Skip to ContentGo to accessibility pageKeyboard shortcuts menu
OpenStax Logo
Intermediate Algebra 2e

12.4 Binomial Theorem

Intermediate Algebra 2e12.4 Binomial Theorem
Search for key terms or text.

Learning Objectives

By the end of this section, you will be able to:

  • Use Pascal’s Triangle to expand a binomial
  • Evaluate a binomial coefficient
  • Use the Binomial Theorem to expand a binomial

Be Prepared 12.10

Before you get started, take this readiness quiz.

Simplify: 7·6·5·44·3·2·1.7·6·5·44·3·2·1.
If you missed this problem, review Example 1.25.

Be Prepared 12.11

Expand: (3x+5)2.(3x+5)2.
If you missed this problem, review Example 5.32.

Be Prepared 12.12

Expand: (xy)2.(xy)2.
If you missed this problem, review Example 5.32.

Use Pascal’s Triangle to Expand a Binomial

In our previous work, we have squared binomials either by using FOIL or by using the Binomial Squares Pattern. We can also say that we expanded (a+b)2.(a+b)2.

(a+b)2=a2+2ab+b2(a+b)2=a2+2ab+b2

To expand (a+b)3,(a+b)3, we recognize that this is (a+b)2(a+b)(a+b)2(a+b) and multiply.

(a+b)3 (a+b)2(a+b) (a2+2ab+b2)(a+b) a3+2a2b+ab2+a2b+2ab2+b3 a3+3a2b+3ab2+b3 (a+b)3=a3+3a2b+3ab2+b3 (a+b)3 (a+b)2(a+b) (a2+2ab+b2)(a+b) a3+2a2b+ab2+a2b+2ab2+b3 a3+3a2b+3ab2+b3 (a+b)3=a3+3a2b+3ab2+b3

To find a method that is less tedious that will work for higher expansions like (a+b)7,(a+b)7, we again look for patterns in some expansions.

Number of terms First term Last term
(a+b)1=a+b(a+b)1=a+b 2 a1a1 b1b1
(a+b)2=a2+2ab+b2(a+b)2=a2+2ab+b2 3 a2a2 b2b2
(a+b)3=a3+3a2b+3ab2+b3(a+b)3=a3+3a2b+3ab2+b3 4 a3a3 b3b3
(a+b)4=a4+4a3b+6a2b2+4ab3+b4(a+b)4=a4+4a3b+6a2b2+4ab3+b4 5 a4a4 b4b4
(a+b)5=a5+5a4b+10a3b2+10a2b3+5ab4+b5(a+b)5=a5+5a4b+10a3b2+10a2b3+5ab4+b5 6 a5a5 b5b5
(a+b)n(a+b)n +1+1 anan bnbn

Notice the first and last terms show only one variable. Recall that a0=1,a0=1, so we could rewrite the first and last terms to include both variables. For example, we could expand (a+b)3(a+b)3 to show each term with both variables.

This figure shows the pattern a plus b to the power of 3 equals a to a power of 3 times b to a power of 0 plus 3 times a to a power of 2 times b to a power of 1 plus 3 a to a power of 0 times b to a power of 3.

Generally, we don’t show the zero exponents, just as we usually write x rather than 1x.

Patterns in the expansion of ( a + b ) n ( a + b ) n

  • The number of terms is n+1.n+1.
  • The first term is anan and the last term is bn.bn.
  • The exponents on a decrease by one on each term going left to right.
  • The exponents on b increase by one on each term going left to right.
  • The sum of the exponents on any term is n.

Let’s look at an example to highlight the last three patterns.

This figure shows the pattern a plus b to the power of 5 equals a plus 5 times a times b plus 10 times a times b plus 5 times a times b plus b.

From the patterns we identified, we see the variables in the expansion of (a+b)n,(a+b)n, would be

(a+b)n=an+___an1b1+___an2b2+...+___a1bn1+bn.(a+b)n=an+___an1b1+___an2b2+...+___a1bn1+bn.

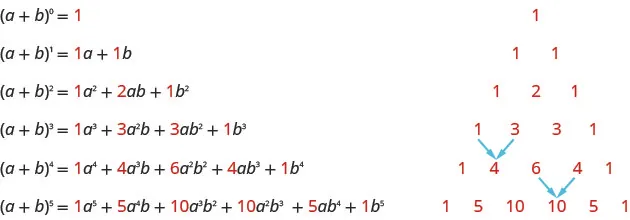
To find the coefficients of the terms, we write our expansions again focusing on the coefficients. We rewrite the coefficients to the right forming an array of coefficients.

A plus b to the power of 0 equals 1. The top level of Pascal’s Triangle is 1. A plus b to the power of 1 equals 1 a plus 1 b. The second level of Pascal’s Triangle is 1, 1. A plus b to the power of 2 equals 1 a to the power of 2 plus 2 a b plus 1 b to the power of 2. The third level of Pascal’s Triangle is 1, 2, 1. A plus b to the power of 3 equals 1 a to the power of 3 plus 3 a to the power of 2 b plus 3 a b to the power of 2 plus 1 b to the power of 3. The fourth level of Pascal’s Triangle is 1,3,3,1. A plus b to the power of 4 equals 1 a to the power of 4 plus 4 a to the power of 3 b plus 6 a to the power of 2 b to the power of 2 plus 4 a b to the power of 3 plus 1 b to the power of 4. The fifth level of Pascal’s Triangle is 1, 4, 6, 4, 1. A plus b to the power of 5 equals 1 a to the power of 5 plus 5 a to the power of 4 b plus 10 a to the power of 3 b to the power of 2 plus 10 a to the power of 2 b to the power of 3. The sixth row of the Pascal’s Triangle is 1, 5, 10, 10, 5, 1.

The array to the right is called Pascal’s Triangle. Notice each number in the array is the sum of the two closest numbers in the row above. We can find the next row by starting and ending with one and then adding two adjacent numbers.

This figure shows Pascal’s Triangle. The first level is 1. The second level is 1, 1. The third level is 1, 2, 1. The fourth level is 1, 3, 3, 1. The fifth level is 1, 4, 6, 4, 1. The sixth level is 1, 5, 10, 10, 5, 1. The seventh level is 1, 6, 15, 20, 15, 6, 1.

This triangle gives the coefficients of the terms when we expand binomials.

Pascal’s Triangle

This figure shows Pascal’s Triangle. The first level is 1. The second level is 1, 1. The third level is 1, 2, 1. The fourth level is 1, 3, 3, 1. The fifth level is 1, 4, 6, 4, 1. The sixth level is 1, 5, 10, 10, 5, 1. The seventh level is 1, 6, 15, 20, 15, 6, 1.

In the next example, we will use this triangle and the patterns we recognized to expand the binomial.

Example 12.31

Use Pascal’s Triangle to expand (x+y)6.(x+y)6.

Try It 12.61

Use Pascal’s Triangle to expand (x+y)5.(x+y)5.

Try It 12.62

Use Pascal’s Triangle to expand (p+q)7.(p+q)7.

In the next example we want to expand a binomial with one variable and one constant. We need to identify the a and b to carefully apply the pattern.

Example 12.32

Use Pascal’s Triangle to expand (x+3)5.(x+3)5.

Try It 12.63

Use Pascal’s Triangle to expand (x+2)4.(x+2)4.

Try It 12.64

Use Pascal’s Triangle to expand (x+1)6.(x+1)6.

In the next example, the binomial is a difference and the first term has a constant times the variable. Once we identify the a and b of the pattern, we must once again carefully apply the pattern.

Example 12.33

Use Pascal’s Triangle to expand (3x2)4.(3x2)4.

Try It 12.65

Use Pascal’s Triangle to expand (2x3)4.(2x3)4.

Try It 12.66

Use Pascal’s Triangle to expand (2x1)6.(2x1)6.

Evaluate a Binomial Coefficient

While Pascal’s Triangle is one method to expand a binomial, we will also look at another method. Before we get to that, we need to introduce some more factorial notation. This notation is not only used to expand binomials, but also in the study and use of probability.

To find the coefficients of the terms of expanded binomials, we will need to be able to evaluate the notation (nr)(nr) which is called a binomial coefficient. We read (nr)(nr) as “n choose r” or “n taken r at a time”.

Binomial Coefficient ( n r ) ( n r )

A binomial coefficient (nr),(nr), where r and n are integers with 0rn,0rn, is defined as

(nr)=n!r!(nr)!(nr)=n!r!(nr)!

We read (nr)(nr) as “n choose r” or “n taken r at a time”.

Example 12.34

Evaluate: (51)(51) (77)(77) (40)(40) (85).(85).

Try It 12.67

Evaluate each binomial coefficient:

(61)(61) (88)(88) (50)(50) (73).(73).

Try It 12.68

Evaluate each binomial coefficient:

(21)(21) (1111)(1111) (90)(90) (65).(65).

In the previous example, parts (a), (b), (c) demonstrate some special properties of binomial coefficients.

Properties of Binomial Coefficients

(n1)=n(nn)=1(n0)=1(n1)=n(nn)=1(n0)=1

Use the Binomial Theorem to Expand a Binomial

We are now ready to use the alternate method of expanding binomials. The Binomial Theorem uses the same pattern for the variables, but uses the binomial coefficient for the coefficient of each term.

Binomial Theorem

For any real numbers a and b, and positive integer n,

(a+b)n=(n0)an+(n1)an1b1+(n2)an2b2+...+(nr)anrbr+...+(nn)bn(a+b)n=(n0)an+(n1)an1b1+(n2)an2b2+...+(nr)anrbr+...+(nn)bn

Example 12.35

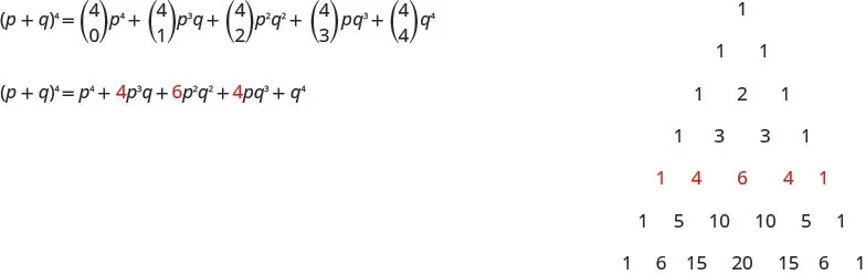
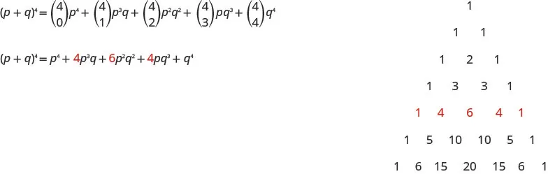
Use the Binomial Theorem to expand (p+q)4.(p+q)4.

Try It 12.69

Use the Binomial Theorem to expand (x+y)5.(x+y)5.

Try It 12.70

Use the Binomial Theorem to expand (m+n)6.(m+n)6.

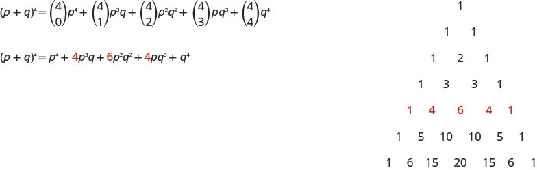
Notice that when we expanded (p+q)4(p+q)4 in the last example, using the Binomial Theorem, we got the same coefficients we would get from using Pascal’s Triangle.

The figure above is P plus q to the power of 4 equals 4 choose 0 times p to the power of 4 plus 4 choose 1 times p to the power of 3 q plus 4 choose 2 times p to the power of 2 q to the power of 2 plus 4 choose 3 times p q to the power of 3 plus 4 choose 4 times q to the power of 4. P plus q to the power of 4 equals p to the power of 4 p to the power of 3 q plus 6 p to the power of 2 q to the power of 2 plus 4 p q to the power of 3 plus q to the power of 4. This figure on the right shows Pascal’s Triangle. The first level is 1. The second level is 1, 1. The third level is 1, 2, 1. The fourth level is 1, 3, 3, 1. The fifth level is 1, 4, 6, 4, 1. The sixth level is 1, 5, 10, 10, 5, 1. The seventh level is 1, 6, 15, 20, 15, 6, 1.

The next example, the binomial is a difference. When the binomial is a difference, we must be careful in identifying the values we will use in the pattern.

Example 12.36

Use the Binomial Theorem to expand (x2)5.(x2)5.

Try It 12.71

Use the Binomial Theorem to expand (x3)5.(x3)5.

Try It 12.72

Use the Binomial Theorem to expand (y1)6.(y1)6.

Things can get messy when both terms have a coefficient and a variable.

Example 12.37

Use the Binomial Theorem to expand (2x3y)4.(2x3y)4.

Try It 12.73

Use the Binomial Theorem to expand (3x2y)5.(3x2y)5.

Try It 12.74

Use the Binomial Theorem to expand (4x3y)4.(4x3y)4.

The real beauty of the Binomial Theorem is that it gives a formula for any particular term of the expansion without having to compute the whole sum. Let’s look for a pattern in the Binomial Theorem.

This figure shows a plus b to the power of n equals n choose 0 times a to the power of n b to the power of 0 plus n choose 1 times a to the power of n minus 1 b to the 1 plus n choose 2 times a to the power of n minus 2 b to the power of 2 plus ellipsis plus n choose r times a to the power of n minus r plus ellipsis plus n choose n times b to the power of n.

Notice, that in each case the exponent on the b is one less than the number of the term. The (r+1)st(r+1)st term is the term where the exponent of b is r. So we can use the format of the (r+1)st(r+1)st term to find the value of a specific term.

Find a Specific Term in a Binomial Expansion

The (r+1)st(r+1)st term in the expansion of (a+b)n(a+b)n is

(nr)anrbr(nr)anrbr

Example 12.38

Find the fourth term of (x+y)7.(x+y)7.

Try It 12.75

Find the third term of (x+y)6.(x+y)6.

Try It 12.76

Find the fifth term of (a+b)8.(a+b)8.

Example 12.39

Find the coefficient of the x6x6 term of (x+3)9.(x+3)9.

Try It 12.77

Find the coefficient of the x5x5 term of (x+4)8.(x+4)8.

Try It 12.78

Find the coefficient of the x4x4 term of (x+2)7.(x+2)7.

Media

Access these online resources for additional instruction and practice with sequences.

Section 12.4 Exercises

Practice Makes Perfect

Use Pascal’s Triangle to Expand a Binomial

In the following exercises, expand each binomial using Pascal’s Triangle.

192.

( x + y ) 4 ( x + y ) 4

193.

( a + b ) 8 ( a + b ) 8

194.

( m + n ) 10 ( m + n ) 10

195.

( p + q ) 9 ( p + q ) 9

196.

( x y ) 5 ( x y ) 5

197.

( a b ) 6 ( a b ) 6

198.

( x + 4 ) 4 ( x + 4 ) 4

199.

( x + 5 ) 3 ( x + 5 ) 3

200.

( y + 2 ) 5 ( y + 2 ) 5

201.

( y + 1 ) 7 ( y + 1 ) 7

202.

( z 3 ) 5 ( z 3 ) 5

203.

( z 2 ) 6 ( z 2 ) 6

204.

( 4 x 1 ) 3 ( 4 x 1 ) 3

205.

( 3 x 1 ) 5 ( 3 x 1 ) 5

206.

( 3 x 4 ) 4 ( 3 x 4 ) 4

207.

( 3 x 5 ) 3 ( 3 x 5 ) 3

208.

( 2 x + 3 y ) 3 ( 2 x + 3 y ) 3

209.

( 3 x + 5 y ) 3 ( 3 x + 5 y ) 3

Evaluate a Binomial Coefficient

In the following exercises, evaluate.

210.

(81)(81) (1010)(1010) (60)(60) (93)(93)

211.

(71)(71) (44)(44) (30)(30) (108)(108)

212.

(31)(31) (99)(99) (70)(70) (53)(53)

213.

(41)(41) (55)(55) (80)(80) (119)(119)

Use the Binomial Theorem to Expand a Binomial

In the following exercises, expand each binomial.

214.

( x + y ) 3 ( x + y ) 3

215.

( m + n ) 5 ( m + n ) 5

216.

( a + b ) 6 ( a + b ) 6

217.

( s + t ) 7 ( s + t ) 7

218.

( x 2 ) 4 ( x 2 ) 4

219.

( y 3 ) 4 ( y 3 ) 4

220.

( p 1 ) 5 ( p 1 ) 5

221.

( q 4 ) 3 ( q 4 ) 3

222.

( 3 x y ) 5 ( 3 x y ) 5

223.

( 5 x 2 y ) 4 ( 5 x 2 y ) 4

224.

( 2 x + 5 y ) 4 ( 2 x + 5 y ) 4

225.

( 3 x + 4 y ) 5 ( 3 x + 4 y ) 5

In the following exercises, find the indicated term in the expansion of the binomial.

226.

Sixth term of (x+y)10(x+y)10

227.

Fifth term of (a+b)9(a+b)9

228.

Fourth term of (xy)8(xy)8

229.

Seventh term of (xy)11(xy)11

In the following exercises, find the coefficient of the indicated term in the expansion of the binomial.

230.

y3y3 term of (y+5)4(y+5)4

231.

x6x6 term of (x+2)8(x+2)8

232.

x5x5 term of (x4)6(x4)6

233.

x7x7 term of (x3)9(x3)9

234.

a4b2a4b2 term of (2a+b)6(2a+b)6

235.

p5q4p5q4 term of (3p+q)9(3p+q)9

Writing Exercises

236.

In your own words explain how to find the rows of the Pascal’s Triangle. Write the first five rows of Pascal’s Triangle.

237.

In your own words, explain the pattern of exponents for each variable in the expansion of.

238.

In your own words, explain the difference between (a+b)n(a+b)n and (ab)n.(ab)n.

239.

In your own words, explain how to find a specific term in the expansion of a binomial without expanding the whole thing. Use an example to help explain.

Self Check

After completing the exercises, use this checklist to evaluate your mastery of the objectives of this section.

This figure shows a table with four rows and four columns. The first row is the header row and reads. “I can”, “Confidently”, “With some help” and “No, I don’t get it”. The first column, beginning at the second row reads, “Use Pascal’s Triangle to Expand a Binomial”, “Evaluate a Binomial Coefficient” and “Use the Binomial Theorem to Expand a Binomial”. The remaining columns are blank.

On a scale of 1-10, how would you rate your mastery of this section in light of your responses on the checklist? How can you improve this?

Citation/Attribution

This book may not be used in the training of large language models or otherwise be ingested into large language models or generative AI offerings without OpenStax's permission.

Want to cite, share, or modify this book? This book uses the Creative Commons Attribution License and you must attribute OpenStax.

Attribution information
  • If you are redistributing all or part of this book in a print format, then you must include on every physical page the following attribution:

    Access for free at https://openstax.org/books/intermediate-algebra-2e/pages/1-introduction

  • If you are redistributing all or part of this book in a digital format, then you must include on every digital page view the following attribution:

    Access for free at https://openstax.org/books/intermediate-algebra-2e/pages/1-introduction

Citation information

© Jul 8, 2025 OpenStax. Textbook content produced by OpenStax is licensed under a Creative Commons Attribution License . The OpenStax name, OpenStax logo, OpenStax book covers, OpenStax CNX name, and OpenStax CNX logo are not subject to the Creative Commons license and may not be reproduced without the prior and express written consent of Rice University.