Skip to ContentGo to accessibility pageKeyboard shortcuts menu
OpenStax Logo
Elementary Algebra

8.2 Multiply and Divide Rational Expressions

Elementary Algebra8.2 Multiply and Divide Rational Expressions
Search for key terms or text.

Learning Objectives

By the end of this section, you will be able to:

  • Multiply rational expressions
  • Divide rational expressions

Be Prepared 8.2

Before you get started, take this readiness quiz.

If you miss a problem, go back to the section listed and review the material.

  1. Multiply: 1415·635.1415·635.
    If you missed this problem, review Example 1.68.
  2. Divide: 1415÷635.1415÷635.
    If you missed this problem, review Example 1.71.
  3. Factor completely: 2x298.2x298.
    If you missed this problem, review Example 7.62.
  4. Factor completely: 10n3+10.10n3+10.
    If you missed this problem, review Example 7.65.
  5. Factor completely: 10p225pq15q2.10p225pq15q2.
    If you missed this problem, review Example 7.68.

Multiply Rational Expressions

To multiply rational expressions, we do just what we did with numerical fractions. We multiply the numerators and multiply the denominators. Then, if there are any common factors, we remove them to simplify the result.

Multiplication of Rational Expressions

If p,q,r,sp,q,r,s are polynomials where q0ands0q0ands0, then

pq·rs=prqspq·rs=prqs

To multiply rational expressions, multiply the numerators and multiply the denominators.

We’ll do the first example with numerical fractions to remind us of how we multiplied fractions without variables.

Example 8.17

Multiply: 1028·815.1028·815.

Try It 8.33

Mulitply: 610·1512.610·1512.

Try It 8.34

Mulitply: 2015·68.2015·68.

Remember, throughout this chapter, we will assume that all numerical values that would make the denominator be zero are excluded. We will not write the restrictions for each rational expression, but keep in mind that the denominator can never be zero. So in this next example, x0x0 and y0y0.

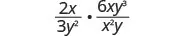
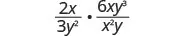
Example 8.18

Mulitply: 2x3y2·6xy3x2y.2x3y2·6xy3x2y.

Try It 8.35

Mulitply: 3pqq2·5p2q6pq.3pqq2·5p2q6pq.

Try It 8.36

Mulitply: 6x3y7x2·2xy3x2y.6x3y7x2·2xy3x2y.

Example 8.19

How to Multiply Rational Expressions

Mulitply: 2xx2-7x+12·x296x2.2xx2-7x+12·x296x2.

Try It 8.37

Mulitply: 5xx2+5x+6·x2410x.5xx2+5x+6·x2410x.

Try It 8.38

Mulitply: 9x2x2+11x+30·x2363x2.9x2x2+11x+30·x2363x2.

How To

Multiply a rational expression.

  1. Step 1. Factor each numerator and denominator completely.
  2. Step 2. Multiply the numerators and denominators.
  3. Step 3. Simplify by dividing out common factors.

Example 8.20

Multiply: n27nn2+2n+1·n+12n.n27nn2+2n+1·n+12n.

Try It 8.39

Multiply: x225x23x10·x+2x.x225x23x10·x+2x.

Try It 8.40

Multiply: x24xx2+5x+6·x+2x.x24xx2+5x+6·x+2x.

Example 8.21

Multiply: 164x2x12·x25x6x216.164x2x12·x25x6x216.

Try It 8.41

Multiply: 12x6x2x2+8x·x2+11x+24x24.12x6x2x2+8x·x2+11x+24x24.

Try It 8.42

Multiply: 9v3v29v+36·v2+7v+12v29.9v3v29v+36·v2+7v+12v29.

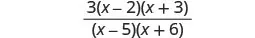
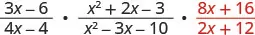
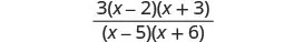
Example 8.22

Multiply: 2x6x28x+15·x2252x+10.2x6x28x+15·x2252x+10.

Try It 8.43

Multiply: 3a21a29a+14·a243a+6.3a21a29a+14·a243a+6.

Try It 8.44

Multiply: b2bb2+9b10·b2100b210b.b2bb2+9b10·b2100b210b.

Divide Rational Expressions

To divide rational expressions we multiply the first fraction by the reciprocal of the second, just like we did for numerical fractions.

Remember, the reciprocal of abab is baba. To find the reciprocal we simply put the numerator in the denominator and the denominator in the numerator. We “flip” the fraction.

Division of Rational Expressions

If p,q,r,sp,q,r,s are polynomials where q0,r0,s0q0,r0,s0, then

pq÷rs=pq·srpq÷rs=pq·sr

To divide rational expressions multiply the first fraction by the reciprocal of the second.

Example 8.23

How to Divide Rational Expressions

Divide: x+96x÷x281x6.x+96x÷x281x6.

Try It 8.45

Divide: c+35c÷c29c5.c+35c÷c29c5.

Try It 8.46

Divide: 2dd4÷4d24d.2dd4÷4d24d.

How To

Divide rational expressions.

  1. Step 1. Rewrite the division as the product of the first rational expression and the reciprocal of the second.
  2. Step 2. Factor the numerators and denominators completely.
  3. Step 3. Multiply the numerators and denominators together.
  4. Step 4. Simplify by dividing out common factors.

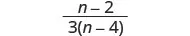
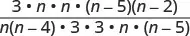
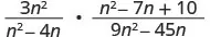
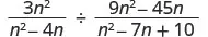
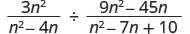
Example 8.24

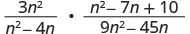
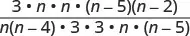
Divide: 3n2n24n÷9n245nn27n+10.3n2n24n÷9n245nn27n+10.

Try It 8.47

Divide: 2m2m28m÷8m2+24mm2+m6.2m2m28m÷8m2+24mm2+m6.

Try It 8.48

Divide: 15n23n2+33n÷5n5n2+9n22.15n23n2+33n÷5n5n2+9n22.

Remember, first rewrite the division as multiplication of the first expression by the reciprocal of the second. Then factor everything and look for common factors.

Example 8.25

Divide: 2x2+5x12x216÷2x213x+15x28x+16.2x2+5x12x216÷2x213x+15x28x+16.

Try It 8.49

Divide: 3a28a3a225÷3a214a5a2+10a+25.3a28a3a225÷3a214a5a2+10a+25.

Try It 8.50

Divide: 4b2+7b21b2÷4b2+15b4b22b+1.4b2+7b21b2÷4b2+15b4b22b+1.

Example 8.26

Divide: p3+q32p2+2pq+2q2÷p2q26.p3+q32p2+2pq+2q2÷p2q26.

Try It 8.51

Divide: x383x26x+12÷x246.x383x26x+12÷x246.

Try It 8.52

Divide: 2z2z21÷z3z2+zz31.2z2z21÷z3z2+zz31.

Before doing the next example, let’s look at how we divide a fraction by a whole number. When we divide 35÷435÷4, we first write 4 as a fraction so that we can find its reciprocal.

35÷435÷4135·1435÷435÷4135·14

We do the same thing when we divide rational expressions.

Example 8.27

Divide: a2b23ab÷(a2+2ab+b2).a2b23ab÷(a2+2ab+b2).

Try It 8.53

Divide: 2x214x164÷(x2+2x+1).2x214x164÷(x2+2x+1).

Try It 8.54

Divide: y26y+8y24y÷(3y212y).y26y+8y24y÷(3y212y).

Remember a fraction bar means division. A complex fraction is another way of writing division of two fractions.

Example 8.28

Divide: 6x27x+24x82x27x+3x25x+6.6x27x+24x82x27x+3x25x+6.

Try It 8.55

Divide: 3x2+7x+24x+243x214x5x2+x30.3x2+7x+24x+243x214x5x2+x30.

Try It 8.56

Divide: y2362y2+11y62y22y608y4.y2362y2+11y62y22y608y4.

If we have more than two rational expressions to work with, we still follow the same procedure. The first step will be to rewrite any division as multiplication by the reciprocal. Then we factor and multiply.

Example 8.29

Divide: 3x64x4·x2+2x3x23x10÷2x+128x+16.3x64x4·x2+2x3x23x10÷2x+128x+16.

Try It 8.57

Divide: 4m+43m15·m23m10m24m32÷12m366m48.4m+43m15·m23m10m24m32÷12m366m48.

Try It 8.58

Divide: 2n2+10nn1÷n2+10n+24n2+8n9·n+48n2+12n.2n2+10nn1÷n2+10n+24n2+8n9·n+48n2+12n.

Section 8.2 Exercises

Practice Makes Perfect

Multiply Rational Expressions

In the following exercises, multiply.

73.

12 16 · 4 10 12 16 · 4 10

74.

32 5 · 16 24 32 5 · 16 24

75.

18 10 · 4 30 18 10 · 4 30

76.

21 36 · 45 24 21 36 · 45 24

77.

5 x 2 y 4 12 x y 3 · 6 x 2 20 y 2 5 x 2 y 4 12 x y 3 · 6 x 2 20 y 2

78.

8 w 3 y 9 y 2 · 3 y 4 w 4 8 w 3 y 9 y 2 · 3 y 4 w 4

79.

12 a 3 b b 2 · 2 a b 2 9 b 3 12 a 3 b b 2 · 2 a b 2 9 b 3

80.

4 m n 2 5 n 3 · m n 3 8 m 2 n 2 4 m n 2 5 n 3 · m n 3 8 m 2 n 2

81.

5 p 2 p 2 5 p 36 · p 2 16 10 p 5 p 2 p 2 5 p 36 · p 2 16 10 p

82.

3 q 2 q 2 + q 6 · q 2 9 9 q 3 q 2 q 2 + q 6 · q 2 9 9 q

83.

4 r r 2 3 r 10 · r 2 25 8 r 2 4 r r 2 3 r 10 · r 2 25 8 r 2

84.

s s 2 9 s + 14 · s 2 49 7 s 2 s s 2 9 s + 14 · s 2 49 7 s 2

85.

x 2 7 x x 2 + 6 x + 9 · x + 3 4 x x 2 7 x x 2 + 6 x + 9 · x + 3 4 x

86.

2 y 2 10 y y 2 + 10 y + 25 · y + 5 6 y 2 y 2 10 y y 2 + 10 y + 25 · y + 5 6 y

87.

z 2 + 3 z z 2 3 z 4 · z 4 z 2 z 2 + 3 z z 2 3 z 4 · z 4 z 2

88.

2 a 2 + 8 a a 2 9 a + 20 · a 5 a 2 2 a 2 + 8 a a 2 9 a + 20 · a 5 a 2

89.

28 4 b 3 b 3 · b 2 + 8 b 9 b 2 49 28 4 b 3 b 3 · b 2 + 8 b 9 b 2 49

90.

18 c 2 c 2 6 c + 30 · c 2 + 7 c + 10 c 2 81 18 c 2 c 2 6 c + 30 · c 2 + 7 c + 10 c 2 81

91.

35 d 7 d 2 d 2 + 7 d · d 2 + 12 d + 35 d 2 25 35 d 7 d 2 d 2 + 7 d · d 2 + 12 d + 35 d 2 25

92.

72 m 12 m 2 8 m + 32 · m 2 + 10 m + 24 m 2 36 72 m 12 m 2 8 m + 32 · m 2 + 10 m + 24 m 2 36

93.

4 n + 20 n 2 + n 20 · n 2 16 4 n + 16 4 n + 20 n 2 + n 20 · n 2 16 4 n + 16

94.

6 p 2 6 p p 2 + 7 p 18 · p 2 81 3 p 2 27 p 6 p 2 6 p p 2 + 7 p 18 · p 2 81 3 p 2 27 p

95.

q 2 2 q q 2 + 6 q 16 · q 2 64 q 2 8 q q 2 2 q q 2 + 6 q 16 · q 2 64 q 2 8 q

96.

2 r 2 2 r r 2 + 4 r 5 · r 2 25 2 r 2 10 r 2 r 2 2 r r 2 + 4 r 5 · r 2 25 2 r 2 10 r

Divide Rational Expressions

In the following exercises, divide.

97.

t 6 3 t ÷ t 2 9 t 5 t 6 3 t ÷ t 2 9 t 5

98.

v 5 11 v ÷ v 2 25 v 11 v 5 11 v ÷ v 2 25 v 11

99.

10 + w w 8 ÷ 100 w 2 8 w 10 + w w 8 ÷ 100 w 2 8 w

100.

7 + x x 6 ÷ 49 x x + 6 2 7 + x x 6 ÷ 49 x x + 6 2

101.

27 y 2 3 y 21 ÷ 3 y 2 + 18 y 2 + 13 y + 42 27 y 2 3 y 21 ÷ 3 y 2 + 18 y 2 + 13 y + 42

102.

24 z 2 2 z 8 ÷ 4 z 28 z 2 11 z + 28 24 z 2 2 z 8 ÷ 4 z 28 z 2 11 z + 28

103.

16 a 2 4 a + 36 ÷ 4 a 2 24 a a 2 + 4 a 45 16 a 2 4 a + 36 ÷ 4 a 2 24 a a 2 + 4 a 45

104.

24 b 2 2 b 4 ÷ 12 b 2 + 36 b b 2 11 b + 18 24 b 2 2 b 4 ÷ 12 b 2 + 36 b b 2 11 b + 18

105.

5 c 2 + 9 c + 2 c 2 25 ÷ 3 c 2 14 c 5 c 2 + 10 c + 25 5 c 2 + 9 c + 2 c 2 25 ÷ 3 c 2 14 c 5 c 2 + 10 c + 25

106.

2 d 2 + d 3 d 2 16 ÷ 2 d 2 9 d 18 d 2 8 d + 16 2 d 2 + d 3 d 2 16 ÷ 2 d 2 9 d 18 d 2 8 d + 16

107.

6 m 2 2 m 10 9 m 2 ÷ 6 m 2 + 29 m 20 m 2 6 m + 9 6 m 2 2 m 10 9 m 2 ÷ 6 m 2 + 29 m 20 m 2 6 m + 9

108.

2 n 2 3 n 14 25 n 2 ÷ 2 n 2 13 n + 21 n 2 10 n + 25 2 n 2 3 n 14 25 n 2 ÷ 2 n 2 13 n + 21 n 2 10 n + 25

109.

3 s 2 s 2 16 ÷ s 3 + 4 s 2 + 16 s s 3 64 3 s 2 s 2 16 ÷ s 3 + 4 s 2 + 16 s s 3 64

110.

r 2 9 15 ÷ r 3 27 5 r 2 + 15 r + 45 r 2 9 15 ÷ r 3 27 5 r 2 + 15 r + 45

111.

p 3 + q 3 3 p 2 + 3 p q + 3 q 2 ÷ p 2 q 2 12 p 3 + q 3 3 p 2 + 3 p q + 3 q 2 ÷ p 2 q 2 12

112.

v 3 8 w 3 2 v 2 + 4 v w + 8 w 2 ÷ v 2 4 w 2 4 v 3 8 w 3 2 v 2 + 4 v w + 8 w 2 ÷ v 2 4 w 2 4

113.

t 2 9 2 t ÷ ( t 2 6 t + 9 ) t 2 9 2 t ÷ ( t 2 6 t + 9 )

114.

x 2 + 3 x 10 4 x ÷ ( 2 x 2 + 20 x + 50 ) x 2 + 3 x 10 4 x ÷ ( 2 x 2 + 20 x + 50 )

115.

2 y 2 10 y z 48 z 2 2 y 1 ÷ ( 4 y 2 32 y z ) 2 y 2 10 y z 48 z 2 2 y 1 ÷ ( 4 y 2 32 y z )

116.

2 m 2 98 n 2 2 m + 6 ÷ ( m 2 7 m n ) 2 m 2 98 n 2 2 m + 6 ÷ ( m 2 7 m n )

117.

2 a 2 a 21 5 a + 20 a 2 + 7 a + 12 a 2 + 8 a + 16 2 a 2 a 21 5 a + 20 a 2 + 7 a + 12 a 2 + 8 a + 16

118.

3 b 2 + 2 b 8 12 b + 18 3 b 2 + 2 b 8 2 b 2 7 b 15 3 b 2 + 2 b 8 12 b + 18 3 b 2 + 2 b 8 2 b 2 7 b 15

119.

12 c 2 12 2 c 2 3 c + 1 4 c + 4 6 c 2 13 c + 5 12 c 2 12 2 c 2 3 c + 1 4 c + 4 6 c 2 13 c + 5

120.

4 d 2 + 7 d 2 35 d + 10 d 2 4 7 d 2 12 d 4 4 d 2 + 7 d 2 35 d + 10 d 2 4 7 d 2 12 d 4

121.

10m2+80m3m9·m2+4m21m29m+2010m2+80m3m9·m2+4m21m29m+20
÷5m2+10m2m10÷5m2+10m2m10

122.

4n2+32n3n+2·3n2n2n2+n304n2+32n3n+2·3n2n2n2+n30
÷108n224nn+6÷108n224nn+6

123.

12p2+3pp+3÷p2+2p63p2p1212p2+3pp+3÷p2+2p63p2p12
·p79p39p2·p79p39p2

124.

6q+39q29q÷q2+14q+33q2+4q56q+39q29q÷q2+14q+33q2+4q5
·4q2+12q12q+6·4q2+12q12q+6

Everyday Math

125.

Probability The director of large company is interviewing applicants for two identical jobs. If w=w= the number of women applicants and m=m= the number of men applicants, then the probability that two women are selected for the jobs is ww+m·w1w+m1.ww+m·w1w+m1.

  1. Simplify the probability by multiplying the two rational expressions.
  2. Find the probability that two women are selected when w=5w=5 and m=10m=10.
126.

Area of a triangle The area of a triangle with base b and height h is bh2.bh2. If the triangle is stretched to make a new triangle with base and height three times as much as in the original triangle, the area is 9bh2.9bh2. Calculate how the area of the new triangle compares to the area of the original triangle by dividing 9bh29bh2 by bh2bh2.

Writing Exercises

127.
  1. Multiply 74·91074·910 and explain all your steps.
  2. Multiply nn3·9n+3nn3·9n+3 and explain all your steps.
  3. Evaluate your answer to part (b) when n=7.n=7. Did you get the same answer you got in part (a)? Why or why not?
128.
  1. Divide 245÷6245÷6 and explain all your steps.
  2. Divide x21x÷(x+1)x21x÷(x+1) and explain all your steps.
  3. Evaluate your answer to part (b) when x=5.x=5. Did you get the same answer you got in part (a)? Why or why not?

Self Check

After completing the exercises, use this checklist to evaluate your mastery of the objectives of this section.

The above image is a table with four columns and four rows. The first row is the header row. The first header is labeled “I can…”, the second “Confidently”, the third, “With some help”, and the fourth “No – I don’t get it!”. In the first column under “I can”, the next row reads multiply rational expressions.”, the next row reads “divide rational expressions.”, the last row reads “after reviewing this checklist, what will you do to become confident for all objectives?” The remaining columns are blank.

After reviewing this checklist, what will you do to become confident for all objectives?

Citation/Attribution

This book may not be used in the training of large language models or otherwise be ingested into large language models or generative AI offerings without OpenStax's permission.

Want to cite, share, or modify this book? This book uses the Creative Commons Attribution License and you must attribute OpenStax.

Attribution information
  • If you are redistributing all or part of this book in a print format, then you must include on every physical page the following attribution:

    Access for free at https://openstax.org/books/elementary-algebra/pages/1-introduction

  • If you are redistributing all or part of this book in a digital format, then you must include on every digital page view the following attribution:

    Access for free at https://openstax.org/books/elementary-algebra/pages/1-introduction

Citation information

© Feb 9, 2022 OpenStax. Textbook content produced by OpenStax is licensed under a Creative Commons Attribution License . The OpenStax name, OpenStax logo, OpenStax book covers, OpenStax CNX name, and OpenStax CNX logo are not subject to the Creative Commons license and may not be reproduced without the prior and express written consent of Rice University.