By the end of this section, you will be able to:
- Add rational expressions with a common denominator
- Subtract rational expressions with a common denominator
- Add and subtract rational expressions whose denominators are opposites
Before you get started, take this readiness quiz.
If you miss a problem, go back to the section listed and review the material.
- Add:
If you missed this problem, review Example 1.77.
- Subtract:
If you missed this problem, review Example 1.79.
- Factor completely:
If you missed this problem, review Example 7.59.
- Factor completely:
If you missed this problem, review Example 7.62.
Add Rational Expressions with a Common Denominator
What is the first step you take when you add numerical fractions? You check if they have a common denominator. If they do, you add the numerators and place the sum over the common denominator. If they do not have a common denominator, you find one before you add.
It is the same with rational expressions. To add rational expressions, they must have a common denominator. When the denominators are the same, you add the numerators and place the sum over the common denominator.
Rational Expression Addition
If are polynomials where , then
To add rational expressions with a common denominator, add the numerators and place the sum over the common denominator.
We will add two numerical fractions first, to remind us of how this is done.
Solution
Remember, we do not allow values that would make the denominator zero. What value of should be excluded in the next example?
Add:
Solution
The numerator and denominator cannot be factored. The fraction is simplified.
Add:
Add:
Add:
Solution
Add:
Add:
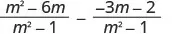
Subtract Rational Expressions with a Common Denominator
To subtract rational expressions, they must also have a common denominator. When the denominators are the same, you subtract the numerators and place the difference over the common denominator.
Rational Expression Subtraction
If are polynomials where , then
To subtract rational expressions, subtract the numerators and place the difference over the common denominator.
We always simplify rational expressions. Be sure to factor, if possible, after you subtract the numerators so you can identify any common factors.
Subtract:
Solution
Subtract:
Subtract:
Be careful of the signs when you subtract a binomial!
Subtract:
Solution
Subtract:
Subtract:
Subtract:
Solution
Subtract:
Subtract:
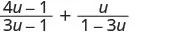
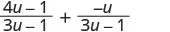
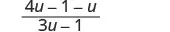
Add and Subtract Rational Expressions whose Denominators are Opposites
When the denominators of two rational expressions are opposites, it is easy to get a common denominator. We just have to multiply one of the fractions by .
Let’s see how this works.
|
|  |
| Multiply the second fraction by . |
 |
| The denominators are the same. |
 |
| Simplify. |
 |
Add:
Add:
Subtract:
Subtract:
Section 8.3 Exercises
Practice Makes Perfect
Add Rational Expressions with a Common Denominator
In the following exercises, add.
131.
132.
133.
134.
135.
136.
137.
138.
139.
140.
141.
142.
143.
144.
Subtract Rational Expressions with a Common Denominator
In the following exercises, subtract.
145.
146.
147.
148.
149.
150.
151.
152.
153.
154.
155.
156.
Add and Subtract Rational Expressions whose Denominators are Opposites
In the following exercises, add.
157.
158.
159.
160.
In the following exercises, subtract.
161.
162.
163.
164.
Everyday Math
165.
Sarah ran 8 miles and then biked 24 miles. Her biking speed is 4 mph faster than her running speed. If represents Sarah’s speed when she ran, then her running time is modeled by the expression and her biking time is modeled by the expression Add the rational expressions to get an expression for the total amount of time Sarah ran and biked.
166.
If Pete can paint a wall in hours, then in one hour he can paint of the wall. It would take Penelope 3 hours longer than Pete to paint the wall, so in one hour she can paint of the wall. Add the rational expressions to get an expression for the part of the wall Pete and Penelope would paint in one hour if they worked together.
Writing Exercises
167.
Donald thinks that is Is Donald correct? Explain.
168.
Explain how you find the Least Common Denominator of and
Self Check
ⓐ After completing the exercises, use this checklist to evaluate your mastery of the objectives of this section.
ⓑ What does this checklist tell you about your mastery of this section? What steps will you take to improve?