Skip to ContentGo to accessibility pageKeyboard shortcuts menu
OpenStax Logo
Elementary Algebra 2e

8.7 Solve Proportion and Similar Figure Applications

Elementary Algebra 2e8.7 Solve Proportion and Similar Figure Applications
Search for key terms or text.

Learning Objectives

By the end of this section, you will be able to:

  • Solve proportions
  • Solve similar figure applications

Be Prepared 8.22

Before you get started, take this readiness quiz.

If you miss a problem, go back to the section listed and review the material.

Solve n3=30n3=30.
If you missed this problem, review Example 2.21.

Be Prepared 8.23

The perimeter of a triangular window is 23 feet. The lengths of two sides are ten feet and six feet. How long is the third side?
If you missed this problem, review Example 3.35.



Solve Proportions

When two rational expressions are equal, the equation relating them is called a proportion.

Proportion

A proportion is an equation of the form ab=cdab=cd, where b0,d0b0,d0.

The proportion is read “aa is to bb, as cc is to dd.”

The equation 12=4812=48 is a proportion because the two fractions are equal. The proportion 12=4812=48 is read “1 is to 2 as 4 is to 8.”

Proportions are used in many applications to ‘scale up’ quantities. We’ll start with a very simple example so you can see how proportions work. Even if you can figure out the answer to the example right away, make sure you also learn to solve it using proportions.

Suppose a school principal wants to have 1 teacher for 20 students. She could use proportions to find the number of teachers for 60 students. We let x be the number of teachers for 60 students and then set up the proportion:

1teacher20students=xteachers60students1teacher20students=xteachers60students

We are careful to match the units of the numerators and the units of the denominators—teachers in the numerators, students in the denominators.

Since a proportion is an equation with rational expressions, we will solve proportions the same way we solved equations in Solve Rational Equations. We’ll multiply both sides of the equation by the LCD to clear the fractions and then solve the resulting equation.

So let’s finish solving the principal’s problem now. We will omit writing the units until the last step.

.
Multiply both sides by the LCD, 60. .
Simplify. .
The principal needs 3 teachers for 60 students.

Now we’ll do a few examples of solving numerical proportions without any units. Then we will solve applications using proportions.

Example 8.71

Solve the proportion: x63=47.x63=47.

Try It 8.141

Solve the proportion: n84=1112.n84=1112.

Try It 8.142

Solve the proportion: y96=1312.y96=1312.

When we work with proportions, we exclude values that would make either denominator zero, just like we do for all rational expressions. What value(s) should be excluded for the proportion in the next example?

Example 8.72

Solve the proportion: 144a=94.144a=94.

Try It 8.143

Solve the proportion: 91b=75.91b=75.

Try It 8.144

Solve the proportion: 39c=138.39c=138.

Example 8.73

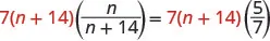
Solve the proportion: nn+14=57.nn+14=57.

Try It 8.145

Solve the proportion: yy+55=38.yy+55=38.

Try It 8.146

Solve the proportion: zz84=15.zz84=15.

Example 8.74

Solve: p+129=p126.p+129=p126.

Try It 8.147

Solve: v+308=v+6612.v+308=v+6612.

Try It 8.148

Solve: 2x+159=7x+315.2x+159=7x+315.

To solve applications with proportions, we will follow our usual strategy for solving applications. But when we set up the proportion, we must make sure to have the units correct—the units in the numerators must match and the units in the denominators must match.

Example 8.75

When pediatricians prescribe acetaminophen to children, they prescribe 5 milliliters (ml) of acetaminophen for every 25 pounds of the child’s weight. If Zoe weighs 80 pounds, how many milliliters of acetaminophen will her doctor prescribe?

Try It 8.149

Pediatricians prescribe 5 milliliters (ml) of acetaminophen for every 25 pounds of a child’s weight. How many milliliters of acetaminophen will the doctor prescribe for Emilia, who weighs 60 pounds?

Try It 8.150

For every 1 kilogram (kg) of a child’s weight, pediatricians prescribe 15 milligrams (mg) of a fever reducer. If Isabella weighs 12 kg, how many milligrams of the fever reducer will the pediatrician prescribe?

Example 8.76

A 16-ounce iced caramel macchiato has 230 calories. How many calories are there in a 24-ounce iced caramel macchiato?

Try It 8.151

At a fast-food restaurant, a 22-ounce chocolate shake has 850 calories. How many calories are in their 12-ounce chocolate shake? Round your answer to nearest whole number.

Try It 8.152

Yaneli loves Starburst candies, but wants to keep her snacks to 100 calories. If the candies have 160 calories for 8 pieces, how many pieces can she have in her snack?

Example 8.77

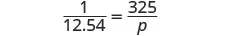
Josiah went to Mexico for spring break and changed $325 dollars into Mexican pesos. At that time, the exchange rate had $1 US is equal to 12.54 Mexican pesos. How many Mexican pesos did he get for his trip?

Try It 8.153

Yurianna is going to Europe and wants to change $800 dollars into Euros. At the current exchange rate, $1 US is equal to 0.738 Euro. How many Euros will she have for her trip?

Try It 8.154

Corey and Nicole are traveling to Japan and need to exchange $600 into Japanese yen. If each dollar is 94.1 yen, how many yen will they get?

In the example above, we related the number of pesos to the number of dollars by using a proportion. We could say the number of pesos is proportional to the number of dollars. If two quantities are related by a proportion, we say that they are proportional.



Solve Similar Figure Applications

When you shrink or enlarge a photo on a phone or tablet, figure out a distance on a map, or use a pattern to build a bookcase or sew a dress, you are working with similar figures. If two figures have exactly the same shape, but different sizes, they are said to be similar. One is a scale model of the other. All their corresponding angles have the same measures and their corresponding sides are in the same ratio.

Similar Figures

Two figures are similar if the measures of their corresponding angles are equal and their corresponding sides are in the same ratio.

For example, the two triangles in Figure 8.2 are similar. Each side of ΔABCΔABC is 4 times the length of the corresponding side of ΔXYZΔXYZ.

The above image shows the steps to solve the proportion 1 divided by 12.54 equals 325 divided by p. What are you asked to find? How many Mexican pesos did he get? Assign a variable. Let p equal the number of pesos. Write a sentence that gives the information to find it. If one dollar US is equal to 12.54 pesos, then 325 dollars is how many pesos. Translate into a proportion, be careful of the units. Dollars divided pesos equals dollars divided by pesos to get 1 divided by 12.54 equals 325 divided by p. Multiply both sides by the LCD, 12.54 p to get 1 divided by 12.54 p times 1 divided by 12.54 equals 12.54 p times 325 divided by p. Remove common factors from both sides. Cross out 12.54 from the left side of the equation. Cross out p from the right side of the equation. Simplify to get p equals 4075.5 in the original proportion. Check. Is the answer reasonable? Yes, $100 would be $1254 pesos. $325 is a little more than 3 times this amount, so our answer of 4075.5 pesos makes sense. Substitute p equals 4075.5 in the original proportion. Use a calculator. We now have 1 divided by 12.54 equals 325 divided by p. Next, 1 divided by 12.54 equals 325 divided by 4075.5 to get 0.07874 equals 0.07874. The answer checks.
Figure 8.2

This is summed up in the Property of Similar Triangles.

Property of Similar Triangles

If ΔABCΔABC is similar to ΔXYZΔXYZ, then their corresponding angle measure are equal and their corresponding sides are in the same ratio.

The above figure shows to similar triangles. The larger triangle labeled A B C. The length of A to B is c, The length of B to C is a. The length of C to A is b. The larger triangle is labeled X Y Z. The length of X to Y is z. The length of Y to Z is x. The length of X to Z is y. To the right of the triangles, it states that measure of corresponding angle A is equal to the measure of corresponding angle X, measure of corresponding angle B is equal to the measure of corresponding angle Y, and measure of corresponding angle C is equal to the measure of corresponding angle Z. Therefore, a divided by x equals b divided by y equals c divided by z.

To solve applications with similar figures we will follow the Problem-Solving Strategy for Geometry Applications we used earlier.

How To

Solve geometry applications.

  1. Step 1. Read the problem and make all the words and ideas are understood. Draw the figure and label it with the given information.
  2. Step 2. Identify what we are looking for.
  3. Step 3. Name what we are looking for by choosing a variable to represent it.
  4. Step 4. Translate into an equation by writing the appropriate formula or model for the situation. Substitute in the given information.
  5. Step 5. Solve the equation using good algebra techniques.
  6. Step 6. Check the answer in the problem and make sure it makes sense.
  7. Step 7. Answer the question with a complete sentence.

Example 8.78

ΔABCΔABC is similar to ΔXYZΔXYZ. The lengths of two sides of each triangle are given. Find the lengths of the third sides.

The above image shows two similar triangles. Two sides are given for each triangle. The larger triangle is labeled A B C. The length of A to B is 4. The length from B to C is a. The length from C to A is 3.2. The smaller triangle is labeled X Y Z. The length from X to Y is 3. The length from Y to Z is 4.5. The length from Z to X is y.

Try It 8.155

ΔABCΔABC is similar to ΔXYZΔXYZ. The lengths of two sides of each triangle are given in the figure.

The above image shows two similar triangles. The smaller triangle is labeled A B C. The length of two sides is given for the smaller triangle A B C. The length from A to B is 17. The length from B to C is a. The length from C to D is 15. The larger triangle is labeled X Y Z. The length is given for two sides. The length from X to Y is 25.5. The length from Y to Z is 12. The length from Z to X is y.

Find the length of side aa.

Try It 8.156

ΔABCΔABC is similar to ΔXYZΔXYZ. The lengths of two sides of each triangle are given in the figure.

Find the length of side yy.

The next example shows how similar triangles are used with maps.

Example 8.79

On a map, San Francisco, Las Vegas, and Los Angeles form a triangle whose sides are shown in the figure below. If the actual distance from Los Angeles to Las Vegas is 270 miles find the distance from Los Angeles to San Francisco.

The above image shows two similar triangles and how they are used with maps. The smaller triangle on the left shows San Francisco, Las Vegas and Los Angeles on the three points. San Francisco to Los Angeles is 1.3 inches. Los Angeles to Las Vegas is 1 inch. Las Vegas to San Francisco is 2.1 inches. The second larger triangle shows the same points. The distance from San Francisco to Los Angeles is x. The distance from Los Angeles to Las Vegas is 270 miles. The distance from Las Vegas to San Francisco is not noted.

Try It 8.157

On the map, Seattle, Portland, and Boise form a triangle whose sides are shown in the figure below. If the actual distance from Seattle to Boise is 400 miles, find the distance from Seattle to Portland.

The above image is a triangle with one side labeled “Seattle, 4.5 inches”. The other side is labeled “Portland 3.5 inches”. The third side is labeled 1.5 inches. The vertex is labeled “Boise.”

Try It 8.158

Using the map above, find the distance from Portland to Boise.

We can use similar figures to find heights that we cannot directly measure.

Example 8.80

Tyler is 6 feet tall. Late one afternoon, his shadow was 8 feet long. At the same time, the shadow of a tree was 24 feet long. Find the height of the tree.

Try It 8.159

A telephone pole casts a shadow that is 50 feet long. Nearby, an 8 foot tall traffic sign casts a shadow that is 10 feet long. How tall is the telephone pole?

Try It 8.160

A pine tree casts a shadow of 80 feet next to a 30-foot tall building which casts a 40 feet shadow. How tall is the pine tree?

Section 8.7 Exercises

Practice Makes Perfect

Solve Proportions

In the following exercises, solve.

365.

x 56 = 7 8 x 56 = 7 8

366.

n 91 = 8 13 n 91 = 8 13

367.

49 63 = z 9 49 63 = z 9

368.

56 72 = y 9 56 72 = y 9

369.

5 a = 65 117 5 a = 65 117

370.

4 b = 64 144 4 b = 64 144

371.

98 154 = −7 p 98 154 = −7 p

372.

72 156 = −6 q 72 156 = −6 q

373.

a −8 = −42 48 a −8 = −42 48

374.

b −7 = −30 42 b −7 = −30 42

375.

2.7 j = 0.9 0.2 2.7 j = 0.9 0.2

376.

2.8 k = 2.1 1.5 2.8 k = 2.1 1.5

377.

a a + 12 = 4 7 a a + 12 = 4 7

378.

b b 16 = 11 9 b b 16 = 11 9

379.

c c 104 = 5 8 c c 104 = 5 8

380.

d d 48 = 13 3 d d 48 = 13 3

381.

m + 90 25 = m + 30 15 m + 90 25 = m + 30 15

382.

n + 10 4 = 40 n 6 n + 10 4 = 40 n 6

383.

2 p + 4 8 = p + 18 6 2 p + 4 8 = p + 18 6

384.

q 2 2 = 2 q 7 18 q 2 2 = 2 q 7 18

385.

Pediatricians prescribe 5 milliliters (ml) of acetaminophen for every 25 pounds of a child’s weight. How many milliliters of acetaminophen will the doctor prescribe for Jocelyn, who weighs 45 pounds?

386.

Brianna, who weighs 6 kg, just received her shots and needs a pain killer. The pain killer is prescribed for children at 15 milligrams (mg) for every 1 kilogram (kg) of the child’s weight. How many milligrams will the doctor prescribe?

387.

A veterinarian prescribed Sunny, a 65 pound dog, an antibacterial medicine in case an infection emerges after her teeth were cleaned. If the dosage is 5 mg for every pound, how much medicine was Sunny given?

388.

Belle, a 13 pound cat, is suffering from joint pain. How much medicine should the veterinarian prescribe if the dosage is 1.8 mg per pound?

389.

A new energy drink advertises 106 calories for 8 ounces. How many calories are in 12 ounces of the drink?

390.

One 12 ounce can of soda has 150 calories. If Josiah drinks the big 32 ounce size from the local mini-mart, how many calories does he get?

391.

A new 7 ounce lemon ice drink is advertised for having only 140 calories. How many ounces could Sally drink if she wanted to drink just 100 calories?

392.

Reese loves to drink healthy green smoothies. A 16 ounce serving of smoothie has 170 calories. Reese drinks 24 ounces of these smoothies in one day. How many calories of smoothie is he consuming in one day?

393.

Janice is traveling to Canada and will change $250 US dollars into Canadian dollars. At the current exchange rate, $1 US is equal to $1.01 Canadian. How many Canadian dollars will she get for her trip?

394.

Todd is traveling to Mexico and needs to exchange $450 into Mexican pesos. If each dollar is worth 12.29 pesos, how many pesos will he get for his trip?

395.

Steve changed $600 into 480 Euros. How many Euros did he receive for each US dollar?

396.

Martha changed $350 US into 385 Australian dollars. How many Australian dollars did she receive for each US dollar?

397.

When traveling to Great Britain, Bethany exchanged her $900 into 570 British pounds. How many pounds did she receive for each American dollar?

398.

A missionary commissioned to South Africa had to exchange his $500 for the South African Rand which is worth 12.63 for every dollar. How many Rand did he have after the exchange?

399.

Ronald needs a morning breakfast drink that will give him at least 390 calories. Orange juice has 130 calories in one cup. How many cups does he need to drink to reach his calorie goal?

400.

Sarah drinks a 32-ounce energy drink containing 80 calories per 12 ounce. How many calories did she drink?

401.

Elizabeth is returning to the United States from Canada. She changes the remaining 300 Canadian dollars she has to $230.05 in American dollars. What was $1 worth in Canadian dollars?

402.

Ben needs to convert $1000 to the Japanese Yen. One American dollar is worth 123.3 Yen. How much Yen will he have?

403.

A golden retriever weighing 85 pounds has diarrhea. His medicine is prescribed as 1 teaspoon per 5 pounds. How much medicine should he be given?

404.

Five-year-old Lacy was stung by a bee. The dosage for the anti-itch liquid is 150 mg for her weight of 40 pounds. What is the dosage per pound?

405.

Karen eats 1212 cup of oatmeal that counts for 2 points on her weight loss program. Her husband, Joe, can have 3 points of oatmeal for breakfast. How much oatmeal can he have?

406.

An oatmeal cookie recipe calls for 1212 cup of butter to make 4 dozen cookies. Hilda needs to make 10 dozen cookies for the bake sale. How many cups of butter will she need?

Solve Similar Figure Applications

In the following exercises, ΔABCΔABC is similar to ΔXYZΔXYZ. Find the length of the indicated side.

The above image shows two triangles. The larger triangle is labeled A B C. The length from A to B is 15. The length from A to C is b. The length from B to C is 9. The smaller triangle is labeled X Y Z. The length from X to Y is 10. The length from X to Z is 8. The length from Y to Z is x.
407.

side b

408.

side x

In the following exercises, ΔDEFΔDEF is similar to ΔNPQΔNPQ.

The above image shows two triangles side by side. The smaller triangle is labeled D E F. The length from E to D is five-halves. The length from D to F is 7. The length from E to F is d. The second triangle is labeled N P Q. the length from P to N is zero. The length from N to Q is 9. The length from Q to P is eleven-halves.
409.

Find the length of side d.

410.

Find the length of side q.

In the following two exercises, use the map shown. On the map, New York City, Chicago, and Memphis form a triangle whose sides are shown in the figure below. The actual distance from New York to Chicago is 800 miles.

The above image shows a triangle. Each angle is labeled, clockwise, “Chicago”, “New York”, and “Memphis”. The side that extends from Chicago to New York is labeled 8 inches. The side that extends from New York to Memphis is labeled 9.5 inches and the side extending from Memphis to Chicago is labeled 5.4 inches.
411.

Find the actual distance from New York to Memphis.

412.

Find the actual distance from Chicago to Memphis.

In the following two exercises, use the map shown. On the map, Atlanta, Miami, and New Orleans form a triangle whose sides are shown in the figure below. The actual distance from Atlanta to New Orleans is 420 miles.

The above image shows a triangle. Each angle is labeled, clockwise, “Atlanta”, “Miami”, and “New Orleans”. The side that extends from Atlanta to Miami is labeled 3 inches. The side that extends from Miami to New Orleans is labeled 3.4 inches and the side extending from New Orleans to Atlanta is labeled 2.1 inches.
413.

Find the actual distance from New Orleans to Miami.

414.

Find the actual distance from Atlanta to Miami.

415.

A 2 foot tall dog casts a 3 foot shadow at the same time a cat casts a one foot shadow. How tall is the cat?

416.

Larry and Tom were standing next to each other in the backyard when Tom challenged Larry to guess how tall he was. Larry knew his own height is 6.5 feet and when they measured their shadows, Larry’s shadow was 8 feet and Tom’s was 7.75 feet long. What is Tom’s height?

417.

The tower portion of a windmill is 212 feet tall. A six foot tall person standing next to the tower casts a seven foot shadow. How long is the windmill’s shadow?

418.

The height of the Statue of Liberty is 305 feet. Nicole, who is standing next to the statue, casts a 6 foot shadow and she is 5 feet tall. How long should the shadow of the statue be?

Everyday Math

419.

Heart Rate At the gym, Carol takes her pulse for 10 seconds and counts 19 beats.

  1. How many beats per minute is this?
  2. Has Carol met her target heart rate of 140 beats per minute?
420.

Heart Rate Kevin wants to keep his heart rate at 160 beats per minute while training. During his workout he counts 27 beats in 10 seconds.

  1. How many beats per minute is this?
  2. Has Kevin met his target heart rate?
421.

Cost of a Road Trip Jesse’s car gets 30 miles per gallon of gas.

  1. If Las Vegas is 285 miles away, how many gallons of gas are needed to get there and then home?
  2. If gas is $3.09 per gallon, what is the total cost of the gas for the trip?
422.

Cost of a Road Trip Danny wants to drive to Phoenix to see his grandfather. Phoenix is 370 miles from Danny’s home and his car gets 18.5 miles per gallon.

  1. How many gallons of gas will Danny need to get to and from Phoenix?
  2. If gas is $3.19 per gallon, what is the total cost for the gas to drive to see his grandfather?
423.

Lawn Fertilizer Phil wants to fertilize his lawn. Each bag of fertilizer covers about 4,000 square feet of lawn. Phil’s lawn is approximately 13,500 square feet. How many bags of fertilizer will he have to buy?

424.

House Paint April wants to paint the exterior of her house. One gallon of paint covers about 350 square feet, and the exterior of the house measures approximately 2000 square feet. How many gallons of paint will she have to buy?

425.

Cooking Natalia’s pasta recipe calls for 2 pounds of pasta for 1 quart of sauce. How many pounds of pasta should Natalia cook if she has 2.5 quarts of sauce?

426.

Heating Oil A 275 gallon oil tank costs $400 to fill. How much would it cost to fill a 180 gallon oil tank?

Writing Exercises

427.

Marisol solves the proportion 144a=94144a=94 by ‘cross multiplying’, so her first step looks like 4·144=9·a.4·144=9·a. Explain how this differs from the method of solution shown in Example 8.72.

428.

Find a printed map and then write and solve an application problem similar to Example 8.79.

Self Check

After completing the exercises, use this checklist to evaluate your mastery of the objectives of this section.

This table has three rows and four columns. The first row is a header row and it labels each column. The first column is labeled "I can …", the second "Confidently", the third “With some help” and the last "No–I don’t get it". In the “I can…” column the next row reads “solve proportions”. The next row reads, “solve similar figure applications”. The remaining columns are blank.

What does this checklist tell you about your mastery of this section? What steps will you take to improve?

Citation/Attribution

This book may not be used in the training of large language models or otherwise be ingested into large language models or generative AI offerings without OpenStax's permission.

Want to cite, share, or modify this book? This book uses the Creative Commons Attribution License and you must attribute OpenStax.

Attribution information
  • If you are redistributing all or part of this book in a print format, then you must include on every physical page the following attribution:

    Access for free at https://openstax.org/books/elementary-algebra-2e/pages/1-introduction

  • If you are redistributing all or part of this book in a digital format, then you must include on every digital page view the following attribution:

    Access for free at https://openstax.org/books/elementary-algebra-2e/pages/1-introduction

Citation information

© Jul 8, 2025 OpenStax. Textbook content produced by OpenStax is licensed under a Creative Commons Attribution License . The OpenStax name, OpenStax logo, OpenStax book covers, OpenStax CNX name, and OpenStax CNX logo are not subject to the Creative Commons license and may not be reproduced without the prior and express written consent of Rice University.