Skip to ContentGo to accessibility pageKeyboard shortcuts menu
OpenStax Logo
Elementary Algebra

7.6 Quadratic Equations

Elementary Algebra7.6 Quadratic Equations
Search for key terms or text.

Learning Objectives

By the end of this section, you will be able to:

  • Solve quadratic equations by using the Zero Product Property
  • Solve quadratic equations factoring
  • Solve applications modeled by quadratic equations

Be Prepared 7.6

Before you get started, take this readiness quiz.

  1. Solve: 5y3=05y3=0.
    If you missed this problem, review Example 2.27.
  2. Solve: 10a=010a=0.
    If you missed this problem, review Example 2.13.
  3. Combine like terms: 12x26x+4x12x26x+4x.
    If you missed this problem, review Example 1.24.
  4. Factor n39n222nn39n222n completely.
    If you missed this problem, review Example 7.32.

We have already solved linear equations, equations of the form ax+by=cax+by=c. In linear equations, the variables have no exponents. Quadratic equations are equations in which the variable is squared. Listed below are some examples of quadratic equations:

x2+5x+6=03y2+4y=1064u281=0n(n+1)=42x2+5x+6=03y2+4y=1064u281=0n(n+1)=42

The last equation doesn’t appear to have the variable squared, but when we simplify the expression on the left we will get n2+nn2+n.

The general form of a quadratic equation is ax2+bx+c=0,witha0ax2+bx+c=0,witha0.

Quadratic Equation

An equation of the form ax2+bx+c=0ax2+bx+c=0 is called a quadratic equation.

a,b,andcare real numbers anda0a,b,andcare real numbers anda0

To solve quadratic equations we need methods different than the ones we used in solving linear equations. We will look at one method here and then several others in a later chapter.

Solve Quadratic Equations Using the Zero Product Property

We will first solve some quadratic equations by using the Zero Product Property. The Zero Product Property says that if the product of two quantities is zero, it must be that at least one of the quantities is zero. The only way to get a product equal to zero is to multiply by zero itself.

Zero Product Property

If a·b=0a·b=0, then either a=0a=0 or b=0b=0 or both.

We will now use the Zero Product Property, to solve a quadratic equation.

Example 7.69

How to Use the Zero Product Property to Solve a Quadratic Equation

Solve: (x+1)(x4)=0(x+1)(x4)=0.

Try It 7.137

Solve: (x3)(x+5)=0(x3)(x+5)=0.

Try It 7.138

Solve: (y6)(y+9)=0(y6)(y+9)=0.

We usually will do a little more work than we did in this last example to solve the linear equations that result from using the Zero Product Property.

Example 7.70

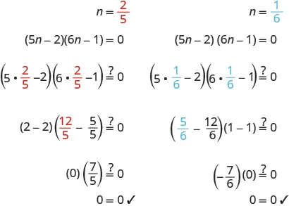
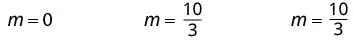
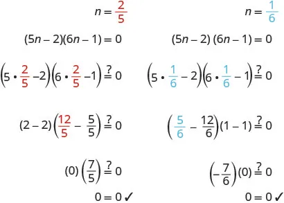
Solve: (5n2)(6n1)=0(5n2)(6n1)=0.

Try It 7.139

Solve: (3m2)(2m+1)=0(3m2)(2m+1)=0.

Try It 7.140

Solve: (4p+3)(4p3)=0(4p+3)(4p3)=0.

Notice when we checked the solutions that each of them made just one factor equal to zero. But the product was zero for both solutions.

Example 7.71

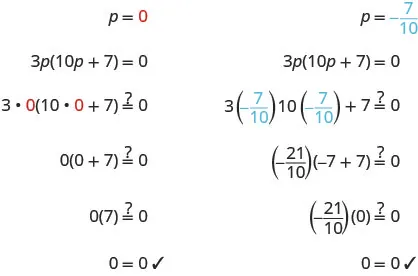
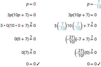
Solve: 3p(10p+7)=03p(10p+7)=0.

Try It 7.141

Solve: 2u(5u1)=02u(5u1)=0.

Try It 7.142

Solve: w(2w+3)=0w(2w+3)=0.

It may appear that there is only one factor in the next example. Remember, however, that (y8)2(y8)2 means (y8)(y8)(y8)(y8).

Example 7.72

Solve: (y8)2=0(y8)2=0.

Try It 7.143

Solve: (x+1)2=0(x+1)2=0.

Try It 7.144

Solve: (v2)2=0(v2)2=0.

Solve Quadratic Equations by Factoring

Each of the equations we have solved in this section so far had one side in factored form. In order to use the Zero Product Property, the quadratic equation must be factored, with zero on one side. So we be sure to start with the quadratic equation in standard form, ax2+bx+c=0ax2+bx+c=0. Then we factor the expression on the left.

Example 7.73

How to Solve a Quadratic Equation by Factoring

Solve: x2+2x8=0x2+2x8=0.

Try It 7.145

Solve: x2x12=0x2x12=0.

Try It 7.146

Solve: b2+9b+14=0b2+9b+14=0.

How To

Solve a quadratic equation by factoring.

  1. Step 1. Write the quadratic equation in standard form, ax2+bx+c=0ax2+bx+c=0.
  2. Step 2. Factor the quadratic expression.
  3. Step 3. Use the Zero Product Property.
  4. Step 4. Solve the linear equations.
  5. Step 5. Check.

Before we factor, we must make sure the quadratic equation is in standard form.

Example 7.74

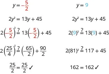
Solve: 2y2=13y+452y2=13y+45.

Try It 7.147

Solve: 3c2=10c83c2=10c8.

Try It 7.148

Solve: 2d25d=32d25d=3.

Example 7.75

Solve: 5x213x=7x5x213x=7x.

Try It 7.149

Solve: 6a2+9a=3a6a2+9a=3a.

Try It 7.150

Solve: 45b22b=−17b45b22b=−17b.

Solving quadratic equations by factoring will make use of all the factoring techniques you have learned in this chapter! Do you recognize the special product pattern in the next example?

Example 7.76

Solve: 144q2=25144q2=25.

Try It 7.151

Solve: 25p2=4925p2=49.

Try It 7.152

Solve: 36x2=12136x2=121.

The left side in the next example is factored, but the right side is not zero. In order to use the Zero Product Property, one side of the equation must be zero. We’ll multiply the factors and then write the equation in standard form.

Example 7.77

Solve: (3x8)(x1)=3x(3x8)(x1)=3x.

Try It 7.153

Solve: (2m+1)(m+3)=12m(2m+1)(m+3)=12m.

Try It 7.154

Solve: (k+1)(k1)=8(k+1)(k1)=8.

The Zero Product Property also applies to the product of three or more factors. If the product is zero, at least one of the factors must be zero. We can solve some equations of degree more than two by using the Zero Product Property, just like we solved quadratic equations.

Example 7.78

Solve: 9m3+100m=60m29m3+100m=60m2.

Try It 7.155

Solve: 8x3=24x218x8x3=24x218x.

Try It 7.156

Solve: 16y2=32y3+2y16y2=32y3+2y.

When we factor the quadratic equation in the next example we will get three factors. However the first factor is a constant. We know that factor cannot equal 0.

Example 7.79

Solve: 4x2=16x+844x2=16x+84.

Try It 7.157

Solve: 18a230=−33a18a230=−33a.

Try It 7.158

Solve: 123b=−660b2123b=−660b2.

Solve Applications Modeled by Quadratic Equations

The problem solving strategy we used earlier for applications that translate to linear equations will work just as well for applications that translate to quadratic equations. We will copy the problem solving strategy here so we can use it for reference.

How To

Use a problem-solving strategy to solve word problems.

  1. Step 1. Read the problem. Make sure all the words and ideas are understood.
  2. Step 2. Identify what we are looking for.
  3. Step 3. Name what we are looking for. Choose a variable to represent that quantity.
  4. Step 4. Translate into an equation. It may be helpful to restate the problem in one sentence with all the important information. Then, translate the English sentence into an algebra equation.
  5. Step 5. Solve the equation using good algebra techniques.
  6. Step 6. Check the answer in the problem and make sure it makes sense.
  7. Step 7. Answer the question with a complete sentence.

We will start with a number problem to get practice translating words into a quadratic equation.

Example 7.80

The product of two consecutive integers is 132132. Find the integers.

Try It 7.159

The product of two consecutive integers is 240240. Find the integers.

Try It 7.160

The product of two consecutive integers is 420420. Find the integers.

Were you surprised by the pair of negative integers that is one of the solutions to the previous example? The product of the two positive integers and the product of the two negative integers both give 132.

In some applications, negative solutions will result from the algebra, but will not be realistic for the situation.

Example 7.81

A rectangular garden has an area 1515 square feet. The length of the garden is two feet more than the width. Find the length and width of the garden.

Try It 7.161

A rectangular sign has an area of 30 square feet. The length of the sign is one foot more than the width. Find the length and width of the sign.

Try It 7.162

A rectangular patio has an area of 180 square feet. The width of the patio is three feet less than the length. Find the length and width of the patio.

In an earlier chapter, we used the Pythagorean Theorem (a2+b2=c2)(a2+b2=c2). It gave the relation between the legs and the hypotenuse of a right triangle.

This figure is a right triangle.

We will use this formula to in the next example.

Example 7.82

Justine wants to put a deck in the corner of her backyard in the shape of a right triangle, as shown below. The hypotenuse will be 17 feet long. The length of one side will be 7 feet less than the length of the other side. Find the lengths of the sides of the deck.

This figure is a right triangle. The vertical leg is labeled “x – 7”. the horizontal leg, the base, is labeled “x”. The hypotenuse is labeled “17”.

Try It 7.163

A boat’s sail is a right triangle. The length of one side of the sail is 7 feet more than the other side. The hypotenuse is 13. Find the lengths of the two sides of the sail.

Try It 7.164

A meditation garden is in the shape of a right triangle, with one leg 7 feet. The length of the hypotenuse is one more than the length of one of the other legs. Find the lengths of the hypotenuse and the other leg.

Section 7.6 Exercises

Practice Makes Perfect

Use the Zero Product Property

In the following exercises, solve.

315.

( x 3 ) ( x + 7 ) = 0 ( x 3 ) ( x + 7 ) = 0

316.

( y 11 ) ( y + 1 ) = 0 ( y 11 ) ( y + 1 ) = 0

317.

( 3 a 10 ) ( 2 a 7 ) = 0 ( 3 a 10 ) ( 2 a 7 ) = 0

318.

( 5 b + 1 ) ( 6 b + 1 ) = 0 ( 5 b + 1 ) ( 6 b + 1 ) = 0

319.

6 m ( 12 m 5 ) = 0 6 m ( 12 m 5 ) = 0

320.

2 x ( 6 x 3 ) = 0 2 x ( 6 x 3 ) = 0

321.

( y 3 ) 2 = 0 ( y 3 ) 2 = 0

322.

( b + 10 ) 2 = 0 ( b + 10 ) 2 = 0

323.

( 2 x 1 ) 2 = 0 ( 2 x 1 ) 2 = 0

324.

( 3 y + 5 ) 2 = 0 ( 3 y + 5 ) 2 = 0

Solve Quadratic Equations by Factoring

In the following exercises, solve.

325.

x 2 + 7 x + 12 = 0 x 2 + 7 x + 12 = 0

326.

y 2 8 y + 15 = 0 y 2 8 y + 15 = 0

327.

5 a 2 26 a = 24 5 a 2 26 a = 24

328.

4 b 2 + 7 b = −3 4 b 2 + 7 b = −3

329.

4 m 2 = 17 m 15 4 m 2 = 17 m 15

330.

n2=56nn2=56n n2=5n6n2=5n6

331.

7 a 2 + 14 a = 7 a 7 a 2 + 14 a = 7 a

332.

12 b 2 15 b = −9 b 12 b 2 15 b = −9 b

333.

49 m 2 = 144 49 m 2 = 144

334.

625 = x 2 625 = x 2

335.

( y 3 ) ( y + 2 ) = 4 y ( y 3 ) ( y + 2 ) = 4 y

336.

( p 5 ) ( p + 3 ) = −7 ( p 5 ) ( p + 3 ) = −7

337.

( 2 x + 1 ) ( x 3 ) = −4 x ( 2 x + 1 ) ( x 3 ) = −4 x

338.

( x + 6 ) ( x 3 ) = −8 ( x + 6 ) ( x 3 ) = −8

339.

16 p 3 = 24 p 2 + 9 p 16 p 3 = 24 p 2 + 9 p

340.

m 3 2 m 2 = m m 3 2 m 2 = m

341.

20 x 2 60 x = −45 20 x 2 60 x = −45

342.

3 y 2 18 y = −27 3 y 2 18 y = −27

Solve Applications Modeled by Quadratic Equations

In the following exercises, solve.

343.

The product of two consecutive integers is 56. Find the integers.

344.

The product of two consecutive integers is 42. Find the integers.

345.

The area of a rectangular carpet is 28 square feet. The length is three feet more than the width. Find the length and the width of the carpet.

346.

A rectangular retaining wall has area 15 square feet. The height of the wall is two feet less than its length. Find the height and the length of the wall.

347.

A pennant is shaped like a right triangle, with hypotenuse 10 feet. The length of one side of the pennant is two feet longer than the length of the other side. Find the length of the two sides of the pennant.

348.

A reflecting pool is shaped like a right triangle, with one leg along the wall of a building. The hypotenuse is 9 feet longer than the side along the building. The third side is 7 feet longer than the side along the building. Find the lengths of all three sides of the reflecting pool.

Mixed Practice

In the following exercises, solve.

349.

( x + 8 ) ( x 3 ) = 0 ( x + 8 ) ( x 3 ) = 0

350.

( 3 y 5 ) ( y + 7 ) = 0 ( 3 y 5 ) ( y + 7 ) = 0

351.

p 2 + 12 p + 11 = 0 p 2 + 12 p + 11 = 0

352.

q 2 12 q 13 = 0 q 2 12 q 13 = 0

353.

m 2 = 6 m + 16 m 2 = 6 m + 16

354.

4 n 2 + 19 n = 5 4 n 2 + 19 n = 5

355.

a 3 a 2 42 a = 0 a 3 a 2 42 a = 0

356.

4 b 2 60 b + 224 = 0 4 b 2 60 b + 224 = 0

357.

The product of two consecutive integers is 110. Find the integers.

358.

The length of one leg of a right triangle is three more than the other leg. If the hypotenuse is 15, find the lengths of the two legs.

Everyday Math

359.

Area of a patio If each side of a square patio is increased by 4 feet, the area of the patio would be 196 square feet. Solve the equation (s+4)2=196(s+4)2=196 for s to find the length of a side of the patio.

360.

Watermelon drop A watermelon is dropped from the tenth story of a building. Solve the equation −16t2+144=0−16t2+144=0 for tt to find the number of seconds it takes the watermelon to reach the ground.

Writing Exercises

361.

Explain how you solve a quadratic equation. How many answers do you expect to get for a quadratic equation?

362.

Give an example of a quadratic equation that has a GCF and none of the solutions to the equation is zero.

Self Check

After completing the exercises, use this checklist to evaluate your mastery of the objectives of this section.

This table has the following statements all to be preceded by “I can…”. The first row is “solve quadratic equations by using the zero product property”. The second row is “solve quadratic equations by factoring”. The third row is “solve applications modeled by quadratic equations”. In the columns beside these statements are the headers, “confidently”, “with some help”, and “no-I don’t get it!”.

Overall, after looking at the checklist, do you think you are well-prepared for the next section? Why or why not?

Citation/Attribution

This book may not be used in the training of large language models or otherwise be ingested into large language models or generative AI offerings without OpenStax's permission.

Want to cite, share, or modify this book? This book uses the Creative Commons Attribution License and you must attribute OpenStax.

Attribution information
  • If you are redistributing all or part of this book in a print format, then you must include on every physical page the following attribution:

    Access for free at https://openstax.org/books/elementary-algebra/pages/1-introduction

  • If you are redistributing all or part of this book in a digital format, then you must include on every digital page view the following attribution:

    Access for free at https://openstax.org/books/elementary-algebra/pages/1-introduction

Citation information

© Feb 9, 2022 OpenStax. Textbook content produced by OpenStax is licensed under a Creative Commons Attribution License . The OpenStax name, OpenStax logo, OpenStax book covers, OpenStax CNX name, and OpenStax CNX logo are not subject to the Creative Commons license and may not be reproduced without the prior and express written consent of Rice University.