Przejdź do treściPrzejdź do informacji o dostępnościMenu skrótów klawiszowych
Logo OpenStax
Fizyka dla szkół wyższych. Tom 2

2.3 Ciepło właściwe i zasada ekwipartycji energii

Fizyka dla szkół wyższych. Tom 22.3 Ciepło właściwe i zasada ekwipartycji energii
Wyszukaj kluczowe pojęcia lub tekst.

Cel dydaktyczny

W tym podrozdziale nauczysz się:
  • analizować i rozwiązywać problemy i zadania dotyczące przekazywania ciepła od i do monoatomowego gazu doskonałego, którego objętość pozostaje stała;
  • analizować podobne problemy dla wieloatomowych gazów doskonałych, wykorzystując liczbę stopni swobody cząsteczek;
  • oceniać pojemność cieplną metali, stosując model wykorzystujący stopnie swobody.

W rozdziale Temperatura i ciepło podano wzór pozwalający na obliczenie ciepła właściwego: ΔQ=mcΔTΔQ=mcΔT \prefop{\Delta} Q=mc\prefop{\Delta}T lub c=1mΔQΔTc=1mΔQΔT c=(1/m)\cdot(\prefop{\Delta}Q/\prefop{\Delta}T). Jednakże właściwości gazu doskonałego zależą bezpośrednio od liczby moli w próbce, tak więc w tym przypadku wyrazimy ciepło właściwe gazu w tej wielkości, a nie w jego masie. Ponadto, kiedy rozpatrujemy ciała stałe lub ciecze, to często pomijamy zmiany ich objętości i ciśnienia wraz z temperaturą – jest to dobre przybliżenie dla ciał stałych i cieczy, lecz dla gazów musimy wiedzieć, w jakich warunkach następują zmiany ich objętości lub ciśnienia. Dlatego skupimy się na pojemności cieplnej gazu doskonałego zajmującego stałą objętość.

Ciepło molowe gazu doskonałego przy stałej objętości

Ciepło molowe przy stałej objętości (ang. molar heat capacity at constant volume) CVCV definiujemy jako

CV=1nΔQΔT,  przy V=constCV=1nΔQΔT,  przy V=const C_V = \frac{1}{n} \cdot \frac{\prefop{\Delta}Q}{\prefop{\Delta}T} \text{,  przy }V=\text{const}

lub po przekształceniu

ΔQ=nCVΔT.ΔQ=nCVΔT. \prefop{\Delta} Q = nC_V \prefop{\Delta}T \text{.}
2.13

Jeżeli objętość pozostaje stała, to nie występują przemieszczenia ścianek zbiornika i nie jest wykonywana praca, czyli energia wewnętrzna gazu może zmienić się wyłącznie na skutek przepływu ciepła ΔU=ΔQΔU=ΔQ \prefop{\Delta}U = \prefop{\Delta} Q (to stwierdzenie zostanie omówione w następnym rozdziale). Na podstawie równania U=32nRTU=32nRT mamy ΔU=32nRΔT=ΔQΔU=32nRΔT=ΔQ \prefop{\Delta}U = 3/2 \cdot nR\prefop{\Delta}T = \prefop{\Delta} Q. Porównawszy to z [link], otrzymujemy prosty wynik dla jednoatomowego gazu doskonałego

CV=32R.CV=32R.

Ciepło molowe przy stałej objętości nie zależy od temperatury gazu, co uzasadnia stosowanie rachunku różnicowego zamiast różniczkowego. Wzór ten bardzo dobrze zgadza się z danymi doświadczalnymi.

W następnym rozdziale zostanie omówione ciepło molowe przy stałym ciśnieniu CpCp, które jest zawsze większe od CVCV.

Przykład 2.8

Wyznaczanie temperatury ogrzanego gazu

Próbka ksenonu o masie 0,125kg0,125kg i temperaturze 20°C20°C znajduje się w metalowym cylindrze o sztywnych ściankach i na tyle dużym, aby ksenon uznać za gaz doskonały. Cylinder ten wystawiono na otwartą przestrzeń w upalny, letni dzień. Ksenon, dochodząc do stanu równowagi, w którym jego temperatura zrównała się z temperaturą otoczenia, pobrał przez ścianki cylindra 180J180J ciepła. Ile wynosi równowagowa temperatura ksenonu? Pomijamy rozszerzalność metalowego cylindra.

Rozwiązanie

  • Należy określić wielkości dane: znamy temperaturę początkową t1=20°Ct1=20°C, dostarczone ciepło ΔQ=180JΔQ=180J \prefop{\Delta}Q = \SI{180}{\joule} oraz masę ksenonu m=0,125kgm=0,125kg.
  • Wyznaczamy wielkości szukane. Mamy obliczyć temperaturę końcową, czyli w zasadzie wyznaczamy przyrost temperatury gazu ΔTΔT.
  • Określamy, które wzory są nam potrzebne. Ponieważ ksenon jest gazem monoatomowym, to możemy skorzystać z ΔQ=32nRΔTΔQ=32nRΔT \prefop{\Delta}Q = 3/2 \cdot nR \prefop{\Delta} T. Wobec tego potrzebujemy jeszcze liczbę moli ksenonu n=mMn=mM.
  • Podstawiamy dane do równań i wyznaczamy wartości wielkości szukanych. Masa molowa ksenonu wynosi 131,3gmol131,3gmol, co daje
    n=125g131,3gmol=0,952mol,n=125g131,3gmol=0,952mol,
    ΔT=2ΔQ3nR=2180J30,952mol8,31JmolK=15,2K=15,2°C.ΔT=2ΔQ3nR=2180J30,952mol8,31JmolK=15,2K=15,2°C. \prefop{\Delta}T = \frac{2\prefop{\Delta}Q}{3nR} = \frac{2\cdot\SI{180}{\joule}}{3\cdot\SI{0,952}{\mole}\cdot\SI{8,31}{\joule\per\mole\per\kelvin}} = \SI{15,2}{\kelvin} = \SI{15,2}{\celsius} \text{.}
    A stąd otrzymujemy temperaturę, w której zachodzi równowaga t2=t1+ΔT=32,2°Ct2=t1+ΔT=32,2°C.

Znaczenie

Ogrzewanie gazu doskonałego lub prawie doskonałego w stałej objętości jest istotne w silnikach samochodowych i w wielu innych praktycznych układach.

Sprawdź, czy rozumiesz 2.6

W kalorymetrze zmieszano dwa mole helu o temperaturze 200K200K z dwoma molami kryptonu o temperaturze 400K400K. Jaka będzie końcowa temperatura mieszaniny?

Rozszerzymy otrzymany wynik na gazy doskonałe, których cząsteczki składają się z dwóch i więcej atomów. Takie cząsteczki, oprócz energii kinetycznej ich ruchu postępowego, posiadają także inne rodzaje energii – energię kinetyczną ich ruchu obrotowego oraz energie kinetyczną i potencjalną ich ruchów wibracyjnych (drgań). Pokażemy, że proste prawa pozwolą nam określić wartości średnich energii tych dodatkowych ruchów i rozwiązać postawiony problem, podobnie jak dla gazów jednoatomowych.

Stopnie swobody

W poprzedniej sekcji stwierdziliśmy, że 12mv2=32kBT12mv2=32kBT oraz że v2=3vx2v2=3vx2, a stąd wynika, że 12mvx2=12kBT12mvx2=12kBT. Taka sama zależność obowiązuje dla pozostałych kierunków ruchu, czyli dla vy2vy2 i vz2vz2. Wobec tego możemy interpretować energię 32kBT32kBT jako sumę udziałów po 12kBT12kBT pochodzących od każdego z trzech niezależnych kierunków ruchu postępowego. Rozpatrując gaz jako całość, widzimy, że liczba 3 we wzorze CV=32RCV=32R także jest konsekwencją tych trzech kierunków (wymiarów). Stopień swobody (ang. degree of freedom) definiujemy jako niezależny możliwy ruch cząsteczki tak, jak każdy z trzech kierunków jej przemieszczenia. Oznaczając przez d d liczbę stopni swobody, ciepło molowe przy stałym ciśnieniu dla monoatomowego gazu doskonałego możemy zapisać w postaci CV=d2RCV=d2R, gdzie d=3d=3 dla gazu monoatomowego.

Dział fizyki nazywany mechaniką statystyczną podaje, a doświadczenie to potwierdza, że CVCV dowolnego gazu doskonałego wyraża się powyższym wzorem, niezależnie od liczby stopni swobody. Fakt ten wynika z ogólniejszej zasady, zasady ekwipartycji energii (ang. equipartition theorem), która obowiązuje w termodynamice klasycznej (niekwantowej) dla układów w stanie równowagi termodynamicznej. Uzasadnienie tej zasady leży obecnie poza naszymi możliwościami. Tutaj zauważymy tylko, że energia jest rozdzielana pomiędzy stopnie swobody na skutek zderzeń międzycząsteczkowych.

Zasada ekwipartycji energii

Energia układu termodynamicznego znajdującego się w stanie równowagi jest równomiernie rozdzielona pomiędzy jego stopnie swobody. Zgodnie z tym ciepło molowe gazu doskonałego jest proporcjonalne do liczby jego stopni swobody d d

CV=d2R.CV=d2R.
2.14

Wynik ten otrzymał szkocki fizyk James Clerk Maxwell (1831–1879), którego nazwisko pojawi się jeszcze wiele razy w tej książce.

Dla przykładu rozpatrzmy dwuatomowy gaz doskonały (jest to dobry model dla azotu N2 lub dla tlenu O2). Gazy te posiadają więcej stopni swobody niż gaz jednoatomowy. Oprócz trzech stopni swobody ruchu postępowego każda cząsteczka posiada dwa niezależne stopnie swobody ruchu obrotowego dookoła osi prostopadłych do osi cząsteczki. Ponadto cząsteczka może wykonywać drgania równolegle do swojej osi. Ten ruch jest często modelowany za pomocą sprężyny spinającej oba atomy, a z opisu ruchu harmonicznego wiadomo, że drgania te mają zarówno energię kinetyczną, jak i energię potencjalną. Każda z tych form energii odpowiada jednemu stopniowi swobody, czyli liczba stopni swobody rośnie o kolejne dwa.

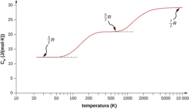
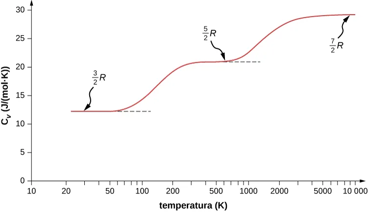
Powinniśmy się spodziewać, że gaz dwuatomowy ma klasycznie siedem stopni swobody. Jeżeli cząsteczki posiadają tylko energię kinetyczną ruchu postępowego, to zderzenia między nimi powinny w krótkim czasie wprawić je w ruch obrotowy i wibracje. Jednakże, jak to opisano w poprzednim podrozdziale, mechanika kwantowa kontroluje, które stopnie swobody mogą być w takiej sytuacji aktywne. Przedstawia to Ilustracja 2.13. Zarówno energie ruchów rotacyjnych, jak i wibracyjnych mogą przyjmować tylko wartości dyskretne (nieciągłe). W temperaturze poniżej ok. 60K60K energia cząsteczek wodoru jest zbyt mała, aby w wyniku zderzeń międzycząsteczkowych przenieść te cząsteczki z najniższego poziomu na kolejny poziom energetyczny stanów rotacyjnych lub wibracyjnych – cząsteczki mają tylko energię kinetyczną ruchu postępowego, czyli d=3d=3 i CV=32RCV=32R, tak samo jak dla gazu jednoatomowego. Powyżej tej temperatury dwa rotacyjne stopnie swobody zaczynają odgrywać rolę, gdyż niektóre molekuły są wzbudzane na drugi poziom energetyczny stanów rotacyjnych (ta temperatura jest znacznie niższa dla gazów dwuatomowych niż dla gazów jednoatomowych, ponieważ cząsteczki dwuatomowe posiadają znacznie większy moment bezwładności niż pojedyncze atomy i w konsekwencji znacznie niższe energie stanów rotacyjnych). Począwszy od temperatury pokojowej (nieco poniżej 300K300K) aż do temperatury ok. 600K600K, rotacyjne stopnie swobody stają się w pełni aktywne, natomiast wibracyjne stopnie swobody ciągle się nie ujawniają, czyli d=5d=5. W końcu, powyżej temperatury 3000K3000K wibracyjne stopnie swobody są całkowicie aktywne i d=7d=7, jak przewiduje teoria klasyczna.

Wykres molowej pojemności cieplnej C V w dżulach na mol razy kelwin jako funkcja temperatury w kelwinach. Pozioma skala logarytmiczna rozciąga się od 10 do 10,000. Liniowa skala pionowa rozciąga się od 10 do 30. Wykres pokazuje trzy poziomy. Pierwszy rozciąga się od około 20 K do 50 K i ma wartość stałą wynoszącą około 12,5 dżuli na mol razy kelwin, Oznaczony jest jako trzy drugie R. Wykres wznosi się stopniowo w górę do drugiego progu, który rozciąga się od około 300 K do około 500 K i przybiera stałą wartością około 20 dżuli na mol razy kelwin. Oznaczony jest jako pięć drugich R. Wykres znowu stopniowo rośnie i wypłaszcza się do trzeciego progu, który osiągany jest dla wartości około 3000 K i ma wartość ponad 30 dżuli na mol razy kelwin. Ten próg oznaczony jest jako siedem drugich R.
Ilustracja 2.13 Ciepło molowe w stałej objętości dla wodoru w funkcji temperatury (w skali logarytmicznej). Trzy stopnie, tzw. czyli plateau, odpowiadają różnym stopniom swobody cząsteczki aktywowanym przez odpowiednie energie. Translacyjna energia kinetyczna odpowiada trzem stopniom swobody, rotacyjna kolejnym dwóm, wibracyjna jeszcze dwóm.

Cząsteczki wieloatomowe zazwyczaj posiadają dodatkowo jeden rotacyjny stopień swobody, ponieważ mają porównywalne wartości momentów bezwładności dookoła trzech osi (ale są wyjątki, np. cząsteczka CO2, w której atomy ustawione są wzdłuż jednej linii – przyp. tłum.). Dlatego w temperaturze pokojowej mamy d = 6 d=6, a w wysokich temperaturach d = 8 d=8.

Jak wynika z Tabeli 2.3, rozważania teoretyczne zgadzają się bardzo dobrze z danymi doświadczalnymi dla wielu jednoatomowych i dwuatomowych gazów, ale ich zgodność dla gazów trójatomowych jest tylko jakościowa. Przyczyną tych niezgodności jest pomijanie oddziaływań między- i wewnątrzcząsteczkowych.

Gaz CVRCVR w temperaturze 25°C25°C i pod ciśnieniem 1atm1atm
Ar 1,51,5
He 1,51,5
Ne 1,51,5
CO 2,52,5
H2 2,472,47
N2 2,52,5
O2 2,532,53
F2 2,82,8
CO2 3,483,48
H2S 3,133,13
N2O 3,663,66
Tabela 2.3 C V R C V R dla różnych jedno-, dwu- i trójatomowych gazów.

A co z energią wewnętrzną dla dwu- i wieloatomowych gazów? Dla nich CVCV zależy od temperatury (Ilustracja 2.13) i nie ma tak prostego wzoru, jak dla gazów jednoatomowych.

Ciepło molowe ciał stałych

Zasada ekwipartycji energii może służyć do oszacowania ciepła molowego ciał stałych w zwykłych temperaturach. Możemy zamodelować budowę ciała stałego jako zbioru atomów, z których każdy powiązany jest z sąsiednimi atomami za pomocą sprężyn (idealnych) (Ilustracja 2.14).

Rysunek przedstawia model ciała stałego. Siedem atomów reprezentowanych jest przez małe kulki. Atom leżący w centrum jest połączony sprężynami z pozostałymi, które leżą po jednym nad nim, pod nim, z boku po obu stronach, przed nim i za nim. Sprężyny opisane są jako „sprężyny idealne”. Każdy z atomów połączony jest sprężynami z najbliższymi sąsiadami, czego nie pokazano na rysunku.
Ilustracja 2.14 Prosty model ciała stałego – każdy atom połączony jest z innymi atomami za pomocą sześciu sprężyn, po dwie dla każdego kierunku x x y y i  z z. Każdemu z trzech kierunków podstawowych odpowiadają dwa stopnie swobody, jeden dla energii kinetycznej, a drugi dla energii potencjalnej. Stąd d = 6 d=6.

Zgodnie z analizą wibracji przeprowadzoną w poprzednim podrozdziale, każdy atom posiada sześć stopni swobody – trzy dla energii kinetycznej i trzy dla energii potencjalnej drgań odbywających się w każdym z kierunków x x, y y i z z. W związku z tym ciepło molowe metali powinno wynosić 3 R 3R. Wynik ten, znany jako prawo Dulonga-Petita (ang. law of Dulong and Petit), jest dobrze potwierdzony eksperymentalnie w temperaturach pokojowych. Dla każdego pierwiastka prawo to zawodzi w niskich temperaturach z powodów efektów kwantowo-mechanicznych. Ponieważ efekty kwantowe są szczególnie ważne dla lekkich cząstek, to prawo Dulonga-Petita zawodzi nawet w temperaturze pokojowej w przypadku lekkich pierwiastków, jak beryl i węgiel. Prawo to zawodzi także dla niektórych cięższych pierwiastków z powodów, których wyjaśnienie leży w tej chwili poza naszymi możliwościami.

Strategia rozwiązywania zadań

Strategia rozwiązywania zadań: ciepło właściwe i zasada ekwipartycji energii

Strategia rozwiązywania takich zadań jest taka sama jak dla zjawiska przewodnictwa cieplnego w Przemianach fazowych. Jedyną nową cechą rozwiązania jest to, że należy sprawdzić, czy rozpatrzony powyżej model – gaz doskonały o stałej objętości – można zastosować do danego zadania (w przypadku ciał stałych lepiej jest odszukać wartości ich ciepła właściwego w odpowiednich tabelach, aniżeli oszacowywać je za pomocą prawa Dulonga-Petita). W przypadku gazu doskonałego należy określić liczbę stopni swobody d d na podstawie liczby atomów w cząsteczce gazu i użyć jej do obliczenia C V C V (lub użyć C V C V , aby obliczyć d d).

Przykład 2.9

Wyznaczanie temperatury – kalorymetria gazu doskonałego

Próbka stałego galu (metal używany w urządzeniach półprzewodnikowych) o masie 300g300g i temperaturze 30°C30°C, która jest jego temperaturą topnienia, pozostaje w kontakcie z 12molami12molami \SI{12}{\molami} powietrza (o którym zakładamy, że jest gazem dwuatomowym) o temperaturze 95°C95°C w izolowanym cieplnie pojemniku. Stan równowagi termicznej powietrza i galu został osiągnięty po stopieniu się 202g202g galu. Na podstawie tych danych obliczmy ciepło topnienia galu. Zakładamy, że objętość powietrza nie ulega zmianie i że nie ma strat ciepła.

Strategia rozwiązania

Skorzystamy z równania ΔQodd+ΔQpob=0JΔQodd+ΔQpob=0J \prefop{\Delta} Q_{\text{odd}} + \prefop{\Delta} Q_{\text{pob}} = \SI{0}{\joule}. Ponieważ część próbki galu nie uległa stopieniu, wnioskujemy, że końcowa temperatura jest równa temperaturze topnienia galu. Wobec tego jedynym źródłem ciepła oddanego ΔQoddΔQodd \prefop{\Delta} Q_{\text{odd}} jest utrata ciepła przez ochładzające się powietrze ΔQodd=npowCVΔTΔQodd=npowCVΔT \prefop{\Delta} Q_{\text{odd}} = n_{\text{pow}}C_V \prefop{\Delta}T, gdzie CV=52RCV=52R. Ciepło pobrane ΔQpobΔQpob \prefop{\Delta} Q_{\text{pob}} to ciepło utajone topnienia galu Qpob=mGaLQpob=mGaL Q_{\text{pob}} = m_{\text{Ga}}L, gdzie mGamGa jest masą stopionego galu.

Rozwiązanie

  • Tworzymy równanie bilansu cieplnego
    npowCVΔT+mGaL=0J.npowCVΔT+mGaL=0J.
  • Rozwiązujemy równanie bilansu cieplnego względem L L i podstawiamy dane
    L=npowCVΔTmGa=12mol528,31JmolK65K0,202kg=80,2kJkg.L=npowCVΔTmGa=12mol528,31JmolK65K0,202kg=80,2kJkg.
Cytowanie i udostępnianie

Ten podręcznik nie może być wykorzystywany do trenowania sztucznej inteligencji ani do przetwarzania przez systemy sztucznej inteligencji bez zgody OpenStax lub OpenStax Poland.

Chcesz zacytować, udostępnić albo zmodyfikować treść tej książki? Została ona wydana na licencji Uznanie autorstwa (CC BY) , która wymaga od Ciebie uznania autorstwa OpenStax.

Cytowanie i udostępnienia
  • Jeśli rozpowszechniasz tę książkę w formie drukowanej, umieść na każdej jej kartce informację:
    Treści dostępne za darmo na https://openstax.org/books/fizyka-dla-szk%C3%B3%C5%82-wy%C5%BCszych-tom-2/pages/1-wstep
  • Jeśli rozpowszechniasz całą książkę lub jej fragment w formacie cyfrowym, na każdym widoku strony umieść informację:
    Treści dostępne za darmo na https://openstax.org/books/fizyka-dla-szk%C3%B3%C5%82-wy%C5%BCszych-tom-2/pages/1-wstep
Cytowanie

© 21 wrz 2022 OpenStax. Treść książki została wytworzona przez OpenStax na licencji Uznanie autorstwa (CC BY) . Nazwa OpenStax, logo OpenStax, okładki OpenStax, nazwa OpenStax CNX oraz OpenStax CNX logo nie podlegają licencji Creative Commons i wykorzystanie ich jest dozwolone wyłącznie na mocy uprzedniego pisemnego upoważnienia przez Rice University.