Skip to ContentGo to accessibility pageKeyboard shortcuts menu
OpenStax Logo
Elementary Algebra

5.1 Solve Systems of Equations by Graphing

Elementary Algebra5.1 Solve Systems of Equations by Graphing
Search for key terms or text.

Learning Objectives

By the end of this section, you will be able to:

  • Determine whether an ordered pair is a solution of a system of equations
  • Solve a system of linear equations by graphing
  • Determine the number of solutions of linear system
  • Solve applications of systems of equations by graphing

Be Prepared 5.1

Before you get started, take this readiness quiz.

  1. For the equation y=23x4y=23x4
    is (6,0)(6,0) a solution? is (−3,−2)(−3,−2) a solution?
    If you missed this problem, review Example 2.1.
  2. Find the slope and y-intercept of the line 3xy=123xy=12.
    If you missed this problem, review Example 4.42.
  3. Find the x- and y-intercepts of the line 2x3y=122x3y=12.
    If you missed this problem, review Example 4.21.

Determine Whether an Ordered Pair is a Solution of a System of Equations

In Solving Linear Equations and Inequalities we learned how to solve linear equations with one variable. Remember that the solution of an equation is a value of the variable that makes a true statement when substituted into the equation.

Now we will work with systems of linear equations, two or more linear equations grouped together.

System of Linear Equations

When two or more linear equations are grouped together, they form a system of linear equations.

We will focus our work here on systems of two linear equations in two unknowns. Later, you may solve larger systems of equations.

An example of a system of two linear equations is shown below. We use a brace to show the two equations are grouped together to form a system of equations.

{2x+y=7x2y=6{2x+y=7x2y=6

A linear equation in two variables, like 2x + y = 7, has an infinite number of solutions. Its graph is a line. Remember, every point on the line is a solution to the equation and every solution to the equation is a point on the line.

To solve a system of two linear equations, we want to find the values of the variables that are solutions to both equations. In other words, we are looking for the ordered pairs (x, y) that make both equations true. These are called the solutions to a system of equations.

Solutions of a System of Equations

Solutions of a system of equations are the values of the variables that make all the equations true. A solution of a system of two linear equations is represented by an ordered pair (x, y).

To determine if an ordered pair is a solution to a system of two equations, we substitute the values of the variables into each equation. If the ordered pair makes both equations true, it is a solution to the system.

Let’s consider the system below:

{3xy=7x2y=4{3xy=7x2y=4

Is the ordered pair (2,−1)(2,−1) a solution?

This figure begins with a sentence, “We substitute x =2 and y = -1 into both equations.” The first equation shows that 3x minus y equals 7. Then 3 times 2 minus negative, in parentheses, equals 7. Then 7 equals 7 is true. The second equation reads x minus 2y equals 4. Then 2 minus 2 times negative one in parentheses equals 4. Then 4 = 4 is true.

The ordered pair (2, −1) made both equations true. Therefore (2, −1) is a solution to this system.

Let’s try another ordered pair. Is the ordered pair (3, 2) a solution?

This figure begins with the sentence, “We substitute x equals 3 and y equals 2 into both equations.” The first equation reads 3 times x minus 7equals 7. Then, 3 times 3 minus 2 equals 7. Then 7 = 7 is true. The second equation reads x minus 2y equals 4. The n times 2 minus 2 times 2 = 4. Then negative 2 = 4 is false.

The ordered pair (3, 2) made one equation true, but it made the other equation false. Since it is not a solution to both equations, it is not a solution to this system.

Example 5.1

Determine whether the ordered pair is a solution to the system: {xy=−12xy=−5{xy=−12xy=−5

(−2,−1)(−2,−1) (−4,−3)(−4,−3)

Try It 5.1

Determine whether the ordered pair is a solution to the system: {3x+y=0x+2y=−5.{3x+y=0x+2y=−5.

(1,−3)(1,−3) (0,0)(0,0)

Try It 5.2

Determine whether the ordered pair is a solution to the system: {x3y=−8−3xy=4.{x3y=−8−3xy=4.

(2,−2)(2,−2) (−2,2)(−2,2)

Solve a System of Linear Equations by Graphing

In this chapter we will use three methods to solve a system of linear equations. The first method we’ll use is graphing.

The graph of a linear equation is a line. Each point on the line is a solution to the equation. For a system of two equations, we will graph two lines. Then we can see all the points that are solutions to each equation. And, by finding what the lines have in common, we’ll find the solution to the system.

Most linear equations in one variable have one solution, but we saw that some equations, called contradictions, have no solutions and for other equations, called identities, all numbers are solutions.

Similarly, when we solve a system of two linear equations represented by a graph of two lines in the same plane, there are three possible cases, as shown in Figure 5.2:

This figure shows three x y-coordinate planes. The first plane shows two lines which intersect at one point. Under the graph it says, “The lines intersect. Intersecting lines have one point in common. There is one solution to this system.” The second x y-coordinate plane shows two parallel lines. Under the graph it says, “The lines are parallel. Parallel lines have no points in common. There is no solution to this system.” The third x y-coordinate plane shows one line. Under the graph it says, “Both equations give the same line. Because we have just one line, there are infinitely many solutions.”
Figure 5.2

For the first example of solving a system of linear equations in this section and in the next two sections, we will solve the same system of two linear equations. But we’ll use a different method in each section. After seeing the third method, you’ll decide which method was the most convenient way to solve this system.

Example 5.2

How to Solve a System of Linear Equations by Graphing

Solve the system by graphing: {2x+y=7x2y=6.{2x+y=7x2y=6.

Try It 5.3

Solve each system by graphing: {x3y=−3x+y=5.{x3y=−3x+y=5.

Try It 5.4

Solve each system by graphing: {x+y=13x+2y=12.{x+y=13x+2y=12.

The steps to use to solve a system of linear equations by graphing are shown below.

How To

To solve a system of linear equations by graphing.

  1. Step 1. Graph the first equation.
  2. Step 2. Graph the second equation on the same rectangular coordinate system.
  3. Step 3. Determine whether the lines intersect, are parallel, or are the same line.
  4. Step 4.
    Identify the solution to the system.
    • If the lines intersect, identify the point of intersection. Check to make sure it is a solution to both equations. This is the solution to the system.
    • If the lines are parallel, the system has no solution.
    • If the lines are the same, the system has an infinite number of solutions.

Example 5.3

Solve the system by graphing: {y=2x+1y=4x1.{y=2x+1y=4x1.

Try It 5.5

Solve each system by graphing: {y=2x+2y=x4.{y=2x+2y=x4.

Try It 5.6

Solve each system by graphing: {y=3x+3y=x+7.{y=3x+3y=x+7.

Both equations in Example 5.3 were given in slope–intercept form. This made it easy for us to quickly graph the lines. In the next example, we’ll first re-write the equations into slope–intercept form.

Example 5.4

Solve the system by graphing: {3x+y=−12x+y=0.{3x+y=−12x+y=0.

Try It 5.7

Solve each system by graphing: {x+y=12x+y=10.{x+y=12x+y=10.

Try It 5.8

Solve each system by graphing: {2x+y=6x+y=1.{2x+y=6x+y=1.

Usually when equations are given in standard form, the most convenient way to graph them is by using the intercepts. We’ll do this in Example 5.5.

Example 5.5

Solve the system by graphing: {x+y=2xy=4.{x+y=2xy=4.

Try It 5.9

Solve each system by graphing: {x+y=6xy=2.{x+y=6xy=2.

Try It 5.10

Solve each system by graphing: {x+y=2xy=−8.{x+y=2xy=−8.

Do you remember how to graph a linear equation with just one variable? It will be either a vertical or a horizontal line.

Example 5.6

Solve the system by graphing: {y=62x+3y=12.{y=62x+3y=12.

Try It 5.11

Solve each system by graphing: {y=−1x+3y=6.{y=−1x+3y=6.

Try It 5.12

Solve each system by graphing: {x=43x2y=24.{x=43x2y=24.

In all the systems of linear equations so far, the lines intersected and the solution was one point. In the next two examples, we’ll look at a system of equations that has no solution and at a system of equations that has an infinite number of solutions.

Example 5.7

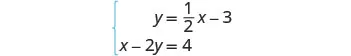
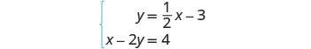
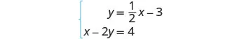
Solve the system by graphing: {y=12x3x2y=4.{y=12x3x2y=4.

Try It 5.13

Solve each system by graphing: {y=14x+2x+4y=8.{y=14x+2x+4y=8.

Try It 5.14

Solve each system by graphing: {y=3x16x2y=6.{y=3x16x2y=6.

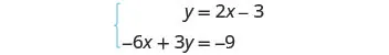
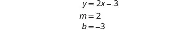
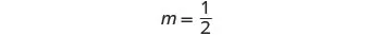
Example 5.8

Solve the system by graphing: {y=2x3−6x+3y=9.{y=2x3−6x+3y=9.

Try It 5.15

Solve each system by graphing: {y=3x66x+2y=12.{y=3x66x+2y=12.

Try It 5.16

Solve each system by graphing: {y=12x42x4y=16.{y=12x42x4y=16.

If you write the second equation in Example 5.8 in slope-intercept form, you may recognize that the equations have the same slope and same y-intercept.

When we graphed the second line in the last example, we drew it right over the first line. We say the two lines are coincident. Coincident lines have the same slope and same y-intercept.

Coincident Lines

Coincident lines have the same slope and same y-intercept.

 

Determine the Number of Solutions of a Linear System

There will be times when we will want to know how many solutions there will be to a system of linear equations, but we might not actually have to find the solution. It will be helpful to determine this without graphing.

We have seen that two lines in the same plane must either intersect or are parallel. The systems of equations in Example 5.2 through Example 5.6 all had two intersecting lines. Each system had one solution.

A system with parallel lines, like Example 5.7, has no solution. What happened in Example 5.8? The equations have coincident lines, and so the system had infinitely many solutions.

We’ll organize these results in Figure 5.3 below:

This table has two columns and four rows. The first row labels each column “Graph” and “Number of solutions.” Under “Graph” are “2 intersecting lines,” “Parallel lines,” and “Same line.” Under “Number of solutions” are “1,” “None,” and “Infinitely many.”
Figure 5.3

Parallel lines have the same slope but different y-intercepts. So, if we write both equations in a system of linear equations in slope–intercept form, we can see how many solutions there will be without graphing! Look at the system we solved in Example 5.7.

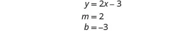
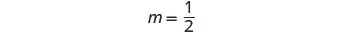
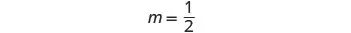
{y=12x3x2y=4The first line is in slope–intercept form.If we solve the second equation fory,we gety=12x3x2y=4−2y=x+4y=12x2m=12,b=−3m=12,b=−2{y=12x3x2y=4The first line is in slope–intercept form.If we solve the second equation fory,we gety=12x3x2y=4−2y=x+4y=12x2m=12,b=−3m=12,b=−2

The two lines have the same slope but different y-intercepts. They are parallel lines.

Figure 5.4 shows how to determine the number of solutions of a linear system by looking at the slopes and intercepts.

This table is entitled “Number of Solutions of a Linear System of Equations.” There are four columns. The columns are labeled, “Slopes,” “Intercepts,” “Type of Lines,” “Number of Solutions.” Under “Slopes” are “Different,” “Same,” and “Same.” Under “Intercepts,” the first cell is blank, then the words “Different” and “Same” appear. Under “Types of Lines” are the words, “Intersecting,” “Parallel,” and “Coincident.” Under “Number of Solutions” are “1 point,” “No Solution,” and “Infinitely many solutions.”
Figure 5.4

Let’s take one more look at our equations in Example 5.7 that gave us parallel lines.

{y=12x3x2y=4{y=12x3x2y=4

When both lines were in slope-intercept form we had:

y=12x3y=12x2y=12x3y=12x2

Do you recognize that it is impossible to have a single ordered pair (x,y)(x,y) that is a solution to both of those equations?

We call a system of equations like this an inconsistent system. It has no solution.

A system of equations that has at least one solution is called a consistent system.

Consistent and Inconsistent Systems

A consistent system of equations is a system of equations with at least one solution.

An inconsistent system of equations is a system of equations with no solution.

We also categorize the equations in a system of equations by calling the equations independent or dependent. If two equations are independent equations, they each have their own set of solutions. Intersecting lines and parallel lines are independent.

If two equations are dependent, all the solutions of one equation are also solutions of the other equation. When we graph two dependent equations, we get coincident lines.

Independent and Dependent Equations

Two equations are independent if they have different solutions.

Two equations are dependent if all the solutions of one equation are also solutions of the other equation.

Let’s sum this up by looking at the graphs of the three types of systems. See Figure 5.5 and Figure 5.6.

This figure shows three x y coordinate planes in a horizontal row. The first shows two lines intersecting. The second shows two parallel lines. The third shows two coincident lines.
Figure 5.5
This table has four columns and four rows. The columns are labeled, “Lines,” “Intersecting,” “Parallel,” and “Coincident.” In the first row under the labeled column “lines” it reads “Number of solutions.” Reading across, it tell us that an intersecting line contains 1 point, a parallel line provides no solution, and a coincident line has infinitely many solutions. A consistent/inconsistent line has consistent lines if they are intersecting, inconsistent lines if they are parallel and consistent if the lines are coincident. Finally, dependent and independent lines are considered independent if the lines intersect, they are also independent if the lines are parallel, and they are dependent if the lines are coincident.
Figure 5.6

Example 5.9

Without graphing, determine the number of solutions and then classify the system of equations: {y=3x16x2y=12.{y=3x16x2y=12.

Try It 5.17

Without graphing, determine the number of solutions and then classify the system of equations.

{y=2x44x+2y=9{y=2x44x+2y=9

Try It 5.18

Without graphing, determine the number of solutions and then classify the system of equations.

{y=13x5x3y=6{y=13x5x3y=6

Example 5.10

Without graphing, determine the number of solutions and then classify the system of equations: {2x+y=3x5y=5.{2x+y=3x5y=5.

Try It 5.19

Without graphing, determine the number of solutions and then classify the system of equations.

{3x+2y=22x+y=1{3x+2y=22x+y=1

Try It 5.20

Without graphing, determine the number of solutions and then classify the system of equations.

{x+4y=12x+y=3{x+4y=12x+y=3

Example 5.11

Without graphing, determine the number of solutions and then classify the system of equations. {3x2y=4y=32x2{3x2y=4y=32x2

Try It 5.21

Without graphing, determine the number of solutions and then classify the system of equations.

{4x5y=20y=45x4{4x5y=20y=45x4

Try It 5.22

Without graphing, determine the number of solutions and then classify the system of equations.

{−2x4y=8y=12x2{−2x4y=8y=12x2

Solve Applications of Systems of Equations by Graphing

We will use the same problem solving strategy we used in Math Models to set up and solve applications of systems of linear equations. We’ll modify the strategy slightly here to make it appropriate for systems of equations.


How To

Use a problem solving strategy for systems of linear equations.

  1. Step 1. Read the problem. Make sure all the words and ideas are understood.
  2. Step 2. Identify what we are looking for.
  3. Step 3. Name what we are looking for. Choose variables to represent those quantities.
  4. Step 4. Translate into a system of equations.
  5. Step 5. Solve the system of equations using good algebra techniques.
  6. Step 6. Check the answer in the problem and make sure it makes sense.
  7. Step 7. Answer the question with a complete sentence.

Step 5 is where we will use the method introduced in this section. We will graph the equations and find the solution.

Example 5.12

Sondra is making 10 quarts of punch from fruit juice and club soda. The number of quarts of fruit juice is 4 times the number of quarts of club soda. How many quarts of fruit juice and how many quarts of club soda does Sondra need?

Try It 5.23

Manny is making 12 quarts of orange juice from concentrate and water. The number of quarts of water is 3 times the number of quarts of concentrate. How many quarts of concentrate and how many quarts of water does Manny need?

Try It 5.24

Alisha is making an 18 ounce coffee beverage that is made from brewed coffee and milk. The number of ounces of brewed coffee is 5 times greater than the number of ounces of milk. How many ounces of coffee and how many ounces of milk does Alisha need?

Media

Access these online resources for additional instruction and practice with solving systems of equations by graphing.

Section 5.1 Exercises

Practice Makes Perfect

Determine Whether an Ordered Pair is a Solution of a System of Equations. In the following exercises, determine if the following points are solutions to the given system of equations.

1.

{ 2 x 6 y = 0 3 x 4 y = 5 { 2 x 6 y = 0 3 x 4 y = 5

(3,1)(3,1) (−3,4)(−3,4)

2.

{ 7 x 4 y = −1 −3 x 2 y = 1 { 7 x 4 y = −1 −3 x 2 y = 1

(1,−2)(1,−2)

3.

{ 2 x + y = 5 x + y = 1 { 2 x + y = 5 x + y = 1

(4,−3)(4,−3) (2,0)(2,0)

4.

{ −3 x + y = 8 x + 2 y = −9 { −3 x + y = 8 x + 2 y = −9

(−5,−7)(−5,−7) (−5,7)(−5,7)

5.

{ x + y = 2 y = 3 4 x { x + y = 2 y = 3 4 x

(87,67)(87,67) (1,34)(1,34)

6.

{ x + y = 1 y = 2 5 x { x + y = 1 y = 2 5 x

(57,27)(57,27) (5,2)(5,2)

7.

{ x + 5 y = 10 y = 3 5 x + 1 { x + 5 y = 10 y = 3 5 x + 1

(−10,4)(−10,4) (54,74)(54,74)

8.

{ x + 3 y = 9 y = 2 3 x 2 { x + 3 y = 9 y = 2 3 x 2

(−6,5)(−6,5) (5,43)(5,43)

Solve a System of Linear Equations by Graphing In the following exercises, solve the following systems of equations by graphing.

9.

{ 3 x + y = −3 2 x + 3 y = 5 { 3 x + y = −3 2 x + 3 y = 5

10.

{ x + y = 2 2 x + y = −4 { x + y = 2 2 x + y = −4

11.

{ −3 x + y = −1 2 x + y = 4 { −3 x + y = −1 2 x + y = 4

12.

{ −2 x + 3 y = −3 x + y = 4 { −2 x + 3 y = −3 x + y = 4

13.

{ y = x + 2 y = −2 x + 2 { y = x + 2 y = −2 x + 2

14.

{ y = x 2 y = −3 x + 2 { y = x 2 y = −3 x + 2

15.

{ y = 3 2 x + 1 y = 1 2 x + 5 { y = 3 2 x + 1 y = 1 2 x + 5

16.

{ y = 2 3 x 2 y = 1 3 x 5 { y = 2 3 x 2 y = 1 3 x 5

17.

{ x + y = −3 4 x + 4 y = 4 { x + y = −3 4 x + 4 y = 4

18.

{ x y = 3 2 x y = 4 { x y = 3 2 x y = 4

19.

{ −3 x + y = −1 2 x + y = 4 { −3 x + y = −1 2 x + y = 4

20.

{ −3 x + y = −2 4 x 2 y = 6 { −3 x + y = −2 4 x 2 y = 6

21.

{ x + y = 5 2 x y = 4 { x + y = 5 2 x y = 4

22.

{ x y = 2 2 x y = 6 { x y = 2 2 x y = 6

23.

{ x + y = 2 x y = 0 { x + y = 2 x y = 0

24.

{ x + y = 6 x y = −8 { x + y = 6 x y = −8

25.

{ x + y = −5 x y = 3 { x + y = −5 x y = 3

26.

{ x + y = 4 x y = 0 { x + y = 4 x y = 0

27.

{ x + y = −4 x + 2 y = −2 { x + y = −4 x + 2 y = −2

28.

{ x + 3 y = 3 x + 3 y = 3 { x + 3 y = 3 x + 3 y = 3

29.

{ −2 x + 3 y = 3 x + 3 y = 12 { −2 x + 3 y = 3 x + 3 y = 12

30.

{ 2 x y = 4 2 x + 3 y = 12 { 2 x y = 4 2 x + 3 y = 12

31.

{ 2 x + 3 y = 6 y = −2 { 2 x + 3 y = 6 y = −2

32.

{ −2 x + y = 2 y = 4 { −2 x + y = 2 y = 4

33.

{ x 3 y = −3 y = 2 { x 3 y = −3 y = 2

34.

{ 2 x 2 y = 8 y = −3 { 2 x 2 y = 8 y = −3

35.

{ 2 x y = −1 x = 1 { 2 x y = −1 x = 1

36.

{ x + 2 y = 2 x = −2 { x + 2 y = 2 x = −2

37.

{ x 3 y = −6 x = −3 { x 3 y = −6 x = −3

38.

{ x + y = 4 x = 1 { x + y = 4 x = 1

39.

{ 4 x 3 y = 8 8 x 6 y = 14 { 4 x 3 y = 8 8 x 6 y = 14

40.

{ x + 3 y = 4 −2 x 6 y = 3 { x + 3 y = 4 −2 x 6 y = 3

41.

{ −2 x + 4 y = 4 y = 1 2 x { −2 x + 4 y = 4 y = 1 2 x

42.

{ 3 x + 5 y = 10 y = 3 5 x + 1 { 3 x + 5 y = 10 y = 3 5 x + 1

43.

{ x = −3 y + 4 2 x + 6 y = 8 { x = −3 y + 4 2 x + 6 y = 8

44.

{ 4 x = 3 y + 7 8 x 6 y = 14 { 4 x = 3 y + 7 8 x 6 y = 14

45.

{ 2 x + y = 6 −8 x 4 y = −24 { 2 x + y = 6 −8 x 4 y = −24

46.

{ 5 x + 2 y = 7 −10 x 4 y = −14 { 5 x + 2 y = 7 −10 x 4 y = −14

47.

{ x + 3 y = −6 4 y = 4 3 x 8 { x + 3 y = −6 4 y = 4 3 x 8

48.

{ x + 2 y = −6 y = 1 2 x 1 { x + 2 y = −6 y = 1 2 x 1

49.

{ −3 x + 2 y = −2 y = x + 4 { −3 x + 2 y = −2 y = x + 4

50.

{ x + 2 y = −2 y = x 1 { x + 2 y = −2 y = x 1

Determine the Number of Solutions of a Linear System Without graphing the following systems of equations, determine the number of solutions and then classify the system of equations.

51.

{ y = 2 3 x + 1 −2 x + 3 y = 5 { y = 2 3 x + 1 −2 x + 3 y = 5

52.

{ y = 1 3 x + 2 x 3 y = 9 { y = 1 3 x + 2 x 3 y = 9

53.

{ y = −2 x + 1 4 x + 2 y = 8 { y = −2 x + 1 4 x + 2 y = 8

54.

{ y = 3 x + 4 9 x 3 y = 18 { y = 3 x + 4 9 x 3 y = 18

55.

{ y = 2 3 x + 1 2 x 3 y = 7 { y = 2 3 x + 1 2 x 3 y = 7

56.

{ 3 x + 4 y = 12 y = −3 x 1 { 3 x + 4 y = 12 y = −3 x 1

57.

{ 4 x + 2 y = 10 4 x 2 y = −6 { 4 x + 2 y = 10 4 x 2 y = −6

58.

{ 5 x + 3 y = 4 2 x 3 y = 5 { 5 x + 3 y = 4 2 x 3 y = 5

59.

{ y = 1 2 x + 5 x + 2 y = 10 { y = 1 2 x + 5 x + 2 y = 10

60.

{ y = x + 1 x + y = 1 { y = x + 1 x + y = 1

61.

{ y = 2 x + 3 2 x y = −3 { y = 2 x + 3 2 x y = −3

62.

{ 5 x 2 y = 10 y = 5 2 x 5 { 5 x 2 y = 10 y = 5 2 x 5

Solve Applications of Systems of Equations by Graphing In the following exercises, solve.

63.

Molly is making strawberry infused water. For each ounce of strawberry juice, she uses three times as many ounces of water. How many ounces of strawberry juice and how many ounces of water does she need to make 64 ounces of strawberry infused water?

64.

Jamal is making a snack mix that contains only pretzels and nuts. For every ounce of nuts, he will use 2 ounces of pretzels. How many ounces of pretzels and how many ounces of nuts does he need to make 45 ounces of snack mix?

65.

Enrique is making a party mix that contains raisins and nuts. For each ounce of nuts, he uses twice the amount of raisins. How many ounces of nuts and how many ounces of raisins does he need to make 24 ounces of party mix?

66.

Owen is making lemonade from concentrate. The number of quarts of water he needs is 4 times the number of quarts of concentrate. How many quarts of water and how many quarts of concentrate does Owen need to make 100 quarts of lemonade?

Everyday Math

67.

Leo is planning his spring flower garden. He wants to plant tulip and daffodil bulbs. He will plant 6 times as many daffodil bulbs as tulip bulbs. If he wants to plant 350 bulbs, how many tulip bulbs and how many daffodil bulbs should he plant?

68.

A marketing company surveys 1,200 people. They surveyed twice as many females as males. How many males and females did they survey?

Writing Exercises

69.

In a system of linear equations, the two equations have the same slope. Describe the possible solutions to the system.

70.

In a system of linear equations, the two equations have the same intercepts. Describe the possible solutions to the system.

Self Check

After completing the exercises, use this checklist to evaluate your mastery of the objectives of this section.

This figure shows a table with four rows and four columns. The columns are labeled, “I can…,” “Confidently.” “With some help.” and “No - I don’t get it.” The only column with filled in cells below it is labeled “I can…” It reads, “determine whether an ordered pair is a solution of a system of equations.” “solve a system of linear equations by graphing.” “determine the number of solutions of a linear system.” and “solve applications of systems of equations by graphing.”

If most of your checks were:

…confidently. Congratulations! You have achieved the objectives in this section. Reflect on the study skills you used so that you can continue to use them. What did you do to become confident of your ability to do these things? Be specific.

…with some help. This must be addressed quickly because topics you do not master become potholes in your road to success. In math every topic builds upon previous work. It is important to make sure you have a strong foundation before you move on. Who can you ask for help? Your fellow classmates and instructor are good resources. Is there a place on campus where math tutors are available? Can your study skills be improved?

…no - I don’t get it! This is a warning sign and you must not ignore it. You should get help right away or you will quickly be overwhelmed. See your instructor as soon as you can to discuss your situation. Together you can come up with a plan to get you the help you need.

Citation/Attribution

This book may not be used in the training of large language models or otherwise be ingested into large language models or generative AI offerings without OpenStax's permission.

Want to cite, share, or modify this book? This book uses the Creative Commons Attribution License and you must attribute OpenStax.

Attribution information
  • If you are redistributing all or part of this book in a print format, then you must include on every physical page the following attribution:

    Access for free at https://openstax.org/books/elementary-algebra/pages/1-introduction

  • If you are redistributing all or part of this book in a digital format, then you must include on every digital page view the following attribution:

    Access for free at https://openstax.org/books/elementary-algebra/pages/1-introduction

Citation information

© Feb 9, 2022 OpenStax. Textbook content produced by OpenStax is licensed under a Creative Commons Attribution License . The OpenStax name, OpenStax logo, OpenStax book covers, OpenStax CNX name, and OpenStax CNX logo are not subject to the Creative Commons license and may not be reproduced without the prior and express written consent of Rice University.