2ay=b2a and
solve for x.
(h,k)(h,k)
y-intercepts Let x=0x=0 Let x=0x=0
x-intercept Let y=0y=0 Let y=0y=0
Table 11.1

The graphs show what the parabolas look like when they to the left or to the right. Their position in relation to the x- or y-axis is merely an example.

This figure shows two parabolas with axis of symmetry y equals k,) and vertex (h, k. The one on the left is labeled a greater than 0 and opens to the right. The other parabola opens to the left.

Looking at these parabolas, do their graphs represent a function? Since both graphs would fail the vertical line test, they do not represent a function.

To graph a parabola that opens to the left or to the right is basically the same as what we did for parabolas that open up or down, with the reversal of the x and y variables.

How To

Graph horizontal parabolas (x=ay2+by+corx=a(yk)2+h)(x=ay2+by+corx=a(yk)2+h) using properties.

  1. Step 1. Determine whether the parabola opens to the left or to the right.
  2. Step 2. Find the axis of symmetry.
  3. Step 3. Find the vertex.
  4. Step 4. Find the x-intercept. Find the point symmetric to the x-intercept across the axis of symmetry.
  5. Step 5. Find the y-intercepts.
  6. Step 6. Graph the parabola.

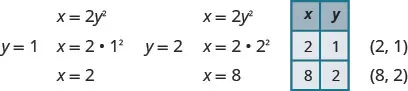
Example 11.14

Graph x=2y2x=2y2 by using properties.

Try It 11.27

Graph x=y2x=y2 by using properties.

Try It 11.28

Graph x=y2x=y2 by using properties.

In the next example, the vertex is not the origin.

Example 11.15

Graph x=y2+2y+8x=y2+2y+8 by using properties.

Try It 11.29

Graph x=y24y+12x=y24y+12 by using properties.

Try It 11.30

Graph x=y2+2y3x=y2+2y3 by using properties.

In Table 11.1, we see the relationship between the equation in standard form and the properties of the parabola. The How To box lists the steps for graphing a parabola in the standard form x=a(yk)2+h.x=a(yk)2+h. We will use this procedure in the next example.

Example 11.16

Graph x=2(y2)2+1x=2(y2)2+1 using properties.

Try It 11.31

Graph x=3(y1)2+2x=3(y1)2+2 using properties.

Try It 11.32

Graph x=2(y3)2+2x=2(y3)2+2 using properties.

In the next example, we notice the a is negative and so the parabola opens to the left.

Example 11.17

Graph x=−4(y+1)2+4x=−4(y+1)2+4 using properties.

Try It 11.33

Graph x=−4(y+2)2+4x=−4(y+2)2+4 using properties.

Try It 11.34

Graph x=−2(y+3)2+2x=−2(y+3)2+2 using properties.

The next example requires that we first put the equation in standard form and then use the properties.

Example 11.18

Write x=2y2+12y+17x=2y2+12y+17 in standard form and then use the properties of the standard form to graph the equation.

Try It 11.35

Write x=3y2+6y+7x=3y2+6y+7 in standard form and use properties of the standard form to graph the equation.

Try It 11.36

Write x=−4y216y12x=−4y216y12 in standard form and use properties of the standard form to graph the equation.

Solve Applications with Parabolas

Many architectural designs incorporate parabolas. It is not uncommon for bridges to be constructed using parabolas as we will see in the next example.

Example 11.19

Find the equation of the parabolic arch formed in the foundation of the bridge shown. Write the equation in standard form.

This figure shows a parabolic arch formed in the foundation of a bridge. It is 10 feet high and 20 feet wide at the base.

Try It 11.37

Find the equation of the parabolic arch formed in the foundation of the bridge shown. Write the equation in standard form.

This figure shows a parabolic arch formed in the foundation of a bridge. It is 20 feet high and 40 feet wide at the base.

Try It 11.38

Find the equation of the parabolic arch formed in the foundation of the bridge shown. Write the equation in standard form.

This figure shows a parabolic arch formed in the foundation of a bridge. It is 5 feet high and 10 feet wide at the base.

Media

Access these online resources for additional instructions and practice with quadratic functions and parabolas.

Section 11.2 Exercises

Practice Makes Perfect

Graph Vertical Parabolas

In the following exercises, graph each equation by using properties.

53.

y = x 2 + 4 x 3 y = x 2 + 4 x 3

54.

y = x 2 + 8 x 15 y = x 2 + 8 x 15

55.

y = 6 x 2 + 2 x 1 y = 6 x 2 + 2 x 1

56.

y = 8 x 2 10 x + 3 y = 8 x 2 10 x + 3

In the following exercises, write the equation in standard form and use properties of the standard form to graph the equation.

57.

y = x 2 + 2 x 4 y = x 2 + 2 x 4

58.

y = 2 x 2 + 4 x + 6 y = 2 x 2 + 4 x + 6

59.

y = −2 x 2 4 x 5 y = −2 x 2 4 x 5

60.

y = 3 x 2 12 x + 7 y = 3 x 2 12 x + 7

Graph Horizontal Parabolas

In the following exercises, graph each equation by using properties.

61.

x = −2 y 2 x = −2 y 2

62.

x = 3 y 2 x = 3 y 2

63.

x = 4 y 2 x = 4 y 2

64.

x = −4 y 2 x = −4 y 2

65.

x = y 2 2 y + 3 x = y 2 2 y + 3

66.

x = y 2 4 y + 5 x = y 2 4 y + 5

67.

x = y 2 + 6 y + 8 x = y 2 + 6 y + 8

68.

x = y 2 4 y 12 x = y 2 4 y 12

69.

x = ( y 2 ) 2 + 3 x = ( y 2 ) 2 + 3

70.

x = ( y 1 ) 2 + 4 x = ( y 1 ) 2 + 4

71.

x = ( y 1 ) 2 + 2 x = ( y 1 ) 2 + 2

72.

x = ( y 4 ) 2 + 3 x = ( y 4 ) 2 + 3

73.

x = ( y + 2 ) 2 + 1 x = ( y + 2 ) 2 + 1

74.

x = ( y + 1 ) 2 + 2 x = ( y + 1 ) 2 + 2

75.

x = ( y + 3 ) 2 + 2 x = ( y + 3 ) 2 + 2

76.

x = ( y + 4 ) 2 + 3 x = ( y + 4 ) 2 + 3

77.

x = −3 ( y 2 ) 2 + 3 x = −3 ( y 2 ) 2 + 3

78.

x = −2 ( y 1 ) 2 + 2 x = −2 ( y 1 ) 2 + 2

79.

x = 4 ( y + 1 ) 2 4 x = 4 ( y + 1 ) 2 4

80.

x = 2 ( y + 4 ) 2 2 x = 2 ( y + 4 ) 2 2

In the following exercises, write the equation in standard form and use properties of the standard form to graph the equation.

81.

x = y 2 + 4 y 5 x = y 2 + 4 y 5

82.

x = y 2 + 2 y 3 x = y 2 + 2 y 3

83.

x = −2 y 2 12 y 16 x = −2 y 2 12 y 16

84.

x = −3 y 2 6 y 5 x = −3 y 2 6 y 5

Mixed Practice

In the following exercises, match each graph to one of the following equations: x2 + y2 = 64 x2 + y2 = 49
(x + 5)2 + (y + 2)2 = 4 (x − 2)2 + (y − 3)2 = 9 y = −x2 + 8x − 15 y = 6x2 + 2x − 1

85.
This graph shows circle with center (0, 0) and radius 8 units.
86.
This graph shows a parabola opening upwards. Its vertex has an x value of slightly less than 0 and a y value of slightly less than negative 1. A point on it is close to (negative 1, 3).
87.
This graph shows circle with center (0, 0) and radius 7 units.
88.
This graph shows a parabola opening downwards with vertex (4, 1) and x intercepts (3, 0) and (5, 0).
89.
This graph shows circle with center (2, 3) and radius 3 units.
90.
This graph shows circle with center (negative 5, negative 2) and radius 2 units.

Solve Applications with Parabolas

91.

Write the equation in standard form of the parabolic arch formed in the foundation of the bridge shown. Use the lower left side of the bridge as the origin (0, 0).

This graph shows circle with center (negative 5, negative 2) and radius 2 units.
92.

Write the equation in standard form of the parabolic arch formed in the foundation of the bridge shown. Use the lower left side of the bridge as the origin (0, 0).

This figure shows a parabolic arch formed in the foundation of a bridge. It is 50 feet high and 100 feet wide at the base.
93.

Write the equation in standard form of the parabolic arch formed in the foundation of the bridge shown. Use the lower left side of the bridge as the origin (0, 0).

This figure shows a parabolic arch formed in the foundation of a bridge. It is 90 feet high and 60 feet wide at the base.
94.

Write the equation in standard form of the parabolic arch formed in the foundation of the bridge shown. Use the lower left side of the bridge as the origin (0, 0).

This figure shows a parabolic arch formed in the foundation of a bridge. It is 45 feet high and 30 feet wide at the base.

Writing Exercises

95.

In your own words, define a parabola.

96.

Is the parabola y=x2y=x2 a function? Is the parabola x=y2x=y2 a function? Explain why or why not.

97.

Write the equation of a parabola that opens up or down in standard form and the equation of a parabola that opens left or right in standard form. Provide a sketch of the parabola for each one, label the vertex and axis of symmetry.

98.

Explain in your own words, how you can tell from its equation whether a parabola opens up, down, left or right.

Self Check

After completing the exercises, use this checklist to evaluate your mastery of the objectives of this section.

This table has four columns, 3 rows and a header row. The header row labels each column I can, confidently, with some help and no, I don’t get it. The first column has the following statements: graph vertical parabolas, graph horizontal parabolas, solve applications with parabolas. The remaining columns are blank.

After reviewing this checklist, what will you do to become confident for all objectives?

Citation/Attribution

This book may not be used in the training of large language models or otherwise be ingested into large language models or generative AI offerings without OpenStax's permission.

Want to cite, share, or modify this book? This book uses the Creative Commons Attribution License and you must attribute OpenStax.

Attribution information
  • If you are redistributing all or part of this book in a print format, then you must include on every physical page the following attribution:

    Access for free at https://openstax.org/books/intermediate-algebra/pages/1-introduction

  • If you are redistributing all or part of this book in a digital format, then you must include on every digital page view the following attribution:

    Access for free at https://openstax.org/books/intermediate-algebra/pages/1-introduction

Citation information

© Feb 9, 2022 OpenStax. Textbook content produced by OpenStax is licensed under a Creative Commons Attribution License . The OpenStax name, OpenStax logo, OpenStax book covers, OpenStax CNX name, and OpenStax CNX logo are not subject to the Creative Commons license and may not be reproduced without the prior and express written consent of Rice University.