Skip to ContentGo to accessibility pageKeyboard shortcuts menu
OpenStax Logo
Elementary Algebra

2.1 Solve Equations Using the Subtraction and Addition Properties of Equality

Elementary Algebra2.1 Solve Equations Using the Subtraction and Addition Properties of Equality
Search for key terms or text.

Learning Objectives

By the end of this section, you will be able to:

  • Verify a solution of an equation
  • Solve equations using the Subtraction and Addition Properties of Equality
  • Solve equations that require simplification
  • Translate to an equation and solve
  • Translate and solve applications

Be Prepared 2.1

Before you get started, take this readiness quiz.

  1. Evaluate x+4x+4 when x=−3x=−3.
    If you missed this problem, review Example 1.54.
  2. Evaluate 15y15y when y=−5y=−5.
    If you missed this problem, review Example 1.56.
  3. Simplify 4(4n+1)15n4(4n+1)15n.
    If you missed this problem, review Example 1.138.
  4. Translate into algebra “5 is less than xx.”
    If you missed this problem, review Example 1.26.

Verify a Solution of an Equation

Solving an equation is like discovering the answer to a puzzle. The purpose in solving an equation is to find the value or values of the variable that make each side of the equation the same – so that we end up with a true statement. Any value of the variable that makes the equation true is called a solution to the equation. It is the answer to the puzzle!

Solution of an equation

A solution of an equation is a value of a variable that makes a true statement when substituted into the equation.

How To

To determine whether a number is a solution to an equation.

  1. Step 1. Substitute the number in for the variable in the equation.
  2. Step 2. Simplify the expressions on both sides of the equation.
  3. Step 3.
    Determine whether the resulting equation is true (the left side is equal to the right side)
    • If it is true, the number is a solution.
    • If it is not true, the number is not a solution.

Example 2.1

Determine whether x=32x=32 is a solution of 4x2=2x+14x2=2x+1.

Try It 2.1

Is y=43y=43 a solution of 9y+2=6y+39y+2=6y+3?

Try It 2.2

Is y=75y=75 a solution of 5y+3=10y45y+3=10y4?

Solve Equations Using the Subtraction and Addition Properties of Equality

We are going to use a model to clarify the process of solving an equation. An envelope represents the variable – since its contents are unknown – and each counter represents one. We will set out one envelope and some counters on our workspace, as shown in Figure 2.2. Both sides of the workspace have the same number of counters, but some counters are “hidden” in the envelope. Can you tell how many counters are in the envelope?

This image illustrates a workspace divided into two sides. The content of the left side is equal to the content of the right side. On the left side, there are three circular counters and an envelope containing an unknown number of counters. On the right side are eight counters.
Figure 2.2 The illustration shows a model of an equation with one variable. On the left side of the workspace is an unknown (envelope) and three counters, while on the right side of the workspace are eight counters.

What are you thinking? What steps are you taking in your mind to figure out how many counters are in the envelope?

Perhaps you are thinking: “I need to remove the 3 counters at the bottom left to get the envelope by itself. The 3 counters on the left can be matched with 3 on the right and so I can take them away from both sides. That leaves five on the right—so there must be 5 counters in the envelope.” See Figure 2.3 for an illustration of this process.

This figure contains two illustrations of workspaces, divided each into two sides. On the left side of the first workspace there are three counters circled in purple and an envelope containing an unknown number of counters. On the right side are eight counters, three of which are also circled in purple. An arrow to the right of the workspace points to the second workspace. On the left side of the second workspace, there is just an envelope. On the right side are five counters. This workspace is identical to the first workspace, except that the three counters circled in purple have been removed from both sides.
Figure 2.3 The illustration shows a model for solving an equation with one variable. On both sides of the workspace remove three counters, leaving only the unknown (envelope) and five counters on the right side. The unknown is equal to five counters.

What algebraic equation would match this situation? In Figure 2.4 each side of the workspace represents an expression and the center line takes the place of the equal sign. We will call the contents of the envelope xx.

This image illustrates a workspace divided into two sides. The content of the left side is equal to the content of the right side. On the left side, there are three circular counters and an envelope containing an unknown number of counters. On the right side are eight counters. Underneath the image is the equation modeled by the counters: x plus 3 equals 8.
Figure 2.4 The illustration shows a model for the equation x+3=8x+3=8.

Let’s write algebraically the steps we took to discover how many counters were in the envelope:

.
First, we took away three from each side. .
Then we were left with five. .

Check:

Five in the envelope plus three more does equal eight!

5+3=85+3=8

Our model has given us an idea of what we need to do to solve one kind of equation. The goal is to isolate the variable by itself on one side of the equation. To solve equations such as these mathematically, we use the Subtraction Property of Equality.

Subtraction Property of Equality

For any numbers a, b, and c,

Ifa=b,thenac=bcIfa=b,thenac=bc

When you subtract the same quantity from both sides of an equation, you still have equality.

Manipulative Mathematics

Doing the Manipulative Mathematics activity “Subtraction Property of Equality” will help you develop a better understanding of how to solve equations by using the Subtraction Property of Equality.

Let’s see how to use this property to solve an equation. Remember, the goal is to isolate the variable on one side of the equation. And we check our solutions by substituting the value into the equation to make sure we have a true statement.

Example 2.2

Solve: y+37=−13.y+37=−13.

Try It 2.3

Solve: x+19=−27x+19=−27.

Try It 2.4

Solve: x+16=−34x+16=−34.

What happens when an equation has a number subtracted from the variable, as in the equation x5=8x5=8? We use another property of equations to solve equations where a number is subtracted from the variable. We want to isolate the variable, so to ‘undo’ the subtraction we will add the number to both sides. We use the Addition Property of Equality.

Addition Property of Equality

For any numbers a, b, and c,

Ifa=b,thena+c=b+cIfa=b,thena+c=b+c

When you add the same quantity to both sides of an equation, you still have equality.

In Example 2.2, 37 was added to the y and so we subtracted 37 to ‘undo’ the addition. In Example 2.3, we will need to ‘undo’ subtraction by using the Addition Property of Equality.

Example 2.3

Solve: a28=−37.a28=−37.

Try It 2.5

Solve: n61=−75.n61=−75.

Try It 2.6

Solve: p41=−73.p41=−73.

Example 2.4

Solve: x58=34.x58=34.

Try It 2.7

Solve: p23=56.p23=56.

Try It 2.8

Solve: q12=56.q12=56.

The next example will be an equation with decimals.

Example 2.5

Solve: n0.63=−4.2.n0.63=−4.2.

Try It 2.9

Solve: b0.47=−2.1.b0.47=−2.1.

Try It 2.10

Solve: c0.93=−4.6.c0.93=−4.6.

Solve Equations That Require Simplification

In the previous examples, we were able to isolate the variable with just one operation. Most of the equations we encounter in algebra will take more steps to solve. Usually, we will need to simplify one or both sides of an equation before using the Subtraction or Addition Properties of Equality.

You should always simplify as much as possible before you try to isolate the variable. Remember that to simplify an expression means to do all the operations in the expression. Simplify one side of the equation at a time. Note that simplification is different from the process used to solve an equation in which we apply an operation to both sides.

Example 2.6

How to Solve Equations That Require Simplification

Solve: 9x58x6=7.9x58x6=7.

Try It 2.11

Solve: 8y47y7=4.8y47y7=4.

Try It 2.12

Solve: 6z+55z4=3.6z+55z4=3.

Example 2.7

Solve: 5(n4)4n=−8.5(n4)4n=−8.

Try It 2.13

Solve: 5(p3)4p=−10.5(p3)4p=−10.

Try It 2.14

Solve: 4(q+2)3q=−8.4(q+2)3q=−8.

Example 2.8

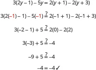
Solve: 3(2y1)5y=2(y+1)2(y+3).3(2y1)5y=2(y+1)2(y+3).

Try It 2.15

Solve: 4(2h3)7h=6(h2)6(h1).4(2h3)7h=6(h2)6(h1).

Try It 2.16

Solve: 2(5x+2)9x=3(x2)3(x4).2(5x+2)9x=3(x2)3(x4).

Translate to an Equation and Solve

To solve applications algebraically, we will begin by translating from English sentences into equations. Our first step is to look for the word (or words) that would translate to the equals sign. Table 2.1 shows us some of the words that are commonly used.

Equals =
is
is equal to
is the same as
the result is
gives
was
will be
Table 2.1

The steps we use to translate a sentence into an equation are listed below.

How To

Translate an English sentence to an algebraic equation.

  1. Step 1. Locate the “equals” word(s). Translate to an equals sign (=).
  2. Step 2. Translate the words to the left of the “equals” word(s) into an algebraic expression.
  3. Step 3. Translate the words to the right of the “equals” word(s) into an algebraic expression.

Example 2.9

Translate and solve: Eleven more than x is equal to 54.

Try It 2.17

Translate and solve: Ten more than x is equal to 41.

Try It 2.18

Translate and solve: Twelve less than x is equal to 51.

Example 2.10

Translate and solve: The difference of 12t12t and 11t11t is −14−14.

Try It 2.19

Translate and solve: The difference of 4x4x and 3x3x is 14.

Try It 2.20

Translate and solve: The difference of 7a7a and 6a6a is −8−8.

Translate and Solve Applications

Most of the time a question that requires an algebraic solution comes out of a real life question. To begin with that question is asked in English (or the language of the person asking) and not in math symbols. Because of this, it is an important skill to be able to translate an everyday situation into algebraic language.

We will start by restating the problem in just one sentence, assign a variable, and then translate the sentence into an equation to solve. When assigning a variable, choose a letter that reminds you of what you are looking for. For example, you might use q for the number of quarters if you were solving a problem about coins.

Example 2.11

How to Solve Translate and Solve Applications

The MacIntyre family recycled newspapers for two months. The two months of newspapers weighed a total of 57 pounds. The second month, the newspapers weighed 28 pounds. How much did the newspapers weigh the first month?

Try It 2.21

Translate into an algebraic equation and solve:

The Pappas family has two cats, Zeus and Athena. Together, they weigh 23 pounds. Zeus weighs 16 pounds. How much does Athena weigh?

Try It 2.22

Translate into an algebraic equation and solve:

Sam and Henry are roommates. Together, they have 68 books. Sam has 26 books. How many books does Henry have?

How To

Solve an application.

  1. Step 1. Read the problem. Make sure all the words and ideas are understood.
  2. Step 2. Identify what we are looking for.
  3. Step 3. Name what we are looking for. Choose a variable to represent that quantity.
  4. Step 4. Translate into an equation. It may be helpful to restate the problem in one sentence with the important information.
  5. Step 5. Solve the equation using good algebra techniques.
  6. Step 6. Check the answer in the problem and make sure it makes sense.
  7. Step 7. Answer the question with a complete sentence.

Example 2.12

Randell paid $28,675 for his new car. This was $875 less than the sticker price. What was the sticker price of the car?

Try It 2.23

Translate into an algebraic equation and solve:

Eddie paid $19,875 for his new car. This was $1,025 less than the sticker price. What was the sticker price of the car?

Try It 2.24

Translate into an algebraic equation and solve:

The admission price for the movies during the day is $7.75. This is $3.25 less the price at night. How much does the movie cost at night?

Section 2.1 Exercises

Practice Makes Perfect

Verify a Solution of an Equation

In the following exercises, determine whether the given value is a solution to the equation.

1.

Is y=53y=53 a solution of
6y+10=12y6y+10=12y?

2.

Is x=94x=94 a solution of
4x+9=8x4x+9=8x?

3.

Is u=12u=12 a solution of
8u1=6u8u1=6u?

4.

Is v=13v=13 a solution of
9v2=3v9v2=3v?

Solve Equations using the Subtraction and Addition Properties of Equality

In the following exercises, solve each equation using the Subtraction and Addition Properties of Equality.

5.

x + 24 = 35 x + 24 = 35

6.

x + 17 = 22 x + 17 = 22

7.

y + 45 = −66 y + 45 = −66

8.

y + 39 = −83 y + 39 = −83

9.

b + 1 4 = 3 4 b + 1 4 = 3 4

10.

a + 2 5 = 4 5 a + 2 5 = 4 5

11.

p + 2.4 = −9.3 p + 2.4 = −9.3

12.

m + 7.9 = 11.6 m + 7.9 = 11.6

13.

a 45 = 76 a 45 = 76

14.

a 30 = 57 a 30 = 57

15.

m 18 = −200 m 18 = −200

16.

m 12 = −12 m 12 = −12

17.

x 1 3 = 2 x 1 3 = 2

18.

x 1 5 = 4 x 1 5 = 4

19.

y 3.8 = 10 y 3.8 = 10

20.

y 7.2 = 5 y 7.2 = 5

21.

x 165 = −420 x 165 = −420

22.

z 101 = −314 z 101 = −314

23.

z + 0.52 = −8.5 z + 0.52 = −8.5

24.

x + 0.93 = −4.1 x + 0.93 = −4.1

25.

q + 3 4 = 1 2 q + 3 4 = 1 2

26.

p + 1 3 = 5 6 p + 1 3 = 5 6

27.

p 2 5 = 2 3 p 2 5 = 2 3

28.

y 3 4 = 3 5 y 3 4 = 3 5

Solve Equations that Require Simplification

In the following exercises, solve each equation.

29.

c + 31 10 = 46 c + 31 10 = 46

30.

m + 16 28 = 5 m + 16 28 = 5

31.

9 x + 5 8 x + 14 = 20 9 x + 5 8 x + 14 = 20

32.

6 x + 8 5 x + 16 = 32 6 x + 8 5 x + 16 = 32

33.

−6 x 11 + 7 x 5 = −16 −6 x 11 + 7 x 5 = −16

34.

−8 n 17 + 9 n 4 = −41 −8 n 17 + 9 n 4 = −41

35.

5 ( y 6 ) 4 y = −6 5 ( y 6 ) 4 y = −6

36.

9 ( y 2 ) 8 y = −16 9 ( y 2 ) 8 y = −16

37.

8 ( u + 1.5 ) 7 u = 4.9 8 ( u + 1.5 ) 7 u = 4.9

38.

5 ( w + 2.2 ) 4 w = 9.3 5 ( w + 2.2 ) 4 w = 9.3

39.

6 a 5 ( a 2 ) + 9 = −11 6 a 5 ( a 2 ) + 9 = −11

40.

8 c 7 ( c 3 ) + 4 = −16 8 c 7 ( c 3 ) + 4 = −16

41.

6 ( y 2 ) 5 y = 4 ( y + 3 ) 6 ( y 2 ) 5 y = 4 ( y + 3 )
4 ( y 1 ) 4 ( y 1 )

42.

9 ( x 1 ) 8 x = −3 ( x + 5 ) 9 ( x 1 ) 8 x = −3 ( x + 5 )
+ 3 ( x 5 ) + 3 ( x 5 )

43.

3 ( 5 n 1 ) 14 n + 9 3 ( 5 n 1 ) 14 n + 9
= 10 ( n 4 ) 6 n 4 ( n + 1 ) = 10 ( n 4 ) 6 n 4 ( n + 1 )

44.

2 ( 8 m + 3 ) 15 m 4 2 ( 8 m + 3 ) 15 m 4
= 9 ( m + 6 ) 2 ( m 1 ) 7 m = 9 ( m + 6 ) 2 ( m 1 ) 7 m

45.

( j + 2 ) + 2 j 1 = 5 ( j + 2 ) + 2 j 1 = 5

46.

( k + 7 ) + 2 k + 8 = 7 ( k + 7 ) + 2 k + 8 = 7

47.

( 1 4 a 3 4 ) + 5 4 a = −2 ( 1 4 a 3 4 ) + 5 4 a = −2

48.

( 2 3 d 1 3 ) + 5 3 d = −4 ( 2 3 d 1 3 ) + 5 3 d = −4

49.

8 ( 4 x + 5 ) 5 ( 6 x ) x 8 ( 4 x + 5 ) 5 ( 6 x ) x
= 53 6 ( x + 1 ) + 3 ( 2 x + 2 ) = 53 6 ( x + 1 ) + 3 ( 2 x + 2 )

50.

6 ( 9 y 1 ) 10 ( 5 y ) 3 y 6 ( 9 y 1 ) 10 ( 5 y ) 3 y
= 22 4 ( 2 y 12 ) + 8 ( y 6 ) = 22 4 ( 2 y 12 ) + 8 ( y 6 )

Translate to an Equation and Solve

In the following exercises, translate to an equation and then solve it.

51.

Nine more than xx is equal to 52.

52.

The sum of x and −15−15 is 23.

53.

Ten less than m is −14−14.

54.

Three less than y is −19−19.

55.

The sum of y and −30−30 is 40.

56.

Twelve more than p is equal to 67.

57.

The difference of 9xand8x9xand8x is 107.

58.

The difference of 5cand4c5cand4c is 602.

59.

The difference of nn and 1616 is 1212.

60.

The difference of ff and 1313 is 112112.

61.

The sum of −4n−4n and 5n5n is −82−82.

62.

The sum of −9m−9m and 10m10m is −95−95.

Translate and Solve Applications

In the following exercises, translate into an equation and solve.

63.

Distance Avril rode her bike a total of 18 miles, from home to the library and then to the beach. The distance from Avril’s house to the library is 7 miles. What is the distance from the library to the beach?

64.

Reading Jeff read a total of 54 pages in his History and Sociology textbooks. He read 41 pages in his History textbook. How many pages did he read in his Sociology textbook?

65.

Age Eva’s daughter is 15 years younger than her son. Eva’s son is 22 years old. How old is her daughter?

66.

Age Pablo’s father is 3 years older than his mother. Pablo’s mother is 42 years old. How old is his father?

67.

Groceries For a family birthday dinner, Celeste bought a turkey that weighed 5 pounds less than the one she bought for Thanksgiving. The birthday turkey weighed 16 pounds. How much did the Thanksgiving turkey weigh?

68.

Weight Allie weighs 8 pounds less than her twin sister Lorrie. Allie weighs 124 pounds. How much does Lorrie weigh?

69.

Health Connor’s temperature was 0.7 degrees higher this morning than it had been last night. His temperature this morning was 101.2 degrees. What was his temperature last night?

70.

Health The nurse reported that Tricia’s daughter had gained 4.2 pounds since her last checkup and now weighs 31.6 pounds. How much did Tricia’s daughter weigh at her last checkup?

71.

Salary Ron’s paycheck this week was $17.43 less than his paycheck last week. His paycheck this week was $103.76. How much was Ron’s paycheck last week?

72.

Textbooks Melissa’s math book cost $22.85 less than her art book cost. Her math book cost $93.75. How much did her art book cost?

Everyday Math

73.

Construction Miguel wants to drill a hole for a 5858 inch screw. The hole should be 112112 inch smaller than the screw. Let dd equal the size of the hole he should drill. Solve the equation d112=58d112=58 to see what size the hole should be.

74.

Baking Kelsey needs 2323 cup of sugar for the cookie recipe she wants to make. She only has 3838 cup of sugar and will borrow the rest from her neighbor. Let ss equal the amount of sugar she will borrow. Solve the equation 38+s=2338+s=23 to find the amount of sugar she should ask to borrow.

Writing Exercises

75.

Is −8−8 a solution to the equation 3x=165x3x=165x? How do you know?

76.

What is the first step in your solution to the equation 10x+2=4x+2610x+2=4x+26?

Self Check

After completing the exercises, use this checklist to evaluate your mastery of the objectives of this section.

This is a table that has six rows and four columns. In the first row, which is a header row, the cells read from left to right “I can…,” “Confidently,” “With some help,” and “No-I don’t get it!” The first column below “I can…” reads “verify a solution of an equation,” “solve equations using the subtraction and addition properties of equality,” “solve equations that require simplification,” “translate to an equation and solve,” and “translate and solve applications.” The rest of the cells are blank.

If most of your checks were:

…confidently. Congratulations! You have achieved your goals in this section! Reflect on the study skills you used so that you can continue to use them. What did you do to become confident of your ability to do these things? Be specific!

…with some help. This must be addressed quickly as topics you do not master become potholes in your road to success. Math is sequential - every topic builds upon previous work. It is important to make sure you have a strong foundation before you move on. Who can you ask for help? Your fellow classmates and instructor are good resources. Is there a place on campus where math tutors are available? Can your study skills be improved?

…no - I don’t get it! This is critical and you must not ignore it. You need to get help immediately or you will quickly be overwhelmed. See your instructor as soon as possible to discuss your situation. Together you can come up with a plan to get you the help you need.

Citation/Attribution

This book may not be used in the training of large language models or otherwise be ingested into large language models or generative AI offerings without OpenStax's permission.

Want to cite, share, or modify this book? This book uses the Creative Commons Attribution License and you must attribute OpenStax.

Attribution information
  • If you are redistributing all or part of this book in a print format, then you must include on every physical page the following attribution:

    Access for free at https://openstax.org/books/elementary-algebra/pages/1-introduction

  • If you are redistributing all or part of this book in a digital format, then you must include on every digital page view the following attribution:

    Access for free at https://openstax.org/books/elementary-algebra/pages/1-introduction

Citation information

© Feb 9, 2022 OpenStax. Textbook content produced by OpenStax is licensed under a Creative Commons Attribution License . The OpenStax name, OpenStax logo, OpenStax book covers, OpenStax CNX name, and OpenStax CNX logo are not subject to the Creative Commons license and may not be reproduced without the prior and express written consent of Rice University.