Skip to ContentGo to accessibility pageKeyboard shortcuts menu
OpenStax Logo
Intermediate Algebra

10.2 Evaluate and Graph Exponential Functions

Intermediate Algebra10.2 Evaluate and Graph Exponential Functions
Search for key terms or text.

Learning Objectives

By the end of this section, you will be able to:
  • Graph exponential functions
  • Solve Exponential equations
  • Use exponential models in applications

Be Prepared 10.2

Before you get started, take this readiness quiz.

  1. Simplify: (x3x2).(x3x2).
    If you missed this problem, review Example 5.13.
  2. Evaluate: 2020 (13)0.(13)0.
    If you missed this problem, review Example 5.14.
  3. Evaluate: 2−12−1 (13)−1.(13)−1.
    If you missed this problem, review Example 5.15.

Graph Exponential Functions

The functions we have studied so far do not give us a model for many naturally occurring phenomena. From the growth of populations and the spread of viruses to radioactive decay and compounding interest, the models are very different from what we have studied so far. These models involve exponential functions.

An exponential function is a function of the form f(x)=axf(x)=ax where a>0a>0 and a1.a1.

Exponential Function

An exponential function, where a>0a>0 and a1,a1, is a function of the form

f(x)=axf(x)=ax

Notice that in this function, the variable is the exponent. In our functions so far, the variables were the base.

This figure shows three functions: f of x equals negative 3x plus 4, which is marked as linear; f of x equals 2x squared plus 5x minus 3, which is marked as quadratic; and f of x equals 6 to the x power, which is marked exponential. For the functions marked linear and quadratic, x is the base. For the function marked exponential, x is the exponent for the base 6.

Our definition says a1.a1. If we let a=1,a=1, then f(x)=axf(x)=ax becomes f(x)=1x.f(x)=1x. Since 1x=11x=1 for all real numbers, f(x)=1.f(x)=1. This is the constant function.

Our definition also says a>0.a>0. If we let a base be negative, say −4,−4, then f(x)=(−4)xf(x)=(−4)x is not a real number when x=12.x=12.

f(x)=(−4)x f(12)=(−4)12 f(12)=−4not a real number f(x)=(−4)x f(12)=(−4)12 f(12)=−4not a real number

In fact, f(x)=(−4)xf(x)=(−4)x would not be a real number any time xx is a fraction with an even denominator. So our definition requires a>0.a>0.

By graphing a few exponential functions, we will be able to see their unique properties.

Example 10.10

On the same coordinate system graph f(x)=2xf(x)=2x and g(x)=3x.g(x)=3x.

Try It 10.19

Graph: f(x)=4x.f(x)=4x.

Try It 10.20

Graph: g(x)=5x.g(x)=5x.

If we look at the graphs from the previous Example and Try Its, we can identify some of the properties of exponential functions.

The graphs of f(x)=2xf(x)=2x and g(x)=3x,g(x)=3x, as well as the graphs of f(x)=4xf(x)=4x and g(x)=5x,g(x)=5x, all have the same basic shape. This is the shape we expect from an exponential function where a>1.a>1.

We notice, that for each function, the graph contains the point (0,1).(0,1). This make sense because a0=1a0=1 for any a.

The graph of each function, f(x)=axf(x)=ax also contains the point (1,a).(1,a). The graph of f(x)=2xf(x)=2x contained (1,2)(1,2) and the graph of g(x)=3xg(x)=3x contained (1,3).(1,3). This makes sense as a1=a.a1=a.

Notice too, the graph of each function f(x)=axf(x)=ax also contains the point (−1,1a).(−1,1a). The graph of f(x)=2xf(x)=2x contained (−1,12)(−1,12) and the graph of g(x)=3xg(x)=3x contained (−1,13).(−1,13). This makes sense as a−1=1a.a−1=1a.

What is the domain for each function? From the graphs we can see that the domain is the set of all real numbers. There is no restriction on the domain. We write the domain in interval notation as (,).(,).

Look at each graph. What is the range of the function? The graph never hits the xx-axis. The range is all positive numbers. We write the range in interval notation as (0,).(0,).

Whenever a graph of a function approaches a line but never touches it, we call that line an asymptote. For the exponential functions we are looking at, the graph approaches the xx-axis very closely but will never cross it, we call the line y=0,y=0, the x-axis, a horizontal asymptote.

Properties of the Graph of f ( x ) = a x f ( x ) = a x when a > 1 a > 1

Domain (,)(,)
Range (0,)(0,)
x-intercept None
y-intercept (0,1)(0,1)
Contains (1,a),(−1,1a)(1,a),(−1,1a)
Asymptote xx-axis, the line y=0y=0
This figure shows a curve that slopes upward from (negative 1, 1 over a) through (0, 1), up to (1, a).

Our definition of an exponential function f(x)=axf(x)=ax says a>0,a>0, but the examples and discussion so far has been about functions where a>1.a>1. What happens when 0<a<10<a<1? The next example will explore this possibility.

Example 10.11

On the same coordinate system, graph f(x)=(12)xf(x)=(12)x and g(x)=(13)x.g(x)=(13)x.

Try It 10.21

Graph: f(x)=(14)x.f(x)=(14)x.

Try It 10.22

Graph: g(x)=(15)x.g(x)=(15)x.

Now let’s look at the graphs from the previous Example and Try Its so we can now identify some of the properties of exponential functions where 0<a<1.0<a<1.

The graphs of f(x)=(12)xf(x)=(12)x and g(x)=(13)xg(x)=(13)x as well as the graphs of f(x)=(14)xf(x)=(14)x and g(x)=(15)xg(x)=(15)x all have the same basic shape. While this is the shape we expect from an exponential function where 0<a<1,0<a<1, the graphs go down from left to right while the previous graphs, when a>1,a>1, went from up from left to right.

We notice that for each function, the graph still contains the point (0, 1). This make sense because a0=1a0=1 for any a.

As before, the graph of each function, f(x)=ax,f(x)=ax, also contains the point (1,a).(1,a). The graph of f(x)=(12)xf(x)=(12)x contained (1,12)(1,12) and the graph of g(x)=(13)xg(x)=(13)x contained (1,13).(1,13). This makes sense as a1=a.a1=a.

Notice too that the graph of each function, f(x)=ax,f(x)=ax, also contains the point (−1,1a).(−1,1a). The graph of f(x)=(12)xf(x)=(12)x contained (−1,2)(−1,2) and the graph of g(x)=(13)xg(x)=(13)x contained (−1,3).(−1,3). This makes sense as a−1=1a.a−1=1a.

What is the domain and range for each function? From the graphs we can see that the domain is the set of all real numbers and we write the domain in interval notation as (,).(,). Again, the graph never hits the xx-axis. The range is all positive numbers. We write the range in interval notation as (0,).(0,).

We will summarize these properties in the chart below. Which also include when a>1.a>1.

Properties of the Graph of f ( x ) = a x f ( x ) = a x

when a>1a>1 when 0<a<10<a<1
Domain (,)(,) Domain (,)(,)
Range (0,)(0,) Range (0,)(0,)
xx-intercept none xx-intercept none
yy-intercept (0,1)(0,1) yy-intercept (0,1)(0,1)
Contains (1,a),(−1,1a)(1,a),(−1,1a) Contains (1,a),(−1,1a)(1,a),(−1,1a)
Asymptote xx-axis, the line y=0y=0 Asymptote xx-axis, the line y=0y=0
Basic shape increasing Basic shape decreasing
This figure has two parts. On the left, we have a curve that passes through (negative 1, 1 over a) through (0, 1) to (1, a). On the right, where a is noted to be less than 1, we have a curve that passes through (negative 1, 1 over a) through (0, 1) to (1, a).

It is important for us to notice that both of these graphs are one-to-one, as they both pass the horizontal line test. This means the exponential function will have an inverse. We will look at this later.

When we graphed quadratic functions, we were able to graph using translation rather than just plotting points. Will that work in graphing exponential functions?

Example 10.12

On the same coordinate system graph f(x)=2xf(x)=2x and g(x)=2x+1.g(x)=2x+1.

Try It 10.23

On the same coordinate system, graph: f(x)=2xf(x)=2x and g(x)=2x1.g(x)=2x1.

Try It 10.24

On the same coordinate system, graph: f(x)=3xf(x)=3x and g(x)=3x+1.g(x)=3x+1.

Looking at the graphs of the functions f(x)=2xf(x)=2x and g(x)=2x+1g(x)=2x+1 in the last example, we see that adding one in the exponent caused a horizontal shift of one unit to the left. Recognizing this pattern allows us to graph other functions with the same pattern by translation.

Let’s now consider another situation that might be graphed more easily by translation, once we recognize the pattern.

Example 10.13

On the same coordinate system graph f(x)=3xf(x)=3x and g(x)=3x2.g(x)=3x2.

Try It 10.25

On the same coordinate system, graph: f(x)=3xf(x)=3x and g(x)=3x+2.g(x)=3x+2.

Try It 10.26

On the same coordinate system, graph: f(x)=4xf(x)=4x and g(x)=4x2.g(x)=4x2.

Looking at the graphs of the functions f(x)=3xf(x)=3x and g(x)=3x2g(x)=3x2 in the last example, we see that subtracting 2 caused a vertical shift of down two units. Notice that the horizontal asymptote also shifted down 2 units. Recognizing this pattern allows us to graph other functions with the same pattern by translation.


All of our exponential functions have had either an integer or a rational number as the base. We will now look at an exponential function with an irrational number as the base.

Before we can look at this exponential function, we need to define the irrational number, e. This number is used as a base in many applications in the sciences and business that are modeled by exponential functions. The number is defined as the value of (1+1n)n(1+1n)n as n gets larger and larger. We say, as n approaches infinity, or increases without bound. The table shows the value of (1+1n)n(1+1n)n for several values of n.n.

nn (1+1n)n(1+1n)n
1 2
2 2.25
5 2.48832
10 2.59374246
100 2.704813829…
1,000 2.716923932…
10,000 2.718145927…
100,000 2.718268237…
1,000,000 2.718280469…
1,000,000,000 2.718281827…
Table 10.1
e2.718281827e2.718281827

The number e is like the number ππ in that we use a symbol to represent it because its decimal representation never stops or repeats. The irrational number e is called the natural base.

Natural Base e e

The number e is defined as the value of (1+1n)n,(1+1n)n, as n increases without bound. We say, as n approaches infinity,

e2.718281827...e2.718281827...

The exponential function whose base is e,e, f(x)=exf(x)=ex is called the natural exponential function.

Natural Exponential Function

The natural exponential function is an exponential function whose base is ee

f(x)=exf(x)=ex

The domain is (,)(,) and the range is (0,).(0,).

Let’s graph the function f(x)=exf(x)=ex on the same coordinate system as g(x)=2xg(x)=2x and h(x)=3x.h(x)=3x.

This figure shows the graphs of three functions. The first function, f of x equals 2 to the x, is marked in red and passes through the points (negative 1, negative 1 over 2), (0, negative 1), and (2, 1). The second function, f of x equals 3 to the x power, is marked in green and corresponds to a curve that passes through the points (negative 1, 1 over 3), (0, 1) and (1, 3). The third function, f of x equals e to the x power, is marked in blue and corresponds to a curve that passes through the points (negative 1, 1 over e), (0, 1) and (0, e).

Notice that the graph of f(x)=exf(x)=ex is “between” the graphs of g(x)=2xg(x)=2x and h(x)=3x.h(x)=3x. Does this make sense as 2<e<32<e<3?

Solve Exponential Equations

Equations that include an exponential expression axax are called exponential equations. To solve them we use a property that says as long as a>0a>0 and a1,a1, if ax=ayax=ay then it is true that x=y.x=y. In other words, in an exponential equation, if the bases are equal then the exponents are equal.

One-to-One Property of Exponential Equations

For a>0a>0 and a1,a1,

Ifax=ay,thenx=y.Ifax=ay,thenx=y.

To use this property, we must be certain that both sides of the equation are written with the same base.

Example 10.14

How to Solve an Exponential Equation

Solve: 32x5=27.32x5=27.

Try It 10.27

Solve: 33x2=81.33x2=81.

Try It 10.28

Solve: 7x3=7.7x3=7.

The steps are summarized below.

How To

How to Solve an Exponential Equation

  1. Step 1. Write both sides of the equation with the same base, if possible.
  2. Step 2. Write a new equation by setting the exponents equal.
  3. Step 3. Solve the equation.
  4. Step 4. Check the solution.

In the next example, we will use our properties on exponents.

Example 10.15

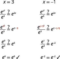
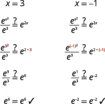
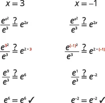
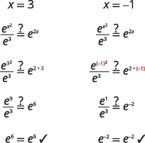
Solve ex2e3=e2xex2e3=e2x.

Try It 10.29

Solve: ex2ex=e2.ex2ex=e2.

Try It 10.30

Solve: ex2ex=e6.ex2ex=e6.

Use Exponential Models in Applications

Exponential functions model many situations. If you own a bank account, you have experienced the use of an exponential function. There are two formulas that are used to determine the balance in the account when interest is earned. If a principal, P, is invested at an interest rate, r, for t years, the new balance, A, will depend on how often the interest is compounded. If the interest is compounded n times a year we use the formula A=P(1+rn)nt.A=P(1+rn)nt. If the interest is compounded continuously, we use the formula A=Pert.A=Pert. These are the formulas for compound interest.

Compound Interest

For a principal, P, invested at an interest rate, r, for t years, the new balance, A, is:

A=P(1+rn)ntwhen compoundedntimes a year. A=Pertwhen compounded continuously.A=P(1+rn)ntwhen compoundedntimes a year. A=Pertwhen compounded continuously.

As you work with the Interest formulas, it is often helpful to identify the values of the variables first and then substitute them into the formula.

Example 10.16

A total of $10,000$10,000 was invested in a college fund for a new grandchild. If the interest rate is 5%,5%, how much will be in the account in 18 years by each method of compounding?

compound quarterly

compound monthly

compound continuously

Try It 10.31

Angela invested $15,000$15,000 in a savings account. If the interest rate is 4%,4%, how much will be in the account in 10 years by each method of compounding?

compound quarterly

compound monthly

compound continuously

Try It 10.32

Allan invested $10,000 in a mutual fund. If the interest rate is 5%,5%, how much will be in the account in 15 years by each method of compounding?

compound quarterly

compound monthly

compound continuously

Other topics that are modeled by exponential functions involve growth and decay. Both also use the formula A=PertA=Pert we used for the growth of money. For growth and decay, generally we useA0,A0, as the original amount instead of calling it P,P, the principal. We see that exponential growth has a positive rate of growth and exponential decay has a negative rate of growth.

Exponential Growth and Decay

For an original amount, A0,A0, that grows or decays at a rate, r, for a certain time, t, the final amount, A, is:

A=A0ertA=A0ert

Exponential growth is typically seen in the growth of populations of humans or animals or bacteria. Our next example looks at the growth of a virus.

Example 10.17

Chris is a researcher at the Center for Disease Control and Prevention and he is trying to understand the behavior of a new and dangerous virus. He starts his experiment with 100 of the virus that grows at a rate of 25% per hour. He will check on the virus in 24 hours. How many viruses will he find?

Try It 10.33

Another researcher at the Center for Disease Control and Prevention, Lisa, is studying the growth of a bacteria. She starts his experiment with 50 of the bacteria that grows at a rate of 15%15% per hour. He will check on the bacteria every 8 hours. How many bacteria will he find in 8 hours?

Try It 10.34

Maria, a biologist is observing the growth pattern of a virus. She starts with 100 of the virus that grows at a rate of 10%10% per hour. She will check on the virus in 24 hours. How many viruses will she find?

Access these online resources for additional instruction and practice with evaluating and graphing exponential functions.

Section 10.2 Exercises

Practice Makes Perfect

Graph Exponential Functions

In the following exercises, graph each exponential function.

65.

f ( x ) = 2 x f ( x ) = 2 x

66.

g ( x ) = 3 x g ( x ) = 3 x

67.

f ( x ) = 6 x f ( x ) = 6 x

68.

g ( x ) = 7 x g ( x ) = 7 x

69.

f ( x ) = ( 1.5 ) x f ( x ) = ( 1.5 ) x

70.

g ( x ) = ( 2.5 ) x g ( x ) = ( 2.5 ) x

71.

f ( x ) = ( 1 2 ) x f ( x ) = ( 1 2 ) x

72.

g ( x ) = ( 1 3 ) x g ( x ) = ( 1 3 ) x

73.

f ( x ) = ( 1 6 ) x f ( x ) = ( 1 6 ) x

74.

g ( x ) = ( 1 7 ) x g ( x ) = ( 1 7 ) x

75.

f ( x ) = ( 0.4 ) x f ( x ) = ( 0.4 ) x

76.

g ( x ) = ( 0.6 ) x g ( x ) = ( 0.6 ) x

In the following exercises, graph each function in the same coordinate system.

77.

f ( x ) = 4 x , g ( x ) = 4 x 1 f ( x ) = 4 x , g ( x ) = 4 x 1

78.

f ( x ) = 3 x , g ( x ) = 3 x 1 f ( x ) = 3 x , g ( x ) = 3 x 1

79.

f ( x ) = 2 x , g ( x ) = 2 x 2 f ( x ) = 2 x , g ( x ) = 2 x 2

80.

f ( x ) = 2 x , g ( x ) = 2 x + 2 f ( x ) = 2 x , g ( x ) = 2 x + 2

81.

f ( x ) = 3 x , g ( x ) = 3 x + 2 f ( x ) = 3 x , g ( x ) = 3 x + 2

82.

f ( x ) = 4 x , g ( x ) = 4 x + 2 f ( x ) = 4 x , g ( x ) = 4 x + 2

83.

f ( x ) = 2 x , g ( x ) = 2 x + 1 f ( x ) = 2 x , g ( x ) = 2 x + 1

84.

f ( x ) = 2 x , g ( x ) = 2 x 1 f ( x ) = 2 x , g ( x ) = 2 x 1

In the following exercises, graph each exponential function.

85.

f ( x ) = 3 x + 2 f ( x ) = 3 x + 2

86.

f ( x ) = 3 x 2 f ( x ) = 3 x 2

87.

f ( x ) = 2 x + 3 f ( x ) = 2 x + 3

88.

f ( x ) = 2 x 3 f ( x ) = 2 x 3

89.

f ( x ) = ( 1 2 ) x 4 f ( x ) = ( 1 2 ) x 4

90.

f ( x ) = ( 1 2 ) x 3 f ( x ) = ( 1 2 ) x 3

91.

f ( x ) = e x + 1 f ( x ) = e x + 1

92.

f ( x ) = e x 2 f ( x ) = e x 2

93.

f ( x ) = 2 x f ( x ) = 2 x

94.

f ( x ) = 2 - x - 1 -1 f ( x ) = 2 - x - 1 -1

Solve Exponential Equations

In the following exercises, solve each equation.

95.

2 3 x 8 = 16 2 3 x 8 = 16

96.

2 2 x 3 = 32 2 2 x 3 = 32

97.

3 x + 3 = 9 3 x + 3 = 9

98.

3 x 2 = 81 3 x 2 = 81

99.

4 x 2 = 4 4 x 2 = 4

100.

4 x = 32 4 x = 32

101.

4 x + 2 = 64 4 x + 2 = 64

102.

4 x + 3 = 16 4 x + 3 = 16

103.

2 x 2 + 2 x = 1 2 2 x 2 + 2 x = 1 2

104.

3 x 2 2 x = 1 3 3 x 2 2 x = 1 3

105.

e 3 x · e 4 = e 10 e 3 x · e 4 = e 10

106.

e 2 x · e 3 = e 9 e 2 x · e 3 = e 9

107.

e x 2 e 2 = e x e x 2 e 2 = e x

108.

e x 2 e 3 = e 2 x e x 2 e 3 = e 2 x

In the following exercises, match the graphs to one of the following functions: 2x2x 2x+12x+1 2x12x1 2x+22x+2 2x22x2 3x3x

109.


This figure shows an exponential that passes through (1, 1 over 3), (0, 1), and (1, 3).
110.


This figure shows an exponential that passes through (negative 2, 1 over 2), (negative 1, 1), and (0, 2).
111.


This figure shows an exponential that passes through (1, 1 over 2), (0, 1), and (1, 2).
112.


This figure shows an exponential that passes through (0, 1 over 2), (1, 1), and (2, 2).
113.


This figure shows an exponential that passes through (negative 1, 3 over 2), (0, negative 1), and (1, 0).
114.


This figure shows an exponential that passes through (negative 1, 5 over 2), (0, 3), and (1, 4).

Use exponential models in applications

In the following exercises, use an exponential model to solve.

115.

Edgar accumulated $5,000$5,000 in credit card debt. If the interest rate is 20%20% per year, and he does not make any payments for 2 years, how much will he owe on this debt in 2 years by each method of compounding? compound quarterly compound monthly compound continuously

116.

Cynthia invested $12,000$12,000 in a savings account. If the interest rate is 6%,6%, how much will be in the account in 10 years by each method of compounding? compound quarterly
compound monthly compound continuously

117.

Rochelle deposits $5,000$5,000 in an IRA. What will be the value of her investment in 25 years if the investment is earning 8%8% per year and is compounded continuously?

118.

Nazerhy deposits $8,000$8,000 in a certificate of deposit. The annual interest rate is 6%6% and the interest will be compounded quarterly. How much will the certificate be worth in 10 years?

119.

A researcher at the Center for Disease Control and Prevention is studying the growth of a bacteria. He starts his experiment with 100 of the bacteria that grows at a rate of 6%6% per hour. He will check on the bacteria every 8 hours. How many bacteria will he find in 8 hours?

120.

A biologist is observing the growth pattern of a virus. She starts with 50 of the virus that grows at a rate of 20%20% per hour. She will check on the virus in 24 hours. How many viruses will she find?

121.

In the last ten years the population of Indonesia has grown at a rate of 1.12%1.12% per year to 258,316,051. If this rate continues, what will be the population in 10 more years?

122.

In the last ten years the population of Brazil has grown at a rate of 0.9%0.9% per year to 205,823,665. If this rate continues, what will be the population in 10 more years?

Writing Exercises

123.

Explain how you can distinguish between exponential functions and polynomial functions.

124.

Compare and contrast the graphs of y=x2y=x2 and y=2xy=2x.

125.

What happens to an exponential function as the values of xx decreases? Will the graph ever cross the
xx-axis? Explain.

Self Check

After completing the exercises, use this checklist to evaluate your mastery of the objectives of this section.

This table has four rows and four columns. The first row, which serves as a header, reads I can…, Confidently, With some help, and No—I don’t get it. The first column below the header row reads Graph exponential functions, solve exponential equations, and use exponential models in applications.

After reviewing this checklist, what will you do to become confident for all objectives?

Citation/Attribution

This book may not be used in the training of large language models or otherwise be ingested into large language models or generative AI offerings without OpenStax's permission.

Want to cite, share, or modify this book? This book uses the Creative Commons Attribution License and you must attribute OpenStax.

Attribution information
  • If you are redistributing all or part of this book in a print format, then you must include on every physical page the following attribution:

    Access for free at https://openstax.org/books/intermediate-algebra/pages/1-introduction

  • If you are redistributing all or part of this book in a digital format, then you must include on every digital page view the following attribution:

    Access for free at https://openstax.org/books/intermediate-algebra/pages/1-introduction

Citation information

© Feb 9, 2022 OpenStax. Textbook content produced by OpenStax is licensed under a Creative Commons Attribution License . The OpenStax name, OpenStax logo, OpenStax book covers, OpenStax CNX name, and OpenStax CNX logo are not subject to the Creative Commons license and may not be reproduced without the prior and express written consent of Rice University.